Номер 26.21, страница 127 - гдз по алгебре 7-9 класс сборник задач Арефьева, Пирютко

Алгебра, 7-9 класс Сборник задач, авторы: Арефьева Ирина Глебовна, Пирютко Ольга Николаевна, издательство Народная асвета, Минск, 2020

Авторы: Арефьева И. Г., Пирютко О. Н.

Тип: Сборник задач

Издательство: Народная асвета

Год издания: 2020 - 2025

Цвет обложки: синий с графиками

Допущено Министерством образования Республики Беларусь

Популярные ГДЗ в 7 классе

8 класс. Параграф 26. Теорема Виета - номер 26.21, страница 127.

№26.21 (с. 127)
Условие. №26.21 (с. 127)
скриншот условия
Алгебра, 7-9 класс Сборник задач, авторы: Арефьева Ирина Глебовна, Пирютко Ольга Николаевна, издательство Народная асвета, Минск, 2020, страница 127, номер 26.21, Условие

26.21*. Решите уравнение относительно переменной $x$:

a) $x^2 - 6ax + 5a^2 = 0$;

б) $2x^2 + 5bx + 2b^2 = 0$;

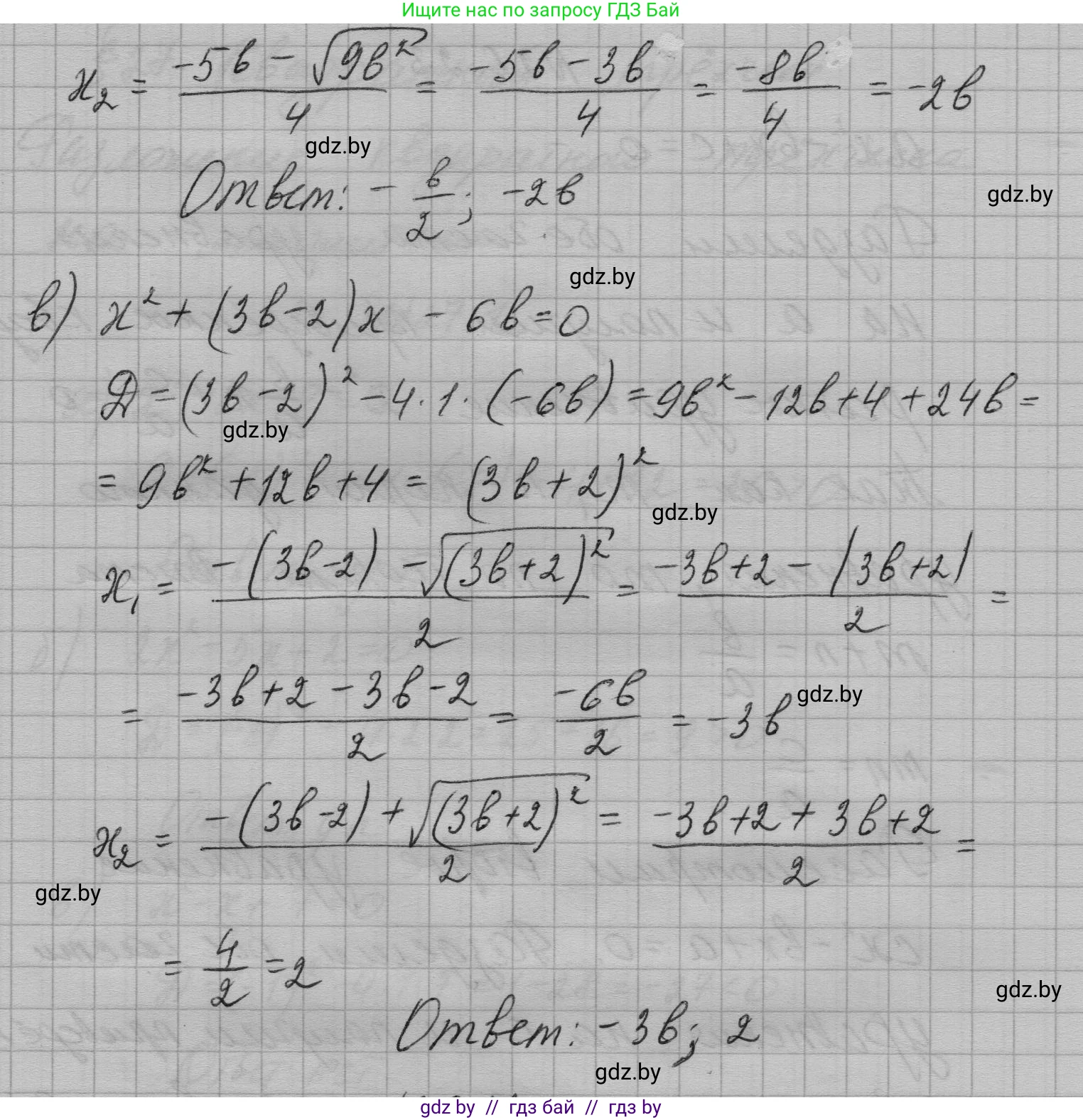
в) $x^2 + (3b - 2)x - 6b = 0$.

