Номер 4.132, страница 289 - гдз по алгебре 7 класс учебник Арефьева, Пирютко

Алгебра, 7 класс Учебник, авторы: Арефьева Ирина Глебовна, Пирютко Ольга Николаевна, издательство Народная асвета, Минск, 2022, зелёного цвета

Авторы: Арефьева И. Г., Пирютко О. Н.

Тип: Учебник

Издательство: Народная асвета

Год издания: 2022 - 2025

Цвет обложки: зелёный с графиком

ISBN: ISBN 978-985-03-3770-2

Допущено Министерством образования Республики Беларусь

Популярные ГДЗ в 7 классе

Глава 4. Системы двух линейных уравнений с двумя переменными. Параграф 24. Способы решения системы линейных уравнений с двумя переменными - номер 4.132, страница 289.

№4.132 (с. 289)
Условие. №4.132 (с. 289)
скриншот условия
Алгебра, 7 класс Учебник, авторы: Арефьева Ирина Глебовна, Пирютко Ольга Николаевна, издательство Народная асвета, Минск, 2022, зелёного цвета, страница 289, номер 4.132, Условие

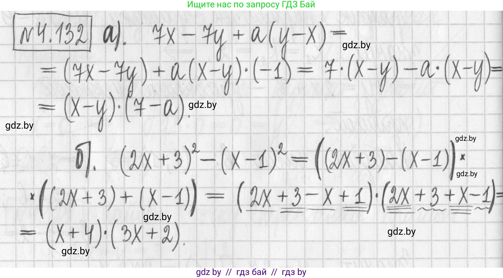
4.132. Разложите на множители:

a) $7x - 7y + a(y - x)$;

б) $(2x + 3)^2 - (x - 1)^2$.

Решение. №4.132 (с. 289)
Алгебра, 7 класс Учебник, авторы: Арефьева Ирина Глебовна, Пирютко Ольга Николаевна, издательство Народная асвета, Минск, 2022, зелёного цвета, страница 289, номер 4.132, Решение
Решение 2. №4.132 (с. 289)

Разложите на множители:

а) $7x - 7y + a(y - x)$

Для разложения на множители данного выражения воспользуемся методом группировки и вынесения общего множителя за скобки.

  1. Сгруппируем первые два слагаемых $7x - 7y$ и вынесем общий множитель 7 за скобки:
    $7x - 7y = 7(x - y)$
  2. Теперь исходное выражение принимает вид:
    $7(x - y) + a(y - x)$
  3. Заметим, что выражения в скобках $(x - y)$ и $(y - x)$ являются противоположными. Мы можем изменить знак во второй скобке, вынеся -1 за скобку:
    $a(y - x) = a(-1 \cdot (x - y)) = -a(x - y)$
  4. Подставим полученное выражение обратно в наше уравнение:
    $7(x - y) - a(x - y)$
  5. Теперь у нас есть общий множитель $(x - y)$, который мы можем вынести за скобки:
    $(x - y)(7 - a)$

Ответ: $(7 - a)(x - y)$

б) $(2x + 3)^2 - (x - 1)^2$

Данное выражение представляет собой разность квадратов. Воспользуемся формулой сокращенного умножения для разности квадратов: $A^2 - B^2 = (A - B)(A + B)$.

  1. В нашем случае $A = (2x + 3)$ и $B = (x - 1)$.
  2. Подставим эти значения в формулу:
    $( (2x + 3) - (x - 1) ) \cdot ( (2x + 3) + (x - 1) )$
  3. Теперь упростим выражения в каждой из скобок. Раскроем внутренние скобки. Важно помнить, что при раскрытии скобок, перед которыми стоит знак минус, знаки слагаемых внутри скобок меняются на противоположные.
  4. Упрощаем первую скобку (разность A и B):
    $(2x + 3) - (x - 1) = 2x + 3 - x + 1 = (2x - x) + (3 + 1) = x + 4$
  5. Упрощаем вторую скобку (сумма A и B):
    $(2x + 3) + (x - 1) = 2x + 3 + x - 1 = (2x + x) + (3 - 1) = 3x + 2$
  6. В результате получаем произведение двух множителей:
    $(x + 4)(3x + 2)$

Ответ: $(x + 4)(3x + 2)$

Помогло решение? Оставьте отзыв в комментариях ниже.

Присоединяйтесь к Телеграм-группе @gdz_by_belarus

Присоединиться

Мы подготовили для вас ответ c подробным объяснением домашего задания по алгебре за 7 класс, для упражнения номер 4.132 расположенного на странице 289 к учебнику 2022 года издания для учащихся школ и гимназий.

Теперь на нашем сайте ГДЗ.ТОП вы всегда легко и бесплатно найдёте условие с правильным ответом на вопрос «Как решить ДЗ» и «Как сделать» задание по алгебре к упражнению №4.132 (с. 289), авторов: Арефьева (Ирина Глебовна), Пирютко (Ольга Николаевна), учебного пособия издательства Народная асвета.