Номер 3.45, страница 157 - гдз по алгебре 7 класс учебник Арефьева, Пирютко

Алгебра, 7 класс Учебник, авторы: Арефьева Ирина Глебовна, Пирютко Ольга Николаевна, издательство Народная асвета, Минск, 2022, зелёного цвета

Авторы: Арефьева И. Г., Пирютко О. Н.

Тип: Учебник

Издательство: Народная асвета

Год издания: 2022 - 2025

Цвет обложки: зелёный с графиком

ISBN: ISBN 978-985-03-3770-2

Допущено Министерством образования Республики Беларусь

Популярные ГДЗ в 7 классе

Глава 3. Линейные уравнения. Линейные неравенства. Линейная функция. Параграф 15. Линейные уравнения с одной переменной - номер 3.45, страница 157.

№3.45 (с. 157)
Условие. №3.45 (с. 157)
скриншот условия
Алгебра, 7 класс Учебник, авторы: Арефьева Ирина Глебовна, Пирютко Ольга Николаевна, издательство Народная асвета, Минск, 2022, зелёного цвета, страница 157, номер 3.45, Условие

3.45. Найдите, при каком значении переменной:

а) значение выражения $17x-2$ на 9 меньше значения выражения $18x+5$;

б) разность значений выражений $\frac{2}{3}x-4$ и $\frac{1}{2}x-3$ равна 1.

Решение. №3.45 (с. 157)
Алгебра, 7 класс Учебник, авторы: Арефьева Ирина Глебовна, Пирютко Ольга Николаевна, издательство Народная асвета, Минск, 2022, зелёного цвета, страница 157, номер 3.45, Решение Алгебра, 7 класс Учебник, авторы: Арефьева Ирина Глебовна, Пирютко Ольга Николаевна, издательство Народная асвета, Минск, 2022, зелёного цвета, страница 157, номер 3.45, Решение (продолжение 2)
Решение 2. №3.45 (с. 157)

а) значение выражения $17x-2$ на 9 меньше значения выражения $18x+5$;

По условию задачи, значение выражения $17x-2$ должно быть на 9 меньше, чем значение выражения $18x+5$. Это означает, что если к значению первого выражения прибавить 9, оно станет равным значению второго выражения. Составим уравнение:

$(17x-2) + 9 = 18x+5$

Теперь решим это уравнение шаг за шагом:

1. Упростим левую часть уравнения:

$17x + 7 = 18x + 5$

2. Перенесем все слагаемые, содержащие переменную $x$, в правую часть уравнения, а числовые слагаемые — в левую. При переносе слагаемого из одной части в другую его знак меняется на противоположный.

$7 - 5 = 18x - 17x$

3. Выполним вычисления в обеих частях уравнения:

$2 = x$

Таким образом, искомое значение переменной $x$ равно 2.

