Номер 2.374, страница 133 - гдз по алгебре 7 класс учебник Арефьева, Пирютко

Алгебра, 7 класс Учебник, авторы: Арефьева Ирина Глебовна, Пирютко Ольга Николаевна, издательство Народная асвета, Минск, 2022, зелёного цвета

Авторы: Арефьева И. Г., Пирютко О. Н.

Тип: Учебник

Издательство: Народная асвета

Год издания: 2022 - 2025

Цвет обложки: зелёный с графиком

ISBN: ISBN 978-985-03-3770-2

Допущено Министерством образования Республики Беларусь

Популярные ГДЗ в 7 классе

Глава 2. Выражения и их преобразования. Параграф 14. Разложение многочлена на множители - номер 2.374, страница 133.

№2.374 (с. 133)
Условие. №2.374 (с. 133)
скриншот условия
Алгебра, 7 класс Учебник, авторы: Арефьева Ирина Глебовна, Пирютко Ольга Николаевна, издательство Народная асвета, Минск, 2022, зелёного цвета, страница 133, номер 2.374, Условие

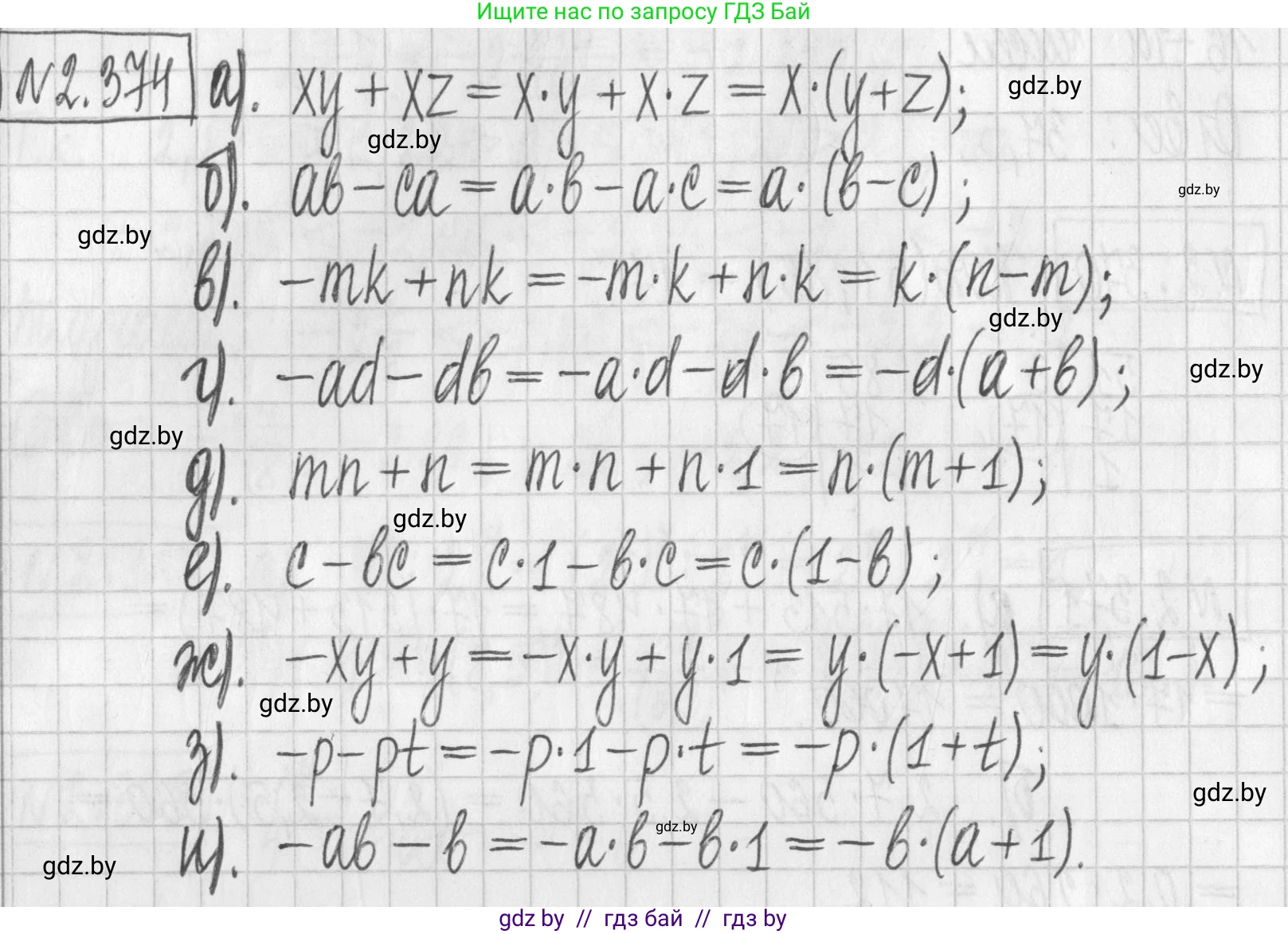
2.374. Вынесите общий множитель за скобки:

