Номер 2.411, страница 137 - гдз по алгебре 7 класс учебник Арефьева, Пирютко

Алгебра, 7 класс Учебник, авторы: Арефьева Ирина Глебовна, Пирютко Ольга Николаевна, издательство Народная асвета, Минск, 2022, зелёного цвета

Авторы: Арефьева И. Г., Пирютко О. Н.

Тип: Учебник

Издательство: Народная асвета

Год издания: 2022 - 2025

Цвет обложки: зелёный с графиком

ISBN: ISBN 978-985-03-3770-2

Допущено Министерством образования Республики Беларусь

Популярные ГДЗ в 7 классе

Глава 2. Выражения и их преобразования. Параграф 14. Разложение многочлена на множители - номер 2.411, страница 137.

№2.411 (с. 137)
Условие. №2.411 (с. 137)
скриншот условия
Алгебра, 7 класс Учебник, авторы: Арефьева Ирина Глебовна, Пирютко Ольга Николаевна, издательство Народная асвета, Минск, 2022, зелёного цвета, страница 137, номер 2.411, Условие

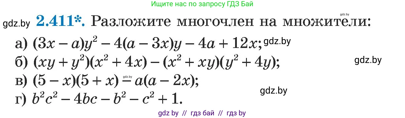
2.411*. Разложите многочлен на множители:

a) $(3x - a)y^2 - 4(a - 3x)y - 4a + 12x;$

б) $(xy + y^2)(x^2 + 4x) - (x^2 + xy)(y^2 + 4y);$

в) $(5 - x)(5 + x) - a(a - 2x);$

г) $b^2 c^2 - 4bc - b^2 - c^2 + 1.$

Решение. №2.411 (с. 137)
Алгебра, 7 класс Учебник, авторы: Арефьева Ирина Глебовна, Пирютко Ольга Николаевна, издательство Народная асвета, Минск, 2022, зелёного цвета, страница 137, номер 2.411, Решение Алгебра, 7 класс Учебник, авторы: Арефьева Ирина Глебовна, Пирютко Ольга Николаевна, издательство Народная асвета, Минск, 2022, зелёного цвета, страница 137, номер 2.411, Решение (продолжение 2)
Решение 2. №2.411 (с. 137)

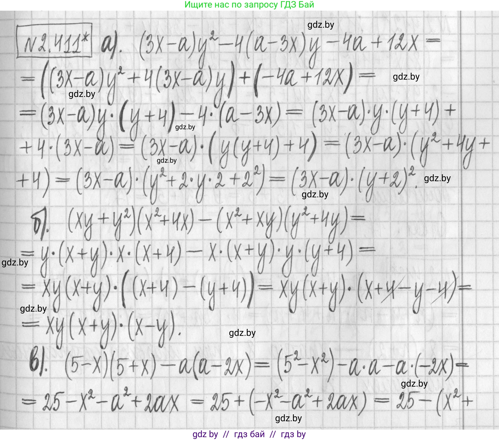
а) Разложим на множители многочлен $(3x-a)y^2 - 4(a-3x)y - 4a + 12x$.

Заметим, что выражение $(a-3x)$ является противоположным выражению $(3x-a)$, то есть $a-3x = -(3x-a)$.
Также сгруппируем последние два члена: $-4a + 12x = -4(a-3x) = 4(3x-a)$.
Подставим эти преобразования в исходное выражение: $$(3x-a)y^2 - 4(-(3x-a))y + 4(3x-a)$$ $$ (3x-a)y^2 + 4(3x-a)y + 4(3x-a) $$ Теперь мы можем вынести общий множитель $(3x-a)$ за скобки: $$ (3x-a)(y^2 + 4y + 4) $$ Выражение в скобках $y^2 + 4y + 4$ является полным квадратом суммы, так как соответствует формуле $a^2+2ab+b^2=(a+b)^2$, где $a=y$ и $b=2$. $$ y^2 + 4y + 4 = y^2 + 2 \cdot y \cdot 2 + 2^2 = (y+2)^2 $$ Таким образом, окончательное разложение на множители имеет вид: $$ (3x-a)(y+2)^2 $$ Ответ: $(3x-a)(y+2)^2$.

