Номер 2.382, страница 134 - гдз по алгебре 7 класс учебник Арефьева, Пирютко

Алгебра, 7 класс Учебник, авторы: Арефьева Ирина Глебовна, Пирютко Ольга Николаевна, издательство Народная асвета, Минск, 2022, зелёного цвета

Авторы: Арефьева И. Г., Пирютко О. Н.

Тип: Учебник

Издательство: Народная асвета

Год издания: 2022 - 2025

Цвет обложки: зелёный с графиком

ISBN: ISBN 978-985-03-3770-2

Допущено Министерством образования Республики Беларусь

Популярные ГДЗ в 7 классе

Глава 2. Выражения и их преобразования. Параграф 14. Разложение многочлена на множители - номер 2.382, страница 134.

№2.382 (с. 134)
Условие. №2.382 (с. 134)
скриншот условия
Алгебра, 7 класс Учебник, авторы: Арефьева Ирина Глебовна, Пирютко Ольга Николаевна, издательство Народная асвета, Минск, 2022, зелёного цвета, страница 134, номер 2.382, Условие

2.382. Разложите многочлен на множители:

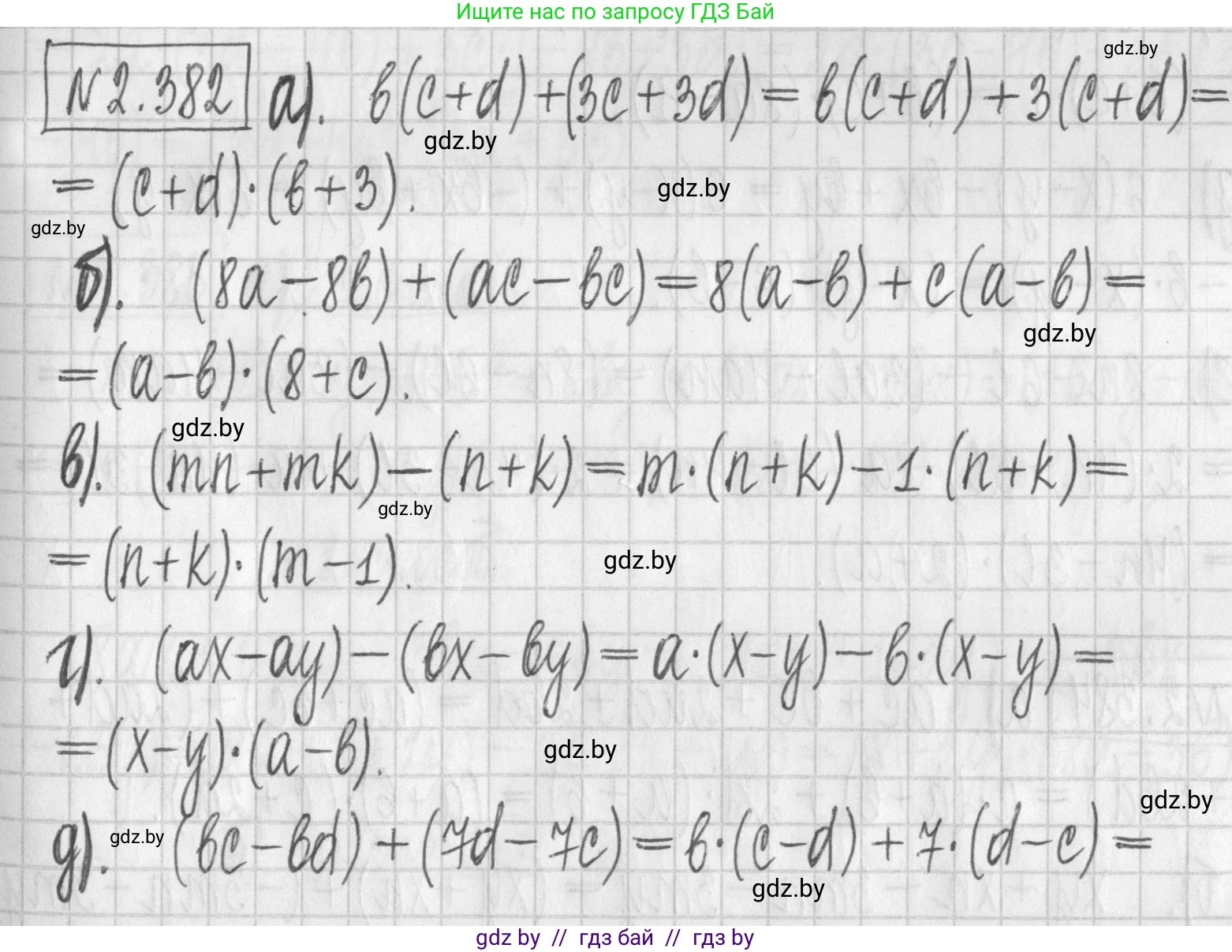
а) $b(c + d) + (3c + 3d);$

б) $(8a - 8b) + (ac - bc);$

в) $(mn + mk) - (n + k);$

г) $(ax - ay) - (bx - by);$

д) $(bc - bd) + (7d - 7c);$

е) $(ac - ap) - (3p - 3c).$

Решение. №2.382 (с. 134)
Алгебра, 7 класс Учебник, авторы: Арефьева Ирина Глебовна, Пирютко Ольга Николаевна, издательство Народная асвета, Минск, 2022, зелёного цвета, страница 134, номер 2.382, Решение Алгебра, 7 класс Учебник, авторы: Арефьева Ирина Глебовна, Пирютко Ольга Николаевна, издательство Народная асвета, Минск, 2022, зелёного цвета, страница 134, номер 2.382, Решение (продолжение 2)
Решение 2. №2.382 (с. 134)

а) $b(c + d) + (3c + 3d)$

В выражении $(3c + 3d)$ вынесем общий множитель 3 за скобки: $3(c + d)$.

Исходное выражение примет вид: $b(c + d) + 3(c + d)$.

Теперь общий множитель $(c + d)$ можно вынести за скобки:

$(b + 3)(c + d)$.

Ответ: $(b + 3)(c + d)$

б) $(8a - 8b) + (ac - bc)$

Вынесем общие множители из каждой скобки. Из первой скобки выносим 8, из второй — $c$.

$8(a - b) + c(a - b)$.

