Номер 2.376, страница 133 - гдз по алгебре 7 класс учебник Арефьева, Пирютко

Алгебра, 7 класс Учебник, авторы: Арефьева Ирина Глебовна, Пирютко Ольга Николаевна, издательство Народная асвета, Минск, 2022, зелёного цвета

Авторы: Арефьева И. Г., Пирютко О. Н.

Тип: Учебник

Издательство: Народная асвета

Год издания: 2022 - 2025

Цвет обложки: зелёный с графиком

ISBN: ISBN 978-985-03-3770-2

Допущено Министерством образования Республики Беларусь

Популярные ГДЗ в 7 классе

Глава 2. Выражения и их преобразования. Параграф 14. Разложение многочлена на множители - номер 2.376, страница 133.

№2.376 (с. 133)
Условие. №2.376 (с. 133)
скриншот условия
Алгебра, 7 класс Учебник, авторы: Арефьева Ирина Глебовна, Пирютко Ольга Николаевна, издательство Народная асвета, Минск, 2022, зелёного цвета, страница 133, номер 2.376, Условие

2.376. Разложите многочлен на множители:

а) $4a^2 - 12a$;

б) $3x^2 + x$;

в) $y^2 - yz$;

г) $m^2n + n$;

д) $x^2y - xy^2$;

е) $15a^2b + 3ab$;

ж) $-10mn^2 + 25m^3n$;

з) $-a^3b^3 - ab$.

Решение. №2.376 (с. 133)
Алгебра, 7 класс Учебник, авторы: Арефьева Ирина Глебовна, Пирютко Ольга Николаевна, издательство Народная асвета, Минск, 2022, зелёного цвета, страница 133, номер 2.376, Решение Алгебра, 7 класс Учебник, авторы: Арефьева Ирина Глебовна, Пирютко Ольга Николаевна, издательство Народная асвета, Минск, 2022, зелёного цвета, страница 133, номер 2.376, Решение (продолжение 2)
Решение 2. №2.376 (с. 133)

а) $4a^2 - 12a$
Чтобы разложить многочлен на множители, нужно найти общий множитель для каждого члена многочлена и вынести его за скобки.
Для членов $4a^2$ и $12a$ общим множителем является $4a$, так как наибольший общий делитель для чисел 4 и 12 это 4, а для переменных $a^2$ и $a$ это $a$.
$4a^2 - 12a = 4a \cdot a - 4a \cdot 3 = 4a(a - 3)$
Ответ: $4a(a - 3)$

б) $3x^2 + x$
Найдем общий множитель для $3x^2$ и $x$. Общим множителем является переменная $x$.
$3x^2 + x = x \cdot 3x + x \cdot 1 = x(3x + 1)$
Ответ: $x(3x + 1)$

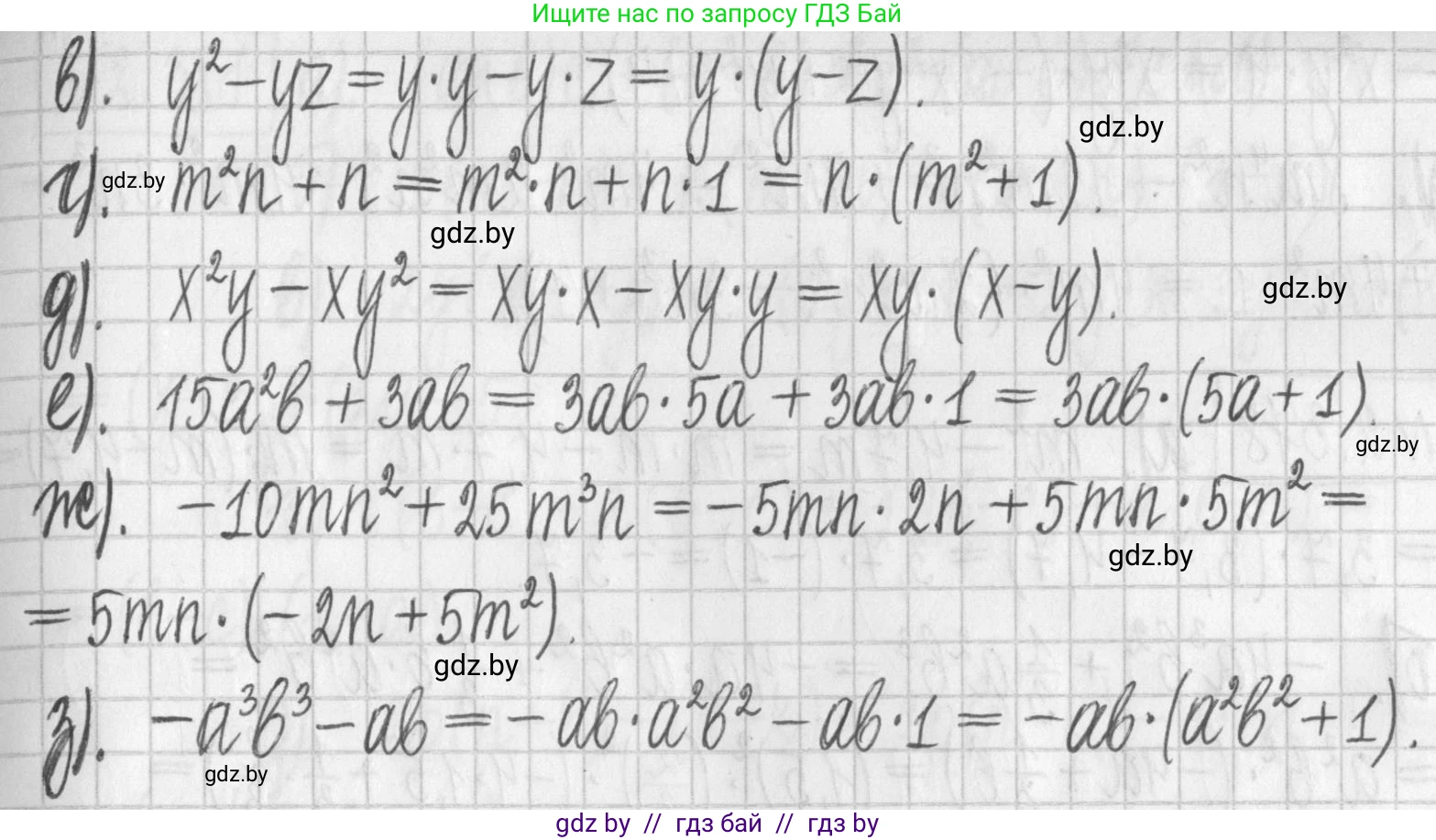
в) $y^2 - yz$
Найдем общий множитель для $y^2$ и $yz$. Общим множителем является переменная $y$.
$y^2 - yz = y \cdot y - y \cdot z = y(y - z)$
Ответ: $y(y - z)$

