Номер 2.403, страница 136 - гдз по алгебре 7 класс учебник Арефьева, Пирютко

Алгебра, 7 класс Учебник, авторы: Арефьева Ирина Глебовна, Пирютко Ольга Николаевна, издательство Народная асвета, Минск, 2022, зелёного цвета

Авторы: Арефьева И. Г., Пирютко О. Н.

Тип: Учебник

Издательство: Народная асвета

Год издания: 2022 - 2025

Цвет обложки: зелёный с графиком

ISBN: ISBN 978-985-03-3770-2

Допущено Министерством образования Республики Беларусь

Популярные ГДЗ в 7 классе

Глава 2. Выражения и их преобразования. Параграф 14. Разложение многочлена на множители - номер 2.403, страница 136.

№2.403 (с. 136)
Условие. №2.403 (с. 136)
скриншот условия
Алгебра, 7 класс Учебник, авторы: Арефьева Ирина Глебовна, Пирютко Ольга Николаевна, издательство Народная асвета, Минск, 2022, зелёного цвета, страница 136, номер 2.403, Условие

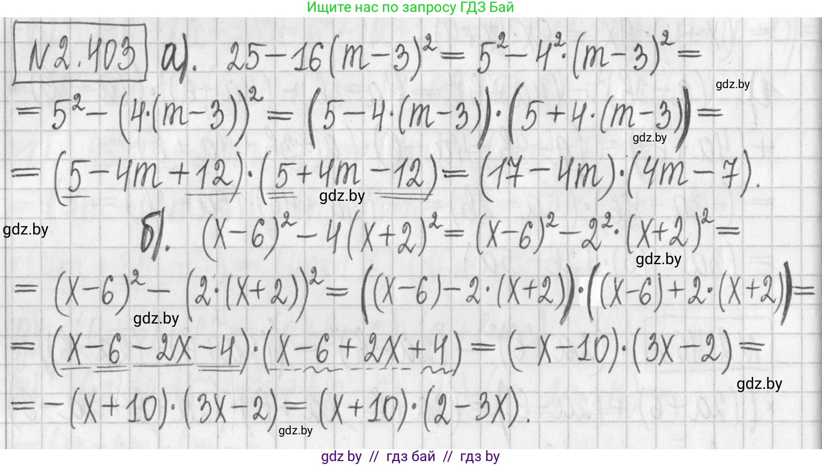
2.403. Разложите многочлен на множители:

а) $25 - 16(m - 3)^2$;

б) $(x - 6)^2 - 4(x + 2)^2$.

Решение. №2.403 (с. 136)
Алгебра, 7 класс Учебник, авторы: Арефьева Ирина Глебовна, Пирютко Ольга Николаевна, издательство Народная асвета, Минск, 2022, зелёного цвета, страница 136, номер 2.403, Решение
Решение 2. №2.403 (с. 136)

а) $25 - 16(m-3)^2$

Данное выражение представляет собой разность квадратов. Для разложения на множители воспользуемся формулой $a^2 - b^2 = (a-b)(a+b)$.

В нашем случае $a^2 = 25$, что означает $a = 5$.

Выражение $b^2 = 16(m-3)^2$ можно представить как $(4(m-3))^2$, следовательно $b = 4(m-3)$.

Подставим $a$ и $b$ в формулу разности квадратов:

$25 - 16(m-3)^2 = (5 - 4(m-3))(5 + 4(m-3))$

Теперь упростим выражения в скобках:

Первая скобка: $5 - 4(m-3) = 5 - 4m + 12 = 17 - 4m$.

Вторая скобка: $5 + 4(m-3) = 5 + 4m - 12 = 4m - 7$.

Таким образом, итоговое разложение на множители:

$(17 - 4m)(4m - 7)$

Ответ: $(17 - 4m)(4m - 7)$.


б) $(x-6)^2 - 4(x+2)^2$

Это выражение также является разностью квадратов, и мы можем использовать ту же формулу $a^2 - b^2 = (a-b)(a+b)$.

Здесь $a^2 = (x-6)^2$, значит $a = x-6$.

А $b^2 = 4(x+2)^2 = (2(x+2))^2$, значит $b = 2(x+2)$.

Подставим $a$ и $b$ в формулу:

$(x-6)^2 - 4(x+2)^2 = ((x-6) - 2(x+2))((x-6) + 2(x+2))$

Упростим выражения в каждой из скобок:

Первая скобка: $(x-6) - 2(x+2) = x - 6 - 2x - 4 = -x - 10$.

Вторая скобка: $(x-6) + 2(x+2) = x - 6 + 2x + 4 = 3x - 2$.

Получаем произведение: $(-x-10)(3x-2)$.

Для удобства можно вынести знак минус за скобки в первом множителе:

$-(x+10)(3x-2)$

Ответ: $-(x + 10)(3x - 2)$.

Помогло решение? Оставьте отзыв в комментариях ниже.

Присоединяйтесь к Телеграм-группе @gdz_by_belarus

Присоединиться

Мы подготовили для вас ответ c подробным объяснением домашего задания по алгебре за 7 класс, для упражнения номер 2.403 расположенного на странице 136 к учебнику 2022 года издания для учащихся школ и гимназий.

Теперь на нашем сайте ГДЗ.ТОП вы всегда легко и бесплатно найдёте условие с правильным ответом на вопрос «Как решить ДЗ» и «Как сделать» задание по алгебре к упражнению №2.403 (с. 136), авторов: Арефьева (Ирина Глебовна), Пирютко (Ольга Николаевна), учебного пособия издательства Народная асвета.