Теперь вынесем общий множитель $(a - b)$ за скобки:

$(8 + c)(a - b)$.

Ответ: $(8 + c)(a - b)$

в) $(mn + mk) - (n + k)$

В выражении $(mn + mk)$ вынесем общий множитель $m$ за скобки: $m(n + k)$.

Исходное выражение примет вид: $m(n + k) - (n + k)$.

Это можно записать как $m(n + k) - 1 \cdot (n + k)$.

Вынесем общий множитель $(n + k)$ за скобки:

$(m - 1)(n + k)$.

Ответ: $(m - 1)(n + k)$

г) $(ax - ay) - (bx - by)$

Вынесем общие множители из каждой скобки. Из первой скобки выносим $a$, из второй — $b$.

$a(x - y) - b(x - y)$.

Теперь вынесем общий множитель $(x - y)$ за скобки:

$(a - b)(x - y)$.

Ответ: $(a - b)(x - y)$

д) $(bc - bd) + (7d - 7c)$

Вынесем общие множители из каждой скобки: $b(c - d)$ и $7(d - c)$.

Получим выражение: $b(c - d) + 7(d - c)$.

Заметим, что $(d - c) = -(c - d)$. Подставим это в выражение:

$b(c - d) - 7(c - d)$.

Вынесем общий множитель $(c - d)$ за скобки:

$(b - 7)(c - d)$.

Ответ: $(b - 7)(c - d)$

е) $(ac - ap) - (3p - 3c)$

Вынесем общие множители из каждой скобки: $a(c - p)$ и $3(p - c)$.

Получим выражение: $a(c - p) - 3(p - c)$.

Заметим, что $(p - c) = -(c - p)$. Подставим это в выражение:

$a(c - p) - 3(-(c - p)) = a(c - p) + 3(c - p)$.

Вынесем общий множитель $(c - p)$ за скобки:

$(a + 3)(c - p)$.

Ответ: $(a + 3)(c - p)$

Помогло решение? Оставьте отзыв в комментариях ниже.

Присоединяйтесь к Телеграм-группе @gdz_by_belarus

Присоединиться

Мы подготовили для вас ответ c подробным объяснением домашего задания по алгебре за 7 класс, для упражнения номер 2.382 расположенного на странице 134 к учебнику 2022 года издания для учащихся школ и гимназий.

Теперь на нашем сайте ГДЗ.ТОП вы всегда легко и бесплатно найдёте условие с правильным ответом на вопрос «Как решить ДЗ» и «Как сделать» задание по алгебре к упражнению №2.382 (с. 134), авторов: Арефьева (Ирина Глебовна), Пирютко (Ольга Николаевна), учебного пособия издательства Народная асвета.