а) $xy + xz;$

б) $ab - ca;$

в) $-mk + nk;$

г) $-ad - db;$

д) $mn + n;$

е) $c - bc;$

ж) $-xy + y;$

з) $-p - pt;$

и) $-ab - b.$

Решение. №2.374 (с. 133)
Алгебра, 7 класс Учебник, авторы: Арефьева Ирина Глебовна, Пирютко Ольга Николаевна, издательство Народная асвета, Минск, 2022, зелёного цвета, страница 133, номер 2.374, Решение
Решение 2. №2.374 (с. 133)

Для решения данной задачи мы будем использовать распределительное свойство умножения, которое позволяет выносить общий множитель за скобки: $ac + bc = (a+b)c$.


а) В выражении $xy + xz$ оба слагаемых, $xy$ и $xz$, содержат общий множитель $x$. Вынесем его за скобки:

$xy + xz = x \cdot y + x \cdot z = x(y+z)$

Ответ: $x(y+z)$


б) В выражении $ab - ca$ оба члена, $ab$ и $-ca$, содержат общий множитель $a$. Вынесем его за скобки:

$ab - ca = a \cdot b - c \cdot a = a(b-c)$

Ответ: $a(b-c)$


в) В выражении $-mk + nk$ оба члена содержат общий множитель $k$. Вынесем его за скобки:

$-mk + nk = -m \cdot k + n \cdot k = k(-m+n) = k(n-m)$

Ответ: $k(n-m)$


г) В выражении $-ad - db$ оба члена содержат общий множитель $d$. Также оба члена имеют знак минус. Для удобства вынесем за скобки $-d$:

$-ad - db = -d \cdot a - d \cdot b = -d(a+b)$

Ответ: $-d(a+b)$


д) В выражении $mn + n$ общий множитель - это $n$. Важно помнить, что $n$ можно представить как $n \cdot 1$.

$mn + n = m \cdot n + 1 \cdot n = n(m+1)$

Ответ: $n(m+1)$


е) В выражении $c - bc$ общий множитель - это $c$. Представим $c$ как $c \cdot 1$.

$c - bc = 1 \cdot c - b \cdot c = c(1-b)$

Ответ: $c(1-b)$


ж) В выражении $-xy + y$ общий множитель - это $y$.

$-xy + y = -x \cdot y + 1 \cdot y = y(-x+1) = y(1-x)$

Ответ: $y(1-x)$


з) В выражении $-p - pt$ оба члена отрицательны и содержат множитель $p$. Вынесем за скобки $-p$.

$-p - pt = -1 \cdot p - p \cdot t = -p(1+t)$

Ответ: $-p(1+t)$


и) В выражении $-ab - b$ оба члена отрицательны и содержат множитель $b$. Вынесем за скобки $-b$.

$-ab - b = -a \cdot b - 1 \cdot b = -b(a+1)$

Ответ: $-b(a+1)$

Помогло решение? Оставьте отзыв в комментариях ниже.

Присоединяйтесь к Телеграм-группе @gdz_by_belarus

Присоединиться

Мы подготовили для вас ответ c подробным объяснением домашего задания по алгебре за 7 класс, для упражнения номер 2.374 расположенного на странице 133 к учебнику 2022 года издания для учащихся школ и гимназий.

Теперь на нашем сайте ГДЗ.ТОП вы всегда легко и бесплатно найдёте условие с правильным ответом на вопрос «Как решить ДЗ» и «Как сделать» задание по алгебре к упражнению №2.374 (с. 133), авторов: Арефьева (Ирина Глебовна), Пирютко (Ольга Николаевна), учебного пособия издательства Народная асвета.