Номер 13.18, страница 58 - гдз по алгебре 7-9 класс сборник задач Арефьева, Пирютко

Алгебра, 7-9 класс Сборник задач, авторы: Арефьева Ирина Глебовна, Пирютко Ольга Николаевна, издательство Народная асвета, Минск, 2020

Авторы: Арефьева И. Г., Пирютко О. Н.

Тип: Сборник задач

Издательство: Народная асвета

Год издания: 2020 - 2025

Цвет обложки: синий с графиками

Допущено Министерством образования Республики Беларусь

Популярные ГДЗ в 7 классе

7 класс. Параграф 13. Разложение многочлена на множители - номер 13.18, страница 58.

№13.18 (с. 58)
Условие. №13.18 (с. 58)
скриншот условия
Алгебра, 7-9 класс Сборник задач, авторы: Арефьева Ирина Глебовна, Пирютко Ольга Николаевна, издательство Народная асвета, Минск, 2020, страница 58, номер 13.18, Условие

13.18. Представьте разность в виде произведения:

а) $a^4 - b^2$;

б) $b^{12} - c^8$;

в) $64 - d^8$;

г) $m^{18} - 49$;

д) $25n^2 k^2 - 1$;

е) $81 - x^2 y^6$;

ж) $0,36 - a^8 b^2$;

з) $c^6 d^{14} - \frac{1}{16}$;

и) $m^2 n^4 k^6 - 9$.

Решение. №13.18 (с. 58)
Алгебра, 7-9 класс Сборник задач, авторы: Арефьева Ирина Глебовна, Пирютко Ольга Николаевна, издательство Народная асвета, Минск, 2020, страница 58, номер 13.18, Решение Алгебра, 7-9 класс Сборник задач, авторы: Арефьева Ирина Глебовна, Пирютко Ольга Николаевна, издательство Народная асвета, Минск, 2020, страница 58, номер 13.18, Решение (продолжение 2)
Решение 2. №13.18 (с. 58)

Для решения всех пунктов задачи используется формула сокращенного умножения "разность квадратов":

$a^2 - b^2 = (a - b)(a + b)$

Суть метода состоит в том, чтобы представить каждый из членов исходного выражения (уменьшаемое и вычитаемое) в виде квадрата некоторого выражения, а затем применить указанную формулу.

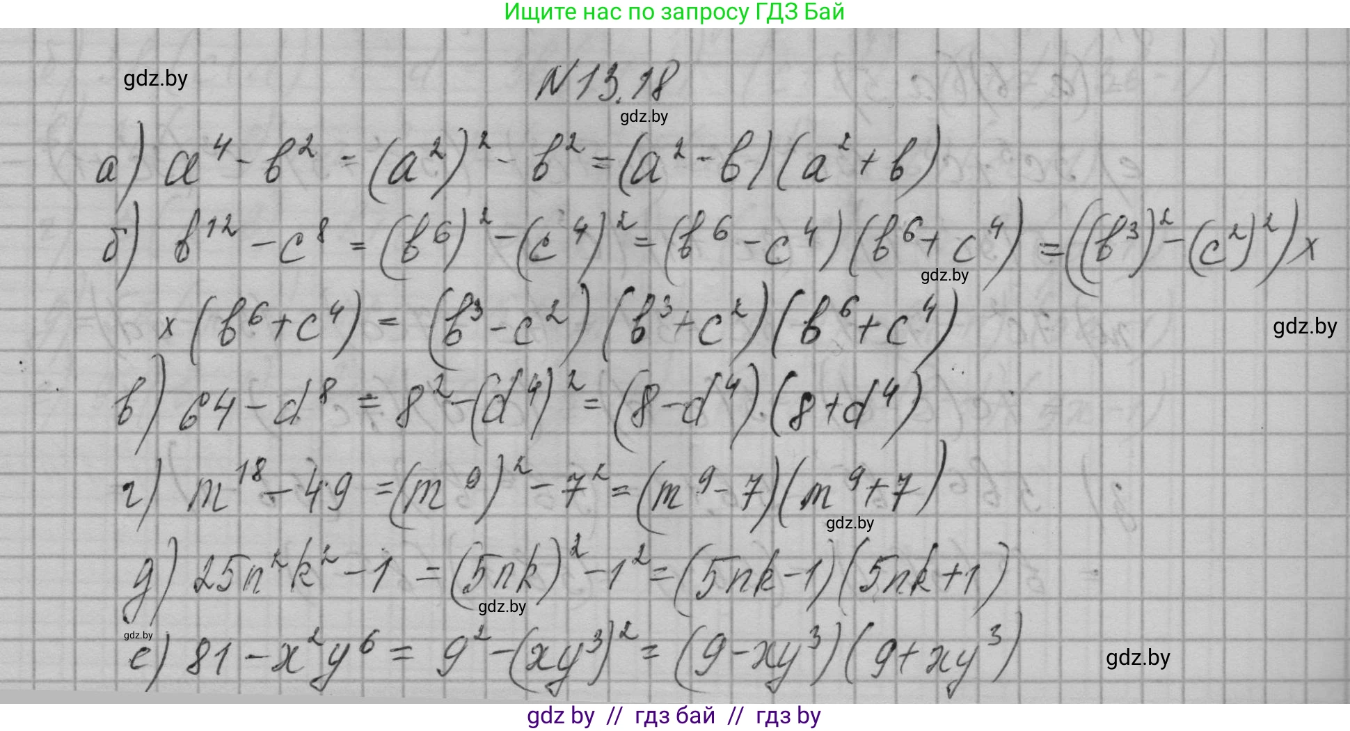
а) $a^4 - b^2$

Представим члены выражения в виде квадратов: $a^4 = (a^2)^2$ и $b^2 = (b)^2$.