г) $m^2n + n$
Найдем общий множитель для $m^2n$ и $n$. Общим множителем является переменная $n$.
$m^2n + n = n \cdot m^2 + n \cdot 1 = n(m^2 + 1)$
Ответ: $n(m^2 + 1)$

д) $x^2y - xy^2$
Найдем общий множитель для $x^2y$ и $xy^2$. Общий множитель для переменных $x^2$ и $x$ это $x$. Общий множитель для $y$ и $y^2$ это $y$. Таким образом, общий множитель всего выражения - $xy$.
$x^2y - xy^2 = xy \cdot x - xy \cdot y = xy(x - y)$
Ответ: $xy(x - y)$

е) $15a^2b - 3ab$
Найдем общий множитель для $15a^2b$ и $3ab$. Наибольший общий делитель для чисел 15 и 3 это 3. Общий множитель для переменных $a^2b$ и $ab$ это $ab$. Таким образом, общий множитель всего выражения - $3ab$.
$15a^2b - 3ab = 3ab \cdot 5a - 3ab \cdot 1 = 3ab(5a - 1)$
Ответ: $3ab(5a - 1)$

ж) $-10mn^2 + 25m^3n$
Найдем общий множитель для $-10mn^2$ и $25m^3n$. Наибольший общий делитель для чисел 10 и 25 это 5. Общий множитель для переменных $mn^2$ и $m^3n$ это $mn$. Таким образом, общий множитель всего выражения - $5mn$.
$-10mn^2 + 25m^3n = 5mn \cdot 5m^2 - 5mn \cdot 2n = 5mn(5m^2 - 2n)$
Ответ: $5mn(5m^2 - 2n)$

з) $-a^3b^3 - ab$
Найдем общий множитель для $-a^3b^3$ и $-ab$. Так как оба члена отрицательны, вынесем за скобку отрицательный множитель $-ab$.
$-a^3b^3 - ab = -ab \cdot a^2b^2 - ab \cdot 1 = -ab(a^2b^2 + 1)$
Ответ: $-ab(a^2b^2 + 1)$

Помогло решение? Оставьте отзыв в комментариях ниже.

Присоединяйтесь к Телеграм-группе @gdz_by_belarus

Присоединиться

Мы подготовили для вас ответ c подробным объяснением домашего задания по алгебре за 7 класс, для упражнения номер 2.376 расположенного на странице 133 к учебнику 2022 года издания для учащихся школ и гимназий.

Теперь на нашем сайте ГДЗ.ТОП вы всегда легко и бесплатно найдёте условие с правильным ответом на вопрос «Как решить ДЗ» и «Как сделать» задание по алгебре к упражнению №2.376 (с. 133), авторов: Арефьева (Ирина Глебовна), Пирютко (Ольга Николаевна), учебного пособия издательства Народная асвета.