Номер 13.14, страница 57 - гдз по алгебре 7-9 класс сборник задач Арефьева, Пирютко

Алгебра, 7-9 класс Сборник задач, авторы: Арефьева Ирина Глебовна, Пирютко Ольга Николаевна, издательство Народная асвета, Минск, 2020

Авторы: Арефьева И. Г., Пирютко О. Н.

Тип: Сборник задач

Издательство: Народная асвета

Год издания: 2020 - 2025

Цвет обложки: синий с графиками

Допущено Министерством образования Республики Беларусь

Популярные ГДЗ в 7 классе

7 класс. Параграф 13. Разложение многочлена на множители - номер 13.14, страница 57.

№13.14 (с. 57)
Условие. №13.14 (с. 57)
скриншот условия
Алгебра, 7-9 класс Сборник задач, авторы: Арефьева Ирина Глебовна, Пирютко Ольга Николаевна, издательство Народная асвета, Минск, 2020, страница 57, номер 13.14, Условие

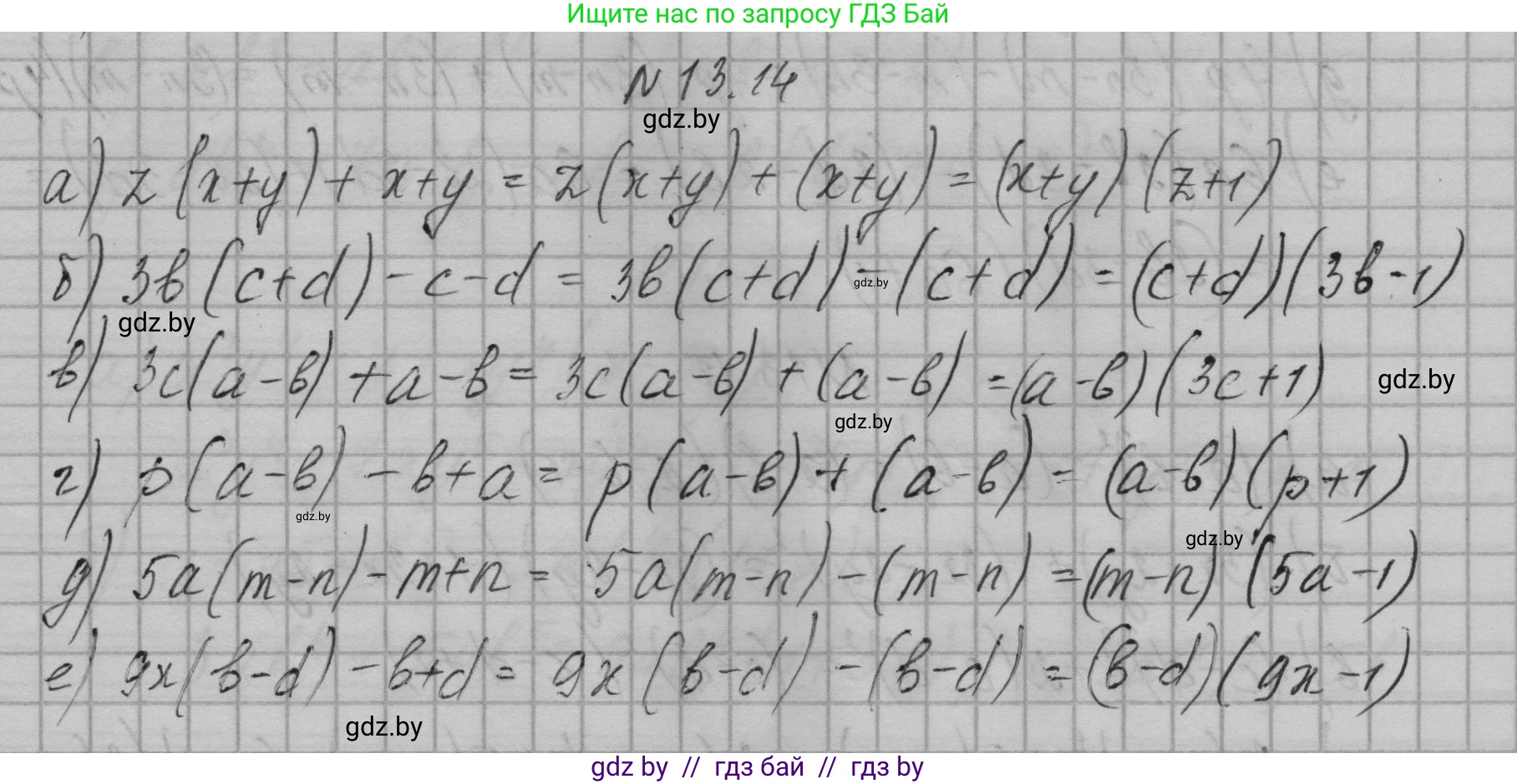
13.14. Представьте выражение в виде произведения многочленов:

а) $z(x + y) + x + y;$

б) $3b(c + d) - c - d;$

в) $3c(a - b) + a - b;$

г) $p(a - b) - b + a;$

д) $5a(m - n) - m + n;$

е) $9x(b - d) - b + d.$

Решение. №13.14 (с. 57)
Алгебра, 7-9 класс Сборник задач, авторы: Арефьева Ирина Глебовна, Пирютко Ольга Николаевна, издательство Народная асвета, Минск, 2020, страница 57, номер 13.14, Решение
Решение 2. №13.14 (с. 57)

а) Чтобы представить выражение $z(x+y)+x+y$ в виде произведения, сгруппируем последние два слагаемых и вынесем общий множитель за скобки.
Исходное выражение: $z(x+y)+x+y$.
Сгруппируем $x+y$: $z(x+y)+(x+y)$.
Можно представить $(x+y)$ как $1 \cdot (x+y)$. Получаем: $z(x+y)+1(x+y)$.
Теперь общий множитель $(x+y)$ можно вынести за скобки:
$(x+y)(z+1)$.
Ответ: $(x+y)(z+1)$

б) Чтобы представить выражение $3b(c+d)-c-d$ в виде произведения, сгруппируем последние два слагаемых и вынесем за скобки $-1$, чтобы получить общий множитель.
Исходное выражение: $3b(c+d)-c-d$.
Вынесем $-1$ из $-c-d$: $-(c+d)$.
Выражение примет вид: $3b(c+d)-1(c+d)$.
Теперь общий множитель $(c+d)$ можно вынести за скобки:
$(c+d)(3b-1)$.
Ответ: $(c+d)(3b-1)$

в) Чтобы представить выражение $3c(a-b)+a-b$ в виде произведения, сгруппируем последние два слагаемых и вынесем общий множитель.
Исходное выражение: $3c(a-b)+a-b$.
Сгруппируем $a-b$: $3c(a-b)+(a-b)$.
Представим $(a-b)$ как $1 \cdot (a-b)$. Получаем: $3c(a-b)+1(a-b)$.
Теперь общий множитель $(a-b)$ можно вынести за скобки:
$(a-b)(3c+1)$.
Ответ: $(a-b)(3c+1)$

г) Чтобы представить выражение $p(a-b)-b+a$ в виде произведения, переставим слагаемые и вынесем общий множитель.
Исходное выражение: $p(a-b)-b+a$.
Переставим местами $-b$ и $+a$: $p(a-b)+a-b$.
Сгруппируем последние два слагаемых: $p(a-b)+(a-b)$.
Общий множитель $(a-b)$ выносим за скобки:
$p(a-b)+1(a-b) = (a-b)(p+1)$.
Ответ: $(a-b)(p+1)$

д) Чтобы представить выражение $5a(m-n)-m+n$ в виде произведения, сгруппируем последние два слагаемых и вынесем за скобки $-1$.
Исходное выражение: $5a(m-n)-m+n$.
Из $-m+n$ вынесем $-1$ за скобки: $-1(m-n)$.
Выражение примет вид: $5a(m-n)-1(m-n)$.
Теперь общий множитель $(m-n)$ можно вынести за скобки:
$(m-n)(5a-1)$.
Ответ: $(m-n)(5a-1)$

е) Чтобы представить выражение $9x(b-d)-b+d$ в виде произведения, сгруппируем последние два слагаемых и вынесем за скобки $-1$.
Исходное выражение: $9x(b-d)-b+d$.
Из $-b+d$ вынесем $-1$ за скобки: $-1(b-d)$.
Выражение примет вид: $9x(b-d)-1(b-d)$.
Теперь общий множитель $(b-d)$ можно вынести за скобки:
$(b-d)(9x-1)$.
Ответ: $(b-d)(9x-1)$

Помогло решение? Оставьте отзыв в комментариях ниже.

Присоединяйтесь к Телеграм-группе @gdz_by_belarus

Присоединиться

Мы подготовили для вас ответ c подробным объяснением домашего задания по алгебре за 7-9 класс, для упражнения номер 13.14 расположенного на странице 57 к сборнику задач 2020 года издания для учащихся школ и гимназий.

Теперь на нашем сайте ГДЗ.ТОП вы всегда легко и бесплатно найдёте условие с правильным ответом на вопрос «Как решить ДЗ» и «Как сделать» задание по алгебре к упражнению №13.14 (с. 57), авторов: Арефьева (Ирина Глебовна), Пирютко (Ольга Николаевна), учебного пособия издательства Народная асвета.