Применяем формулу разности квадратов:

$a^4 - b^2 = (a^2)^2 - b^2 = (a^2 - b)(a^2 + b)$.

Ответ: $(a^2 - b)(a^2 + b)$.

б) $b^{12} - c^8$

Представим члены выражения в виде квадратов: $b^{12} = (b^6)^2$ и $c^8 = (c^4)^2$.

Применяем формулу разности квадратов:

$b^{12} - c^8 = (b^6)^2 - (c^4)^2 = (b^6 - c^4)(b^6 + c^4)$.

Ответ: $(b^6 - c^4)(b^6 + c^4)$.

в) $64 - d^8$

Представим члены выражения в виде квадратов: $64 = 8^2$ и $d^8 = (d^4)^2$.

Применяем формулу разности квадратов:

$64 - d^8 = 8^2 - (d^4)^2 = (8 - d^4)(8 + d^4)$.

Ответ: $(8 - d^4)(8 + d^4)$.

г) $m^{18} - 49$

Представим члены выражения в виде квадратов: $m^{18} = (m^9)^2$ и $49 = 7^2$.

Применяем формулу разности квадратов:

$m^{18} - 49 = (m^9)^2 - 7^2 = (m^9 - 7)(m^9 + 7)$.

Ответ: $(m^9 - 7)(m^9 + 7)$.

д) $25n^2k^2 - 1$

Представим члены выражения в виде квадратов: $25n^2k^2 = (5nk)^2$ и $1 = 1^2$.

Применяем формулу разности квадратов:

$25n^2k^2 - 1 = (5nk)^2 - 1^2 = (5nk - 1)(5nk + 1)$.

Ответ: $(5nk - 1)(5nk + 1)$.

е) $81 - x^2y^6$

Представим члены выражения в виде квадратов: $81 = 9^2$ и $x^2y^6 = (xy^3)^2$.

Применяем формулу разности квадратов:

$81 - x^2y^6 = 9^2 - (xy^3)^2 = (9 - xy^3)(9 + xy^3)$.

Ответ: $(9 - xy^3)(9 + xy^3)$.

ж) $0,36 - a^8b^2$

Представим члены выражения в виде квадратов: $0,36 = (0,6)^2$ и $a^8b^2 = (a^4b)^2$.

Применяем формулу разности квадратов:

$0,36 - a^8b^2 = (0,6)^2 - (a^4b)^2 = (0,6 - a^4b)(0,6 + a^4b)$.

Ответ: $(0,6 - a^4b)(0,6 + a^4b)$.

з) $c^6d^{14} - \frac{1}{16}$

Представим члены выражения в виде квадратов: $c^6d^{14} = (c^3d^7)^2$ и $\frac{1}{16} = (\frac{1}{4})^2$.

Применяем формулу разности квадратов:

$c^6d^{14} - \frac{1}{16} = (c^3d^7)^2 - (\frac{1}{4})^2 = (c^3d^7 - \frac{1}{4})(c^3d^7 + \frac{1}{4})$.

Ответ: $(c^3d^7 - \frac{1}{4})(c^3d^7 + \frac{1}{4})$.

и) $m^2n^4k^6 - 9$

Представим члены выражения в виде квадратов: $m^2n^4k^6 = (mn^2k^3)^2$ и $9 = 3^2$.

Применяем формулу разности квадратов:

$m^2n^4k^6 - 9 = (mn^2k^3)^2 - 3^2 = (mn^2k^3 - 3)(mn^2k^3 + 3)$.

Ответ: $(mn^2k^3 - 3)(mn^2k^3 + 3)$.

Помогло решение? Оставьте отзыв в комментариях ниже.

Присоединяйтесь к Телеграм-группе @gdz_by_belarus

Присоединиться

Мы подготовили для вас ответ c подробным объяснением домашего задания по алгебре за 7-9 класс, для упражнения номер 13.18 расположенного на странице 58 к сборнику задач 2020 года издания для учащихся школ и гимназий.

Теперь на нашем сайте ГДЗ.ТОП вы всегда легко и бесплатно найдёте условие с правильным ответом на вопрос «Как решить ДЗ» и «Как сделать» задание по алгебре к упражнению №13.18 (с. 58), авторов: Арефьева (Ирина Глебовна), Пирютко (Ольга Николаевна), учебного пособия издательства Народная асвета.