Номер 1.148, страница 32 - гдз по алгебре 7 класс учебник Арефьева, Пирютко

Алгебра, 7 класс Учебник, авторы: Арефьева Ирина Глебовна, Пирютко Ольга Николаевна, издательство Народная асвета, Минск, 2022, зелёного цвета

Авторы: Арефьева И. Г., Пирютко О. Н.

Тип: Учебник

Издательство: Народная асвета

Год издания: 2022 - 2025

Цвет обложки: зелёный с графиком

ISBN: ISBN 978-985-03-3770-2

Допущено Министерством образования Республики Беларусь

Популярные ГДЗ в 7 классе

Глава 1. Степень с натуральным и целым показателями. Параграф 2. Степень с целым показателем и ее свойства - номер 1.148, страница 32.

№1.148 (с. 32)
Условие. №1.148 (с. 32)
скриншот условия
Алгебра, 7 класс Учебник, авторы: Арефьева Ирина Глебовна, Пирютко Ольга Николаевна, издательство Народная асвета, Минск, 2022, зелёного цвета, страница 32, номер 1.148, Условие

1.148. Найдите значение выражения:

а) $5^{-7} \cdot 5^5$;

б) $(2,4)^{-6} \cdot (2\frac{2}{5})^6$;

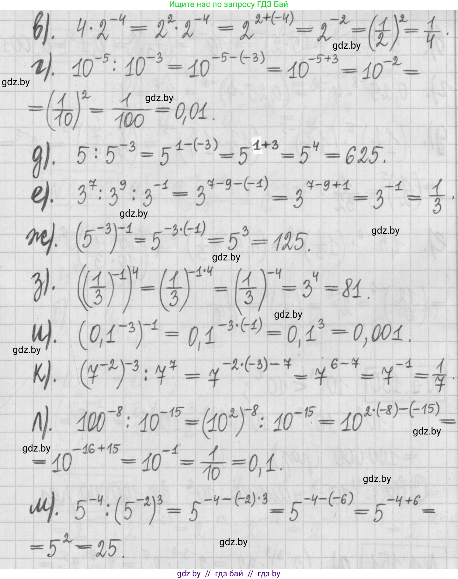
в) $4 \cdot 2^{-4}$;

г) $10^{-5} : 10^{-3}$;

д) $5 : 5^{-3}$;

е) $3^7 : 3^9 : 3^{-1}$;

ж) $(5^{-3})^{-1}$;

з) $((\frac{1}{3})^{-1})^4$;

и) $(0,1^{-3})^{-1}$;

к) $(7^{-2})^{-3} : 7^7$;

л) $100^{-8} : 10^{-15}$;

м) $5^{-4} : (5^{-2})^3$.

Решение. №1.148 (с. 32)
Алгебра, 7 класс Учебник, авторы: Арефьева Ирина Глебовна, Пирютко Ольга Николаевна, издательство Народная асвета, Минск, 2022, зелёного цвета, страница 32, номер 1.148, Решение Алгебра, 7 класс Учебник, авторы: Арефьева Ирина Глебовна, Пирютко Ольга Николаевна, издательство Народная асвета, Минск, 2022, зелёного цвета, страница 32, номер 1.148, Решение (продолжение 2)
Решение 2. №1.148 (с. 32)

а) $5^{-7} \cdot 5^5$

При умножении степеней с одинаковым основанием их показатели складываются ($a^m \cdot a^n = a^{m+n}$):

$5^{-7} \cdot 5^5 = 5^{-7+5} = 5^{-2}$

Степень с отрицательным показателем равна обратной дроби с положительным показателем ($a^{-n} = \frac{1}{a^n}$):

$5^{-2} = \frac{1}{5^2} = \frac{1}{25}$

Ответ: $\frac{1}{25}$


б) $(2,4)^{-6} \cdot (2\frac{2}{5})^6$

Преобразуем десятичную дробь и смешанное число в неправильные дроби:

$2,4 = \frac{24}{10} = \frac{12}{5}$

$2\frac{2}{5} = \frac{2 \cdot 5 + 2}{5} = \frac{12}{5}$

Подставим значения в выражение и сложим показатели степеней с одинаковым основанием:

$(\frac{12}{5})^{-6} \cdot (\frac{12}{5})^6 = (\frac{12}{5})^{-6+6} = (\frac{12}{5})^0$

Любое число (кроме нуля) в нулевой степени равно 1 ($a^0 = 1$):

