Номер 12.46, страница 54 - гдз по алгебре 7-9 класс сборник задач Арефьева, Пирютко

Алгебра, 7-9 класс Сборник задач, авторы: Арефьева Ирина Глебовна, Пирютко Ольга Николаевна, издательство Народная асвета, Минск, 2020

Авторы: Арефьева И. Г., Пирютко О. Н.

Тип: Сборник задач

Издательство: Народная асвета

Год издания: 2020 - 2025

Цвет обложки: синий с графиками

Допущено Министерством образования Республики Беларусь

Популярные ГДЗ в 7 классе

7 класс. Параграф 12. Формулы сокращенного умножения - номер 12.46, страница 54.

№12.46 (с. 54)
Условие. №12.46 (с. 54)
скриншот условия
Алгебра, 7-9 класс Сборник задач, авторы: Арефьева Ирина Глебовна, Пирютко Ольга Николаевна, издательство Народная асвета, Минск, 2020, страница 54, номер 12.46, Условие

12.46*. Представьте в виде многочлена стандартного вида произведение:

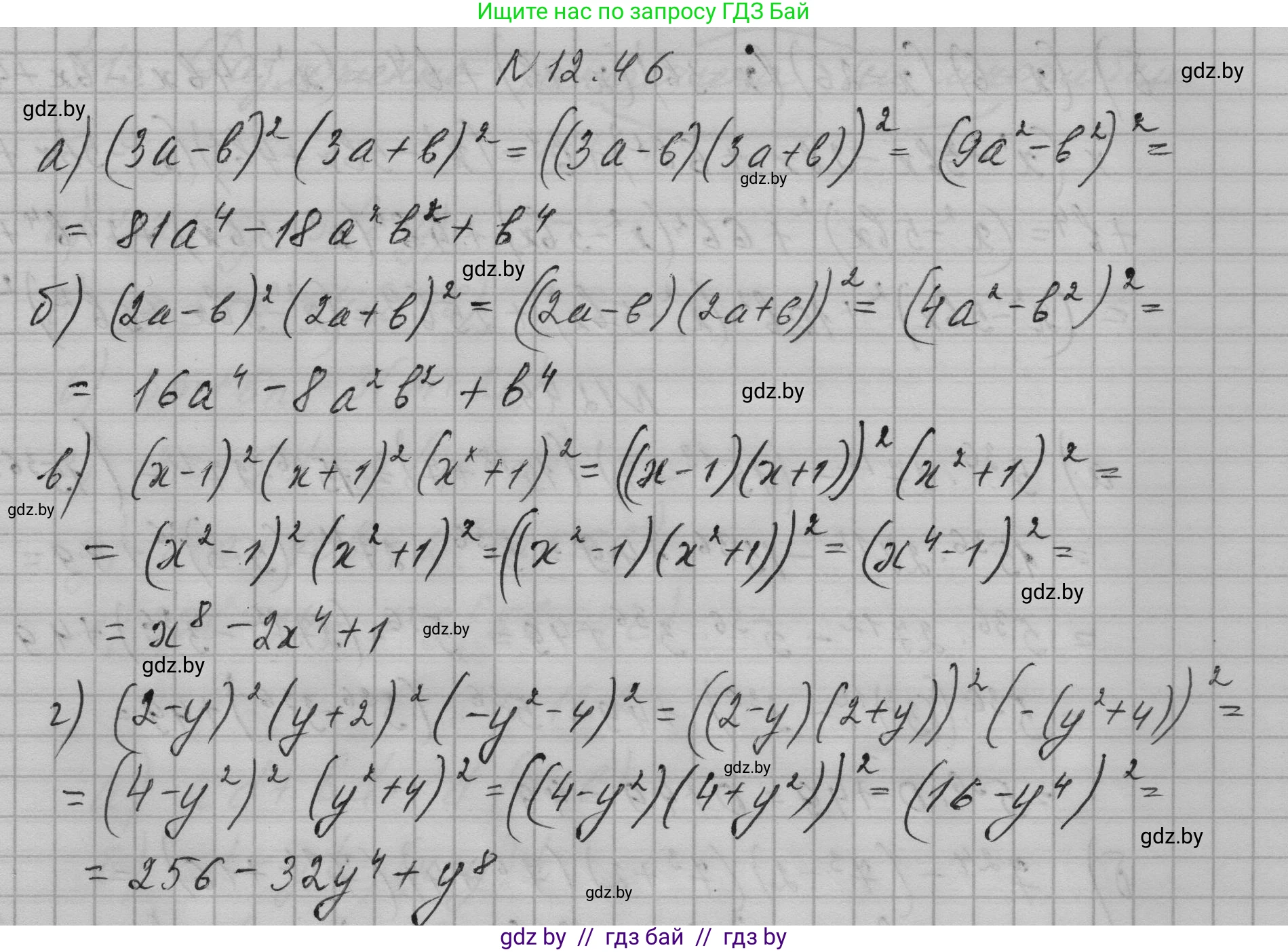
а) $(3a - b)^2 (3a + b)^2;$

б) $(2a - b)^2 (2a + b)^2;$

в) $(x - 1)^2 (x + 1)^2 (x^2 + 1)^2;$

г) $(2 - y)^2 (y + 2)^2 (-y^2 - 4)^2.$

Решение. №12.46 (с. 54)
Алгебра, 7-9 класс Сборник задач, авторы: Арефьева Ирина Глебовна, Пирютко Ольга Николаевна, издательство Народная асвета, Минск, 2020, страница 54, номер 12.46, Решение
Решение 2. №12.46 (с. 54)

а) Для упрощения выражения $(3a - b)^2 (3a + b)^2$ воспользуемся свойством степени $(xy)^n = x^n y^n$ в обратном порядке. Это позволяет нам сгруппировать основания.