Решение. №26.21 (с. 127)
Алгебра, 7-9 класс Сборник задач, авторы: Арефьева Ирина Глебовна, Пирютко Ольга Николаевна, издательство Народная асвета, Минск, 2020, страница 127, номер 26.21, Решение Алгебра, 7-9 класс Сборник задач, авторы: Арефьева Ирина Глебовна, Пирютко Ольга Николаевна, издательство Народная асвета, Минск, 2020, страница 127, номер 26.21, Решение (продолжение 2)
Решение 2. №26.21 (с. 127)

а) Данное уравнение $x^2 - 6ax + 5a^2 = 0$ является квадратным относительно переменной $x$.
Решим его с помощью формулы корней квадратного уравнения. Коэффициенты уравнения: $A=1$, $B=-6a$, $C=5a^2$.
Найдем дискриминант $D$:
$D = B^2 - 4AC = (-6a)^2 - 4 \cdot 1 \cdot (5a^2) = 36a^2 - 20a^2 = 16a^2$.
Так как $a^2 \ge 0$, то и $D \ge 0$ при любом значении параметра $a$.
Найдем корни уравнения:
$\sqrt{D} = \sqrt{16a^2} = 4a$.
$x_{1,2} = \frac{-B \pm \sqrt{D}}{2A} = \frac{-(-6a) \pm 4a}{2 \cdot 1} = \frac{6a \pm 4a}{2}$.
$x_1 = \frac{6a + 4a}{2} = \frac{10a}{2} = 5a$.
$x_2 = \frac{6a - 4a}{2} = \frac{2a}{2} = a$.
Ответ: $x_1 = a$, $x_2 = 5a$.

б) Данное уравнение $2x^2 + 5bx + 2b^2 = 0$ является квадратным относительно переменной $x$.
Коэффициенты уравнения: $A=2$, $B=5b$, $C=2b^2$.
Найдем дискриминант $D$:
$D = B^2 - 4AC = (5b)^2 - 4 \cdot 2 \cdot (2b^2) = 25b^2 - 16b^2 = 9b^2$.
Так как $b^2 \ge 0$, то и $D \ge 0$ при любом значении параметра $b$.
Найдем корни уравнения:
$\sqrt{D} = \sqrt{9b^2} = 3b$.
$x_{1,2} = \frac{-B \pm \sqrt{D}}{2A} = \frac{-5b \pm 3b}{2 \cdot 2} = \frac{-5b \pm 3b}{4}$.
$x_1 = \frac{-5b + 3b}{4} = \frac{-2b}{4} = -\frac{b}{2}$.
$x_2 = \frac{-5b - 3b}{4} = \frac{-8b}{4} = -2b$.
Ответ: $x_1 = -2b$, $x_2 = -\frac{b}{2}$.

в) Данное уравнение $x^2 + (3b - 2)x - 6b = 0$ является квадратным относительно переменной $x$.
Коэффициенты уравнения: $A=1$, $B=3b-2$, $C=-6b$.
Найдем дискриминант $D$:
$D = B^2 - 4AC = (3b-2)^2 - 4 \cdot 1 \cdot (-6b) = (9b^2 - 12b + 4) + 24b = 9b^2 + 12b + 4$.
Заметим, что полученное выражение является полным квадратом: $9b^2 + 12b + 4 = (3b+2)^2$.
Таким образом, $D = (3b+2)^2$. Так как квадрат любого числа неотрицателен, $D \ge 0$ при любом значении $b$.
Найдем корни уравнения:
$\sqrt{D} = \sqrt{(3b+2)^2} = 3b+2$.
$x_{1,2} = \frac{-B \pm \sqrt{D}}{2A} = \frac{-(3b-2) \pm (3b+2)}{2 \cdot 1} = \frac{2-3b \pm (3b+2)}{2}$.
$x_1 = \frac{2-3b + (3b+2)}{2} = \frac{2-3b+3b+2}{2} = \frac{4}{2} = 2$.
$x_2 = \frac{2-3b - (3b+2)}{2} = \frac{2-3b-3b-2}{2} = \frac{-6b}{2} = -3b$.
Ответ: $x_1 = 2$, $x_2 = -3b$.

Помогло решение? Оставьте отзыв в комментариях ниже.

Присоединяйтесь к Телеграм-группе @gdz_by_belarus

Присоединиться

Мы подготовили для вас ответ c подробным объяснением домашего задания по алгебре за 7-9 класс, для упражнения номер 26.21 расположенного на странице 127 к сборнику задач 2020 года издания для учащихся школ и гимназий.

Теперь на нашем сайте ГДЗ.ТОП вы всегда легко и бесплатно найдёте условие с правильным ответом на вопрос «Как решить ДЗ» и «Как сделать» задание по алгебре к упражнению №26.21 (с. 127), авторов: Арефьева (Ирина Глебовна), Пирютко (Ольга Николаевна), учебного пособия издательства Народная асвета.