б) Разложим на множители многочлен $(xy+y^2)(x^2+4x) - (x^2+xy)(y^2+4y)$.

Вынесем общие множители из каждой скобки:

  • $xy+y^2 = y(x+y)$
  • $x^2+4x = x(x+4)$
  • $x^2+xy = x(x+y)$
  • $y^2+4y = y(y+4)$

Подставим это в исходное выражение: $$ y(x+y) \cdot x(x+4) - x(x+y) \cdot y(y+4) $$ Перегруппируем множители для наглядности: $$ xy(x+y)(x+4) - xy(x+y)(y+4) $$ Теперь вынесем общий множитель $xy(x+y)$ за скобки: $$ xy(x+y) \big( (x+4) - (y+4) \big) $$ Упростим выражение во второй скобке: $$ (x+4) - (y+4) = x+4-y-4 = x-y $$ Получаем итоговое разложение: $$ xy(x+y)(x-y) $$ Ответ: $xy(x+y)(x-y)$.

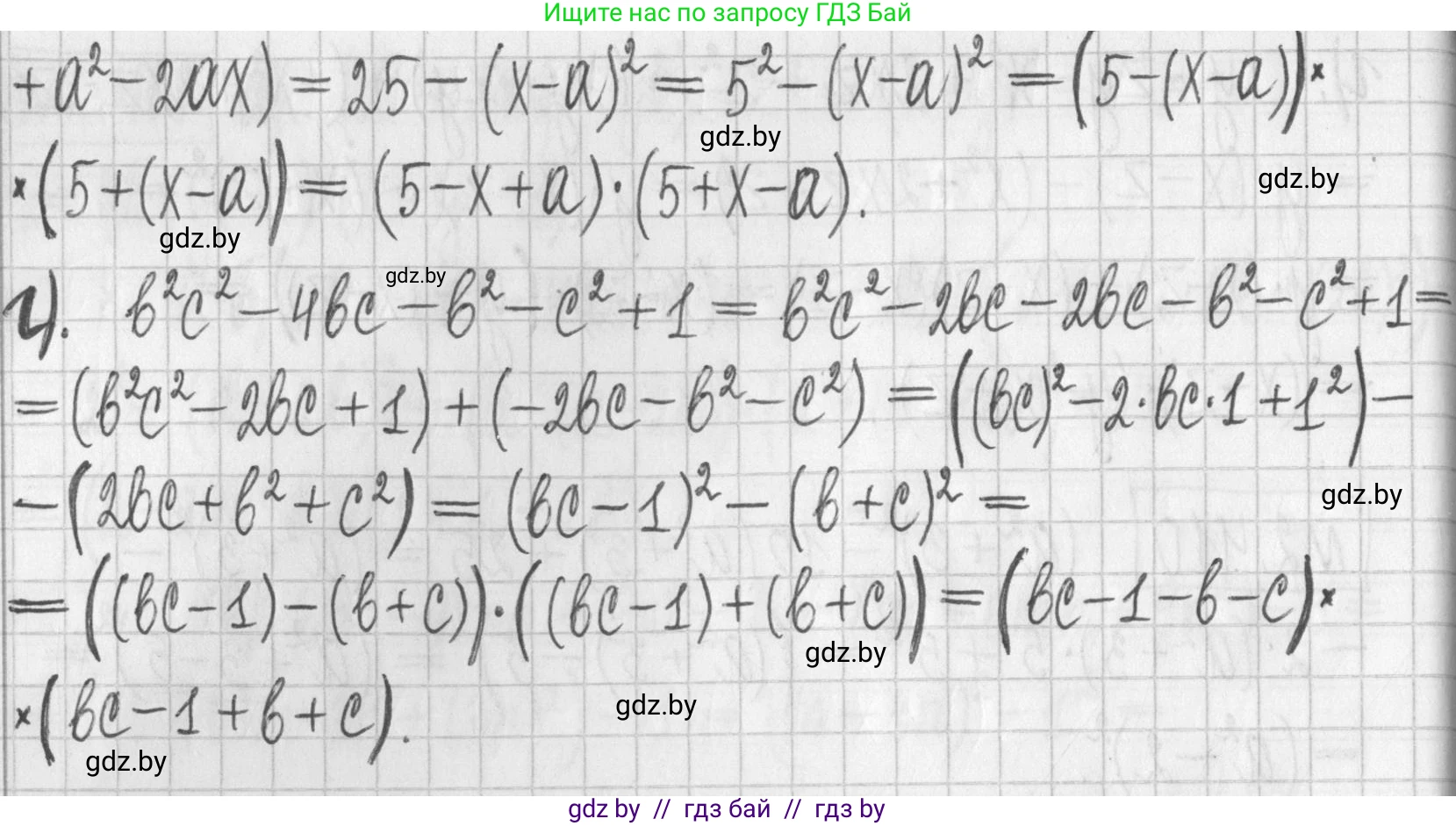
в) Разложим на множители многочлен $(5-x)(5+x) - a(a-2x)$.

