Номер 2.296, страница 113 - гдз по алгебре 7 класс учебник Арефьева, Пирютко

Алгебра, 7 класс Учебник, авторы: Арефьева Ирина Глебовна, Пирютко Ольга Николаевна, издательство Народная асвета, Минск, 2022, зелёного цвета

Авторы: Арефьева И. Г., Пирютко О. Н.

Тип: Учебник

Издательство: Народная асвета

Год издания: 2022 - 2025

Цвет обложки: зелёный с графиком

ISBN: ISBN 978-985-03-3770-2

Допущено Министерством образования Республики Беларусь

Популярные ГДЗ в 7 классе

Глава 2. Выражения и их преобразования. Параграф 12. Формулы сокращенного умножения: квадрат суммы и квадрат разности двух выражений - номер 2.296, страница 113.

№2.296 (с. 113)
Условие. №2.296 (с. 113)
скриншот условия
Алгебра, 7 класс Учебник, авторы: Арефьева Ирина Глебовна, Пирютко Ольга Николаевна, издательство Народная асвета, Минск, 2022, зелёного цвета, страница 113, номер 2.296, Условие

2.296. Упростите выражение:

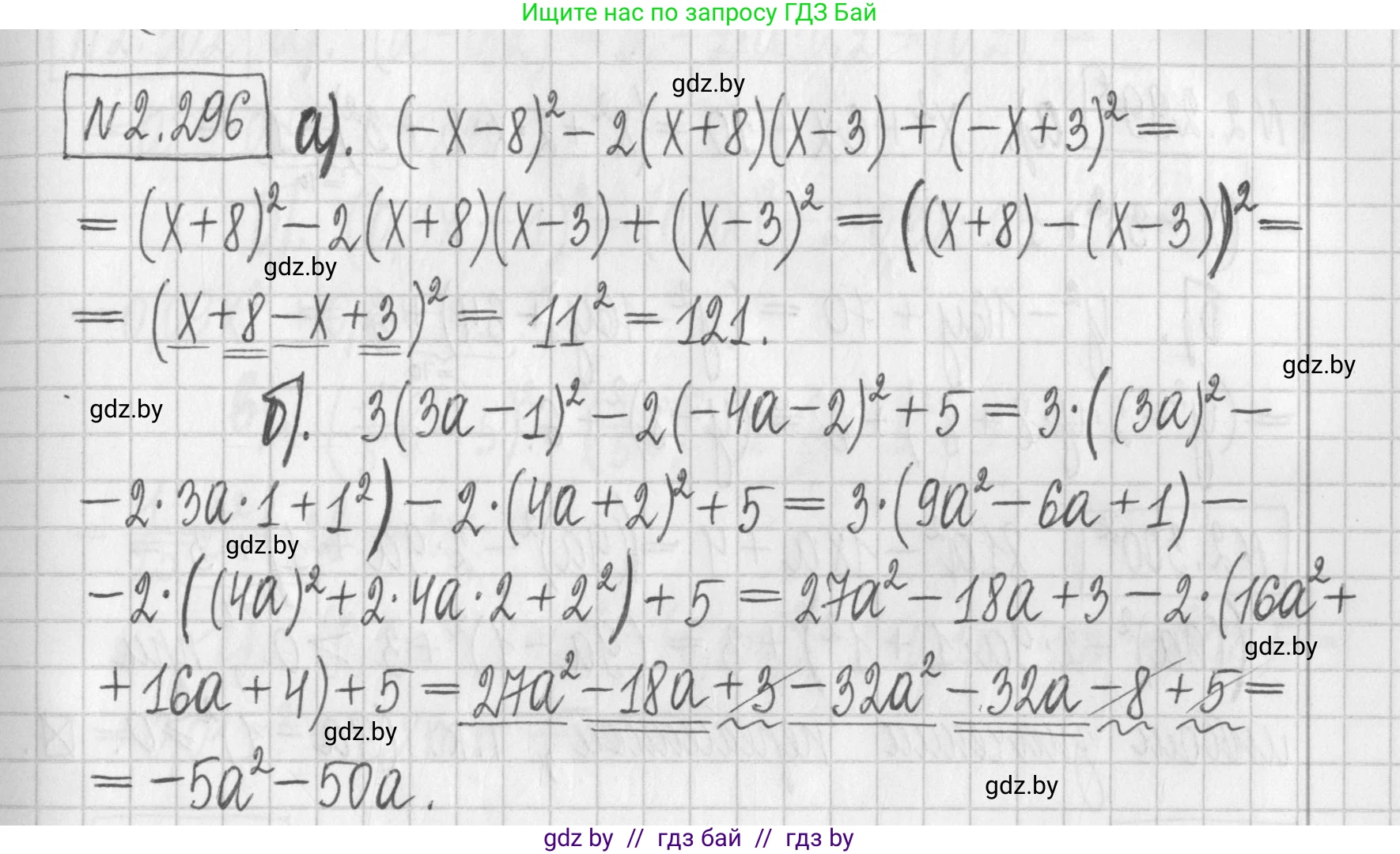
a) $(-x-8)^2 - 2(x+8)(x-3) + (-x+3)^2;$

б) $3(3a-1)^2 - 2(-4a-2)^2 + 5.$

Решение. №2.296 (с. 113)
Алгебра, 7 класс Учебник, авторы: Арефьева Ирина Глебовна, Пирютко Ольга Николаевна, издательство Народная асвета, Минск, 2022, зелёного цвета, страница 113, номер 2.296, Решение
Решение 2. №2.296 (с. 113)
а) $(-x-8)^2 - 2(x+8)(x-3) + (-x+3)^2$

Для упрощения этого выражения преобразуем первый и последний члены.

Первый член: $(-x-8)^2 = (-(x+8))^2 = (x+8)^2$.
Последний член: $(-x+3)^2 = (3-x)^2$.

Подставим преобразованные члены обратно в исходное выражение:

$(x+8)^2 - 2(x+8)(x-3) + (x-3)^2$

Полученное выражение является формулой квадрата разности: $A^2 - 2AB + B^2 = (A-B)^2$, где $A = (x+8)$ и $B = (x-3)$.

Свернем выражение по формуле:

