Номер 2.409, страница 137 - гдз по алгебре 7 класс учебник Арефьева, Пирютко

Алгебра, 7 класс Учебник, авторы: Арефьева Ирина Глебовна, Пирютко Ольга Николаевна, издательство Народная асвета, Минск, 2022, зелёного цвета

Авторы: Арефьева И. Г., Пирютко О. Н.

Тип: Учебник

Издательство: Народная асвета

Год издания: 2022 - 2025

Цвет обложки: зелёный с графиком

ISBN: ISBN 978-985-03-3770-2

Допущено Министерством образования Республики Беларусь

Популярные ГДЗ в 7 классе

Глава 2. Выражения и их преобразования. Параграф 14. Разложение многочлена на множители - номер 2.409, страница 137.

№2.409 (с. 137)
Условие. №2.409 (с. 137)
скриншот условия
Алгебра, 7 класс Учебник, авторы: Арефьева Ирина Глебовна, Пирютко Ольга Николаевна, издательство Народная асвета, Минск, 2022, зелёного цвета, страница 137, номер 2.409, Условие

2.409. Используя комбинацию различных способов, разложите многочлен на множители:

а) $x^2 - y^2 + x + y;$

б) $a - b - 3a^2 + 3b^2;$

в) $a^3 + a^2 - a - 1;$

г) $xy - zy - x^2 + 2xz - z^2.$

Решение. №2.409 (с. 137)
Алгебра, 7 класс Учебник, авторы: Арефьева Ирина Глебовна, Пирютко Ольга Николаевна, издательство Народная асвета, Минск, 2022, зелёного цвета, страница 137, номер 2.409, Решение Алгебра, 7 класс Учебник, авторы: Арефьева Ирина Глебовна, Пирютко Ольга Николаевна, издательство Народная асвета, Минск, 2022, зелёного цвета, страница 137, номер 2.409, Решение (продолжение 2)
Решение 2. №2.409 (с. 137)

Разложение многочленов на множители:

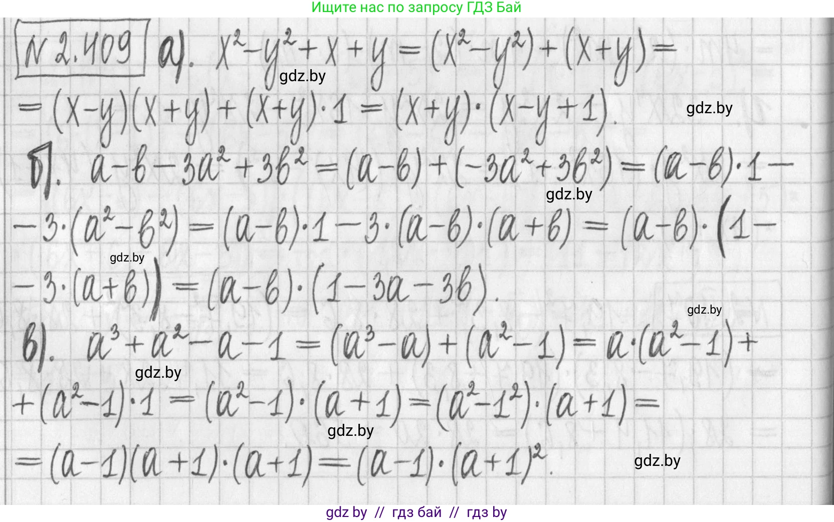
а) $x^2 - y^2 + x + y$

Для разложения данного многочлена используем метод группировки и формулу разности квадратов.
Сгруппируем первые два слагаемых и последние два слагаемых:
$(x^2 - y^2) + (x + y)$
Применим формулу разности квадратов $a^2 - b^2 = (a - b)(a + b)$ к первой группе:
$(x - y)(x + y) + (x + y)$
Теперь мы видим общий множитель $(x + y)$, который можно вынести за скобки:
$(x + y)((x - y) + 1)$
Упростим выражение во второй скобке:
$(x + y)(x - y + 1)$

Ответ: $(x + y)(x - y + 1)$


б) $a - b - 3a^2 + 3b^2$

Сгруппируем слагаемые для вынесения общего множителя:
$(a - b) + (-3a^2 + 3b^2)$
Вынесем $-3$ из второй группы, чтобы получить разность квадратов:
$(a - b) - 3(a^2 - b^2)$
Применим формулу разности квадратов $a^2 - b^2 = (a - b)(a + b)$:
$(a - b) - 3(a - b)(a + b)$
Теперь вынесем общий множитель $(a - b)$ за скобки:
$(a - b)(1 - 3(a + b))$
Раскроем скобки во втором множителе:
$(a - b)(1 - 3a - 3b)$

Ответ: $(a - b)(1 - 3a - 3b)$


в) $a^3 + a^2 - a - 1$

Используем метод группировки попарно:
$(a^3 + a^2) - (a + 1)$
Вынесем общий множитель из каждой группы. Из первой группы выносим $a^2$:
$a^2(a + 1) - 1(a + 1)$
Теперь вынесем общий множитель $(a + 1)$ за скобки:
$(a + 1)(a^2 - 1)$
Второй множитель $(a^2 - 1)$ является разностью квадратов. Применим формулу $a^2 - b^2 = (a - b)(a + b)$:
$(a + 1)(a - 1)(a + 1)$
Объединим одинаковые множители:
$(a - 1)(a + 1)^2$

Ответ: $(a - 1)(a + 1)^2$


г) $xy - zy - x^2 + 2xz - z^2$

Сгруппируем слагаемые. Первые два слагаемых имеют общий множитель $y$. Последние три слагаемых представляют собой формулу квадрата разности, если вынести знак минус.
$(xy - zy) - (x^2 - 2xz + z^2)$
Вынесем $y$ из первой группы и применим формулу квадрата разности $(a-b)^2 = a^2 - 2ab + b^2$ ко второй группе:
$y(x - z) - (x - z)^2$
Теперь вынесем общий множитель $(x - z)$ за скобки:
$(x - z)(y - (x - z))$
Раскроем внутренние скобки во втором множителе:
$(x - z)(y - x + z)$

Ответ: $(x - z)(y - x + z)$

Помогло решение? Оставьте отзыв в комментариях ниже.

Присоединяйтесь к Телеграм-группе @gdz_by_belarus

Присоединиться

Мы подготовили для вас ответ c подробным объяснением домашего задания по алгебре за 7 класс, для упражнения номер 2.409 расположенного на странице 137 к учебнику 2022 года издания для учащихся школ и гимназий.

Теперь на нашем сайте ГДЗ.ТОП вы всегда легко и бесплатно найдёте условие с правильным ответом на вопрос «Как решить ДЗ» и «Как сделать» задание по алгебре к упражнению №2.409 (с. 137), авторов: Арефьева (Ирина Глебовна), Пирютко (Ольга Николаевна), учебного пособия издательства Народная асвета.