Номер 2.383, страница 134 - гдз по алгебре 7 класс учебник Арефьева, Пирютко

Алгебра, 7 класс Учебник, авторы: Арефьева Ирина Глебовна, Пирютко Ольга Николаевна, издательство Народная асвета, Минск, 2022, зелёного цвета

Авторы: Арефьева И. Г., Пирютко О. Н.

Тип: Учебник

Издательство: Народная асвета

Год издания: 2022 - 2025

Цвет обложки: зелёный с графиком

ISBN: ISBN 978-985-03-3770-2

Допущено Министерством образования Республики Беларусь

Популярные ГДЗ в 7 классе

Глава 2. Выражения и их преобразования. Параграф 14. Разложение многочлена на множители - номер 2.383, страница 134.

№2.383 (с. 134)
Условие. №2.383 (с. 134)
скриншот условия
Алгебра, 7 класс Учебник, авторы: Арефьева Ирина Глебовна, Пирютко Ольга Николаевна, издательство Народная асвета, Минск, 2022, зелёного цвета, страница 134, номер 2.383, Условие

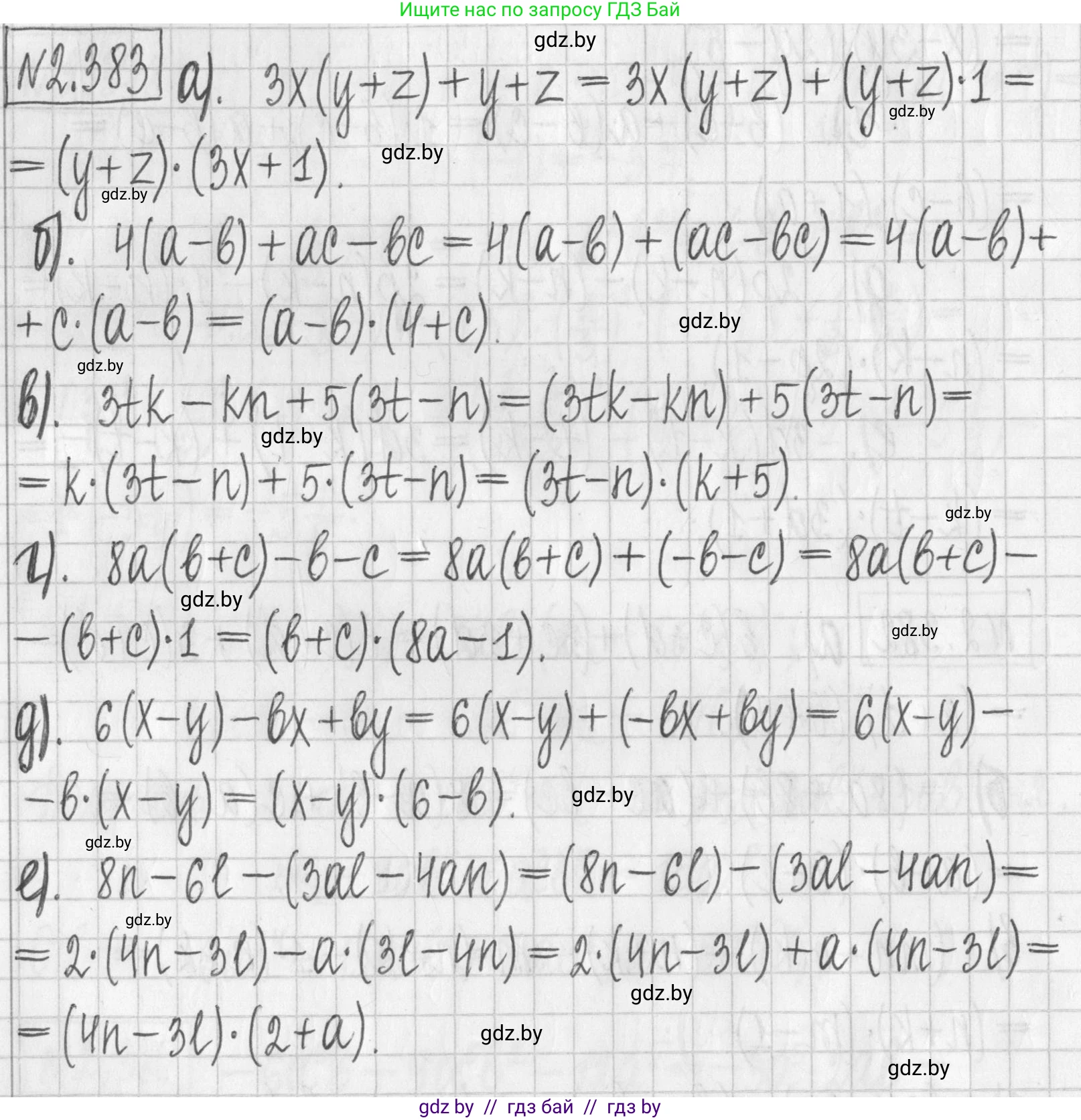
2.383. Представьте в виде произведения:

а) $3x(y+z)+y+z;$

б) $4(a-b)+ac-bc;$

в) $3tk-kn+5(3t-n);$

г) $8a(b+c)-b-c;$

д) $6(x-y)-bx+by;$

е) $8n-6l-(3al-4an).$

Решение. №2.383 (с. 134)
Алгебра, 7 класс Учебник, авторы: Арефьева Ирина Глебовна, Пирютко Ольга Николаевна, издательство Народная асвета, Минск, 2022, зелёного цвета, страница 134, номер 2.383, Решение
Решение 2. №2.383 (с. 134)

а) Чтобы представить выражение $3x(y + z) + y + z$ в виде произведения, необходимо найти общий множитель и вынести его за скобки. В данном случае общим множителем является выражение $(y+z)$.

$3x(y + z) + y + z = 3x \cdot (y + z) + 1 \cdot (y + z)$

Теперь вынесем общий множитель $(y+z)$ за скобки:

$(y + z)(3x + 1)$

Ответ: $(y + z)(3x + 1)$

б) Рассмотрим выражение $4(a - b) + ac - bc$. Сгруппируем последние два слагаемых и вынесем за скобки общий множитель $c$.

$ac - bc = c(a - b)$

Подставим полученное выражение в исходное:

$4(a - b) + c(a - b)$

Теперь мы видим, что общим множителем является $(a - b)$. Вынесем его за скобки:

$(a - b)(4 + c)$

Ответ: $(a - b)(4 + c)$

в) В выражении $3tk - kn + 5(3t - n)$ сгруппируем первые два слагаемых и вынесем за скобки общий множитель $k$.

$3tk - kn = k(3t - n)$

Теперь исходное выражение выглядит так:

$k(3t - n) + 5(3t - n)$

Общим множителем является $(3t - n)$. Вынесем его за скобки:

$(3t - n)(k + 5)$

Ответ: $(3t - n)(k + 5)$

г) Рассмотрим выражение $8a(b + c) - b - c$. Вынесем $-1$ за скобки в слагаемых $-b - c$.

$-b - c = -1(b + c)$

Подставим это в исходное выражение:

$8a(b + c) - 1(b + c)$

Общим множителем является $(b + c)$. Вынесем его за скобки:

$(b + c)(8a - 1)$

Ответ: $(b + c)(8a - 1)$

д) В выражении $6(x - y) - bx + by$ сгруппируем последние два слагаемых. Вынесем за скобки общий множитель $-b$.

$-bx + by = -b(x - y)$

Теперь исходное выражение примет вид:

$6(x - y) - b(x - y)$

Вынесем общий множитель $(x - y)$ за скобки:

$(x - y)(6 - b)$

Ответ: $(x - y)(6 - b)$

е) Рассмотрим выражение $8n - 6l - (3al - 4an)$. Сначала раскроем скобки.

$8n - 6l - 3al + 4an$

Теперь сгруппируем слагаемые с переменной $n$ и слагаемые с переменной $l$.

$(8n + 4an) + (-6l - 3al)$

Вынесем общие множители из каждой группы. Из первой группы вынесем $4n$, из второй $-3l$.

$4n(2 + a) - 3l(2 + a)$

Теперь у нас есть общий множитель $(2 + a)$. Вынесем его за скобки:

$(2 + a)(4n - 3l)$

Ответ: $(2 + a)(4n - 3l)$

Помогло решение? Оставьте отзыв в комментариях ниже.

Присоединяйтесь к Телеграм-группе @gdz_by_belarus

Присоединиться

Мы подготовили для вас ответ c подробным объяснением домашего задания по алгебре за 7 класс, для упражнения номер 2.383 расположенного на странице 134 к учебнику 2022 года издания для учащихся школ и гимназий.

Теперь на нашем сайте ГДЗ.ТОП вы всегда легко и бесплатно найдёте условие с правильным ответом на вопрос «Как решить ДЗ» и «Как сделать» задание по алгебре к упражнению №2.383 (с. 134), авторов: Арефьева (Ирина Глебовна), Пирютко (Ольга Николаевна), учебного пособия издательства Народная асвета.