$((x+8) - (x-3))^2$

Раскроем внутренние скобки и приведем подобные слагаемые:

$(x+8 - x + 3)^2 = (11)^2 = 121$

Ответ: 121

б) $3(3a-1)^2 - 2(-4a-2)^2 + 5$

Для упрощения этого выражения раскроем скобки, используя формулы сокращенного умножения, а затем приведем подобные слагаемые.

1. Раскроем первую скобку по формуле квадрата разности $(x-y)^2 = x^2 - 2xy + y^2$:

$(3a-1)^2 = (3a)^2 - 2 \cdot 3a \cdot 1 + 1^2 = 9a^2 - 6a + 1$

2. Раскроем вторую скобку. Сначала вынесем минус за скобки: $(-4a-2)^2 = (-(4a+2))^2 = (4a+2)^2$. Затем применим формулу квадрата суммы $(x+y)^2 = x^2 + 2xy + y^2$:

$(4a+2)^2 = (4a)^2 + 2 \cdot 4a \cdot 2 + 2^2 = 16a^2 + 16a + 4$

3. Подставим раскрытые скобки обратно в выражение:

$3(9a^2 - 6a + 1) - 2(16a^2 + 16a + 4) + 5$

4. Умножим на коэффициенты перед скобками:

$(27a^2 - 18a + 3) - (32a^2 + 32a + 8) + 5$

5. Раскроем скобки и приведем подобные слагаемые:

$27a^2 - 18a + 3 - 32a^2 - 32a - 8 + 5 = (27a^2 - 32a^2) + (-18a - 32a) + (3 - 8 + 5)$

$-5a^2 - 50a + 0 = -5a^2 - 50a$

Ответ: $-5a^2 - 50a$

Помогло решение? Оставьте отзыв в комментариях ниже.

Присоединяйтесь к Телеграм-группе @gdz_by_belarus

Присоединиться

Мы подготовили для вас ответ c подробным объяснением домашего задания по алгебре за 7 класс, для упражнения номер 2.296 расположенного на странице 113 к учебнику 2022 года издания для учащихся школ и гимназий.

Теперь на нашем сайте ГДЗ.ТОП вы всегда легко и бесплатно найдёте условие с правильным ответом на вопрос «Как решить ДЗ» и «Как сделать» задание по алгебре к упражнению №2.296 (с. 113), авторов: Арефьева (Ирина Глебовна), Пирютко (Ольга Николаевна), учебного пособия издательства Народная асвета.