$(\frac{12}{5})^0 = 1$

Ответ: 1


в) $4 \cdot 2^{-4}$

Представим 4 как степень с основанием 2 ($4 = 2^2$):

$2^2 \cdot 2^{-4} = 2^{2+(-4)} = 2^{-2}$

$2^{-2} = \frac{1}{2^2} = \frac{1}{4}$

Ответ: $\frac{1}{4}$


г) $10^{-5} : 10^{-3}$

При делении степеней с одинаковым основанием их показатели вычитаются ($a^m : a^n = a^{m-n}$):

$10^{-5} : 10^{-3} = 10^{-5 - (-3)} = 10^{-5+3} = 10^{-2}$

$10^{-2} = \frac{1}{10^2} = \frac{1}{100}$

Ответ: $\frac{1}{100}$


д) $5 : 5^{-3}$

Представим 5 как $5^1$ и вычтем показатели степеней:

$5^1 : 5^{-3} = 5^{1 - (-3)} = 5^{1+3} = 5^4$

$5^4 = 5 \cdot 5 \cdot 5 \cdot 5 = 625$

Ответ: 625


е) $3^7 : 3^9 : 3^{-1}$

Выполним действия по порядку, вычитая показатели степеней:

$(3^7 : 3^9) : 3^{-1} = 3^{7-9} : 3^{-1} = 3^{-2} : 3^{-1}$

$3^{-2 - (-1)} = 3^{-2+1} = 3^{-1}$

$3^{-1} = \frac{1}{3}$

Ответ: $\frac{1}{3}$


ж) $(5^{-3})^{-1}$

При возведении степени в степень показатели перемножаются ($(a^m)^n = a^{m \cdot n}$):

$(5^{-3})^{-1} = 5^{(-3) \cdot (-1)} = 5^3$

$5^3 = 125$

Ответ: 125


з) $((\frac{1}{3})^{-1})^4$

Сначала выполним действие во внутренних скобках:

$(\frac{1}{3})^{-1} = (\frac{3}{1})^1 = 3$

Теперь возведем результат в 4-ю степень:

$3^4 = 81$

Ответ: 81


и) $(0,1^3)^{-1}$

При возведении степени в степень показатели перемножаются:

$(0,1^3)^{-1} = 0,1^{3 \cdot (-1)} = 0,1^{-3}$

Представим 0,1 как $\frac{1}{10}$:

$(\frac{1}{10})^{-3} = (\frac{10}{1})^3 = 10^3 = 1000$

Ответ: 1000


к) $(7^{-2})^{-3} : 7^7$

Сначала возведем степень в степень, перемножив показатели:

$(7^{-2})^{-3} = 7^{(-2) \cdot (-3)} = 7^6$

Теперь выполним деление, вычитая показатели:

$7^6 : 7^7 = 7^{6-7} = 7^{-1}$

$7^{-1} = \frac{1}{7}$

Ответ: $\frac{1}{7}$


л) $100^{-8} : 10^{-15}$

Представим 100 как $10^2$:

$(10^2)^{-8} : 10^{-15} = 10^{2 \cdot (-8)} : 10^{-15} = 10^{-16} : 10^{-15}$

Выполним деление, вычитая показатели:

$10^{-16 - (-15)} = 10^{-16+15} = 10^{-1}$

$10^{-1} = \frac{1}{10}$

Ответ: $\frac{1}{10}$


м) $5^{-4} : (5^{-2})^3$

Сначала выполним действие в скобках, перемножив показатели:

$(5^{-2})^3 = 5^{(-2) \cdot 3} = 5^{-6}$

Теперь выполним деление, вычитая показатели:

$5^{-4} : 5^{-6} = 5^{-4 - (-6)} = 5^{-4+6} = 5^2$

$5^2 = 25$

Ответ: 25

Помогло решение? Оставьте отзыв в комментариях ниже.

Присоединяйтесь к Телеграм-группе @gdz_by_belarus

Присоединиться

Мы подготовили для вас ответ c подробным объяснением домашего задания по алгебре за 7 класс, для упражнения номер 1.148 расположенного на странице 32 к учебнику 2022 года издания для учащихся школ и гимназий.

Теперь на нашем сайте ГДЗ.ТОП вы всегда легко и бесплатно найдёте условие с правильным ответом на вопрос «Как решить ДЗ» и «Как сделать» задание по алгебре к упражнению №1.148 (с. 32), авторов: Арефьева (Ирина Глебовна), Пирютко (Ольга Николаевна), учебного пособия издательства Народная асвета.