Ответ: 2

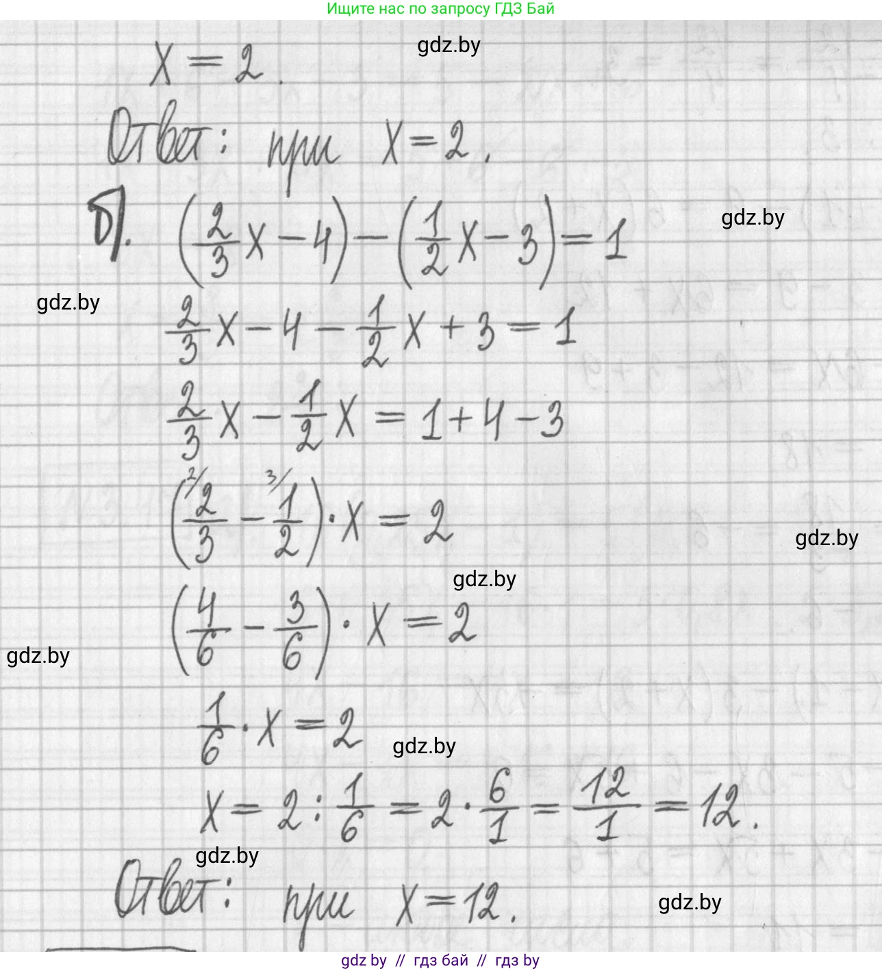
б) разность значений выражений $\frac{2}{3}x-4$ и $\frac{1}{2}x-3$ равна 1.

По условию, разность значений выражений $(\frac{2}{3}x-4)$ и $(\frac{1}{2}x-3)$ равна 1. Это означает, что если из первого выражения вычесть второе, результат будет равен 1. Составим уравнение:

$(\frac{2}{3}x-4) - (\frac{1}{2}x-3) = 1$

Решим полученное уравнение:

1. Раскроем скобки. Так как перед второй скобкой стоит знак минус, все знаки внутри нее меняются на противоположные:

$\frac{2}{3}x - 4 - \frac{1}{2}x + 3 = 1$

2. Сгруппируем слагаемые с переменной $x$ и числовые слагаемые (константы):

$(\frac{2}{3}x - \frac{1}{2}x) + (-4+3) = 1$

3. Выполним действия в каждой группе. Для вычитания дробей $\frac{2}{3}$ и $\frac{1}{2}$ приведем их к общему знаменателю 6:

$(\frac{2 \cdot 2}{3 \cdot 2}x - \frac{1 \cdot 3}{2 \cdot 3}x) - 1 = 1$

$(\frac{4}{6}x - \frac{3}{6}x) - 1 = 1$

$\frac{1}{6}x - 1 = 1$

4. Перенесем константу -1 из левой части в правую с противоположным знаком:

$\frac{1}{6}x = 1+1$

$\frac{1}{6}x = 2$

5. Чтобы найти $x$, умножим обе части уравнения на 6:

$x = 2 \cdot 6$

$x = 12$

Следовательно, искомое значение переменной $x$ равно 12.

Ответ: 12

Помогло решение? Оставьте отзыв в комментариях ниже.

Присоединяйтесь к Телеграм-группе @gdz_by_belarus

Присоединиться

Мы подготовили для вас ответ c подробным объяснением домашего задания по алгебре за 7 класс, для упражнения номер 3.45 расположенного на странице 157 к учебнику 2022 года издания для учащихся школ и гимназий.

Теперь на нашем сайте ГДЗ.ТОП вы всегда легко и бесплатно найдёте условие с правильным ответом на вопрос «Как решить ДЗ» и «Как сделать» задание по алгебре к упражнению №3.45 (с. 157), авторов: Арефьева (Ирина Глебовна), Пирютко (Ольга Николаевна), учебного пособия издательства Народная асвета.