$(3a - b)^2 (3a + b)^2 = ((3a - b)(3a + b))^2$

Теперь применим формулу разности квадратов $(x - y)(x + y) = x^2 - y^2$ к выражению в скобках:

$(3a - b)(3a + b) = (3a)^2 - b^2 = 9a^2 - b^2$

Подставим результат обратно в наше выражение:

$(9a^2 - b^2)^2$

Далее используем формулу квадрата разности $(x - y)^2 = x^2 - 2xy + y^2$:

$(9a^2 - b^2)^2 = (9a^2)^2 - 2 \cdot (9a^2) \cdot b^2 + (b^2)^2 = 81a^4 - 18a^2b^2 + b^4$

Это и есть многочлен стандартного вида.

Ответ: $81a^4 - 18a^2b^2 + b^4$.

б) Решение аналогично предыдущему пункту. Сначала сгруппируем множители под одним знаком квадрата.

$(2a - b)^2 (2a + b)^2 = ((2a - b)(2a + b))^2$

Применим формулу разности квадратов $(x - y)(x + y) = x^2 - y^2$ к выражению в скобках:

$(2a - b)(2a + b) = (2a)^2 - b^2 = 4a^2 - b^2$

Подставим полученное выражение обратно:

$(4a^2 - b^2)^2$

Теперь раскроем скобки, используя формулу квадрата разности $(x - y)^2 = x^2 - 2xy + y^2$:

$(4a^2 - b^2)^2 = (4a^2)^2 - 2 \cdot (4a^2) \cdot b^2 + (b^2)^2 = 16a^4 - 8a^2b^2 + b^4$

Получили многочлен стандартного вида.

Ответ: $16a^4 - 8a^2b^2 + b^4$.

в) В данном выражении $(x - 1)^2 (x + 1)^2 (x^2 + 1)^2$ также применим свойство степени для всех множителей.

$(x - 1)^2 (x + 1)^2 (x^2 + 1)^2 = ((x - 1)(x + 1)(x^2 + 1))^2$

Упростим выражение в скобках по шагам. Сначала перемножим первые два множителя по формуле разности квадратов:

$(x - 1)(x + 1) = x^2 - 1^2 = x^2 - 1$

Теперь выражение в скобках выглядит так: $(x^2 - 1)(x^2 + 1)$. Снова применим формулу разности квадратов:

$(x^2 - 1)(x^2 + 1) = (x^2)^2 - 1^2 = x^4 - 1$

Подставим это в исходное выражение:

$(x^4 - 1)^2$

Раскроем скобки по формуле квадрата разности:

$(x^4 - 1)^2 = (x^4)^2 - 2 \cdot x^4 \cdot 1 + 1^2 = x^8 - 2x^4 + 1$

Ответ: $x^8 - 2x^4 + 1$.

г) Рассмотрим выражение $(2 - y)^2 (y + 2)^2 (-y^2 - 4)^2$. Преобразуем множители для удобства.

Заметим, что $(2 - y)^2 = (-(y - 2))^2 = (y - 2)^2$.

Также заметим, что $(-y^2 - 4)^2 = (-(y^2 + 4))^2 = (y^2 + 4)^2$.

Множитель $(y+2)^2$ оставим без изменений. Выражение принимает вид:

$(y - 2)^2 (y + 2)^2 (y^2 + 4)^2$

Сгруппируем все под одним знаком квадрата:

$((y - 2)(y + 2)(y^2 + 4))^2$

Выполним умножение в скобках. Сначала первые два множителя:

$(y - 2)(y + 2) = y^2 - 2^2 = y^2 - 4$

Теперь выражение в скобках выглядит так: $(y^2 - 4)(y^2 + 4)$. Снова применим формулу разности квадратов:

$(y^2 - 4)(y^2 + 4) = (y^2)^2 - 4^2 = y^4 - 16$

Возвращаемся к исходному выражению:

$(y^4 - 16)^2$

Раскроем скобки по формуле квадрата разности:

$(y^4 - 16)^2 = (y^4)^2 - 2 \cdot y^4 \cdot 16 + 16^2 = y^8 - 32y^4 + 256$

Ответ: $y^8 - 32y^4 + 256$.

Помогло решение? Оставьте отзыв в комментариях ниже.

Присоединяйтесь к Телеграм-группе @gdz_by_belarus

Присоединиться

Мы подготовили для вас ответ c подробным объяснением домашего задания по алгебре за 7-9 класс, для упражнения номер 12.46 расположенного на странице 54 к сборнику задач 2020 года издания для учащихся школ и гимназий.

Теперь на нашем сайте ГДЗ.ТОП вы всегда легко и бесплатно найдёте условие с правильным ответом на вопрос «Как решить ДЗ» и «Как сделать» задание по алгебре к упражнению №12.46 (с. 54), авторов: Арефьева (Ирина Глебовна), Пирютко (Ольга Николаевна), учебного пособия издательства Народная асвета.