Применим формулу разности квадратов $(a-b)(a+b)=a^2-b^2$ к первому члену и раскроем скобки во втором члене: $$ (5-x)(5+x) = 5^2 - x^2 = 25 - x^2 $$ $$ -a(a-2x) = -a^2 + 2ax $$ Теперь исходное выражение выглядит так: $$ 25 - x^2 - a^2 + 2ax $$ Сгруппируем члены, содержащие $x$ и $a$, и вынесем знак минус за скобки: $$ 25 - (x^2 - 2ax + a^2) $$ Выражение в скобках $x^2 - 2ax + a^2$ является полным квадратом разности $(x-a)^2$. $$ 25 - (x-a)^2 $$ Теперь у нас есть разность квадратов, где $A=5$ и $B=(x-a)$. Применим формулу $A^2-B^2 = (A-B)(A+B)$: $$ (5 - (x-a))(5 + (x-a)) $$ Раскроем внутренние скобки: $$ (5 - x + a)(5 + x - a) $$ Ответ: $(5-x+a)(5+x-a)$.

г) Разложим на множители многочлен $b^2c^2 - 4bc - b^2 - c^2 + 1$.

Для разложения этого многочлена применим метод группировки и выделения полных квадратов. Переставим члены и представим $-4bc$ как $-2bc - 2bc$: $$ b^2c^2 - 2bc + 1 - b^2 - 2bc - c^2 $$ Сгруппируем члены следующим образом: $$ (b^2c^2 - 2bc + 1) - (b^2 + 2bc + c^2) $$ Каждая из групп является полным квадратом:

  • $b^2c^2 - 2bc + 1 = (bc)^2 - 2(bc)(1) + 1^2 = (bc-1)^2$
  • $b^2 + 2bc + c^2 = (b+c)^2$

Подставим квадраты обратно в выражение: $$ (bc-1)^2 - (b+c)^2 $$ Теперь мы получили разность квадратов вида $A^2 - B^2$, где $A = (bc-1)$ и $B = (b+c)$. Применим формулу разности квадратов $(A-B)(A+B)$: $$ \big( (bc-1) - (b+c) \big) \big( (bc-1) + (b+c) \big) $$ Раскроем внутренние скобки, чтобы получить окончательный вид множителей: $$ (bc - 1 - b - c)(bc - 1 + b + c) $$ Ответ: $(bc-b-c-1)(bc+b+c-1)$.

Помогло решение? Оставьте отзыв в комментариях ниже.

Присоединяйтесь к Телеграм-группе @gdz_by_belarus

Присоединиться

Мы подготовили для вас ответ c подробным объяснением домашего задания по алгебре за 7 класс, для упражнения номер 2.411 расположенного на странице 137 к учебнику 2022 года издания для учащихся школ и гимназий.

Теперь на нашем сайте ГДЗ.ТОП вы всегда легко и бесплатно найдёте условие с правильным ответом на вопрос «Как решить ДЗ» и «Как сделать» задание по алгебре к упражнению №2.411 (с. 137), авторов: Арефьева (Ирина Глебовна), Пирютко (Ольга Николаевна), учебного пособия издательства Народная асвета.