Номер 1.229, страница 61 - гдз по алгебре 8 класс учебник Арефьева, Пирютко

Алгебра, 8 класс Учебник, авторы: Арефьева Ирина Глебовна, Пирютко Ольга Николаевна, издательство Адукацыя i выхаванне, Минск, 2024, бирюзового цвета

Авторы: Арефьева И. Г., Пирютко О. Н.

Тип: Учебник

Издательство: Адукацыя i выхаванне

Год издания: 2024 - 2025

Цвет обложки: бирюзовый с графиком

ISBN: ISBN 978-985-03-4081-8

Допущено Министерством образования Республики Беларусь

Популярные ГДЗ в 8 классе

Глава 1. Квадратные корни и их свойства. Действительные числа. Параграф 4. Применение свойств квадратных корней - номер 1.229, страница 61.

№1.229 (с. 61)
Условие. №1.229 (с. 61)
скриншот условия
Алгебра, 8 класс Учебник, авторы: Арефьева Ирина Глебовна, Пирютко Ольга Николаевна, издательство Адукацыя i выхаванне, Минск, 2024, бирюзового цвета, страница 61, номер 1.229, Условие

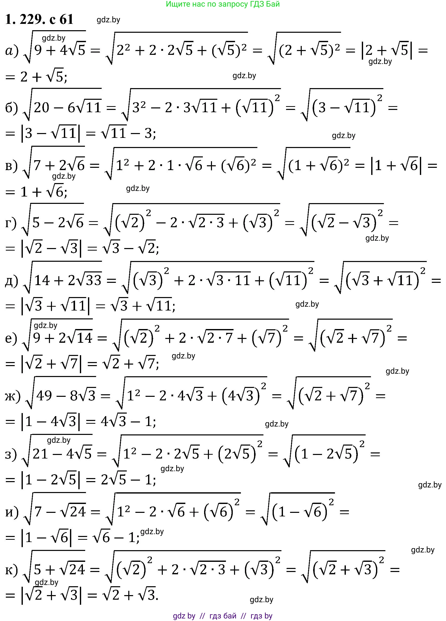
1.229. Упростите выражение:

а) $\sqrt{9+4\sqrt{5}}$;

б) $\sqrt{20-6\sqrt{11}}$;

в) $\sqrt{7+2\sqrt{6}}$;

г) $\sqrt{5-2\sqrt{6}}$;

д) $\sqrt{14+2\sqrt{33}}$;

е) $\sqrt{9+2\sqrt{14}}$;

ж) $\sqrt{49-8\sqrt{3}}$;

з) $\sqrt{21-4\sqrt{5}}$;

и) $\sqrt{7-\sqrt{24}}$;

к) $\sqrt{5+\sqrt{24}}$.

Решение. №1.229 (с. 61)
Алгебра, 8 класс Учебник, авторы: Арефьева Ирина Глебовна, Пирютко Ольга Николаевна, издательство Адукацыя i выхаванне, Минск, 2024, бирюзового цвета, страница 61, номер 1.229, Решение
Решение 2. №1.229 (с. 61)

а) Чтобы упростить выражение $\sqrt{9 + 4\sqrt{5}}$, представим подкоренное выражение в виде полного квадрата суммы $(a+b)^2 = a^2 + 2ab + b^2$. Для этого воспользуемся формулой для извлечения корня из сложного радикала: $\sqrt{A \pm 2\sqrt{B}} = \sqrt{x} \pm \sqrt{y}$, при условии, что $x+y=A$ и $xy=B$.
Сначала преобразуем выражение к нужному виду:
$\sqrt{9 + 4\sqrt{5}} = \sqrt{9 + 2 \cdot 2\sqrt{5}} = \sqrt{9 + 2\sqrt{4 \cdot 5}} = \sqrt{9 + 2\sqrt{20}}$
Здесь $A=9$ и $B=20$. Нам нужно найти два числа $x$ и $y$, такие что их сумма $x+y=9$ и произведение $xy=20$.
Подбором находим, что эти числа — 5 и 4 ($5+4=9$ и $5 \cdot 4=20$).
Следовательно, подкоренное выражение можно записать как:
$9 + 2\sqrt{20} = (5+4) + 2\sqrt{5 \cdot 4} = (\sqrt{5})^2 + (\sqrt{4})^2 + 2\sqrt{5}\sqrt{4} = (\sqrt{5} + \sqrt{4})^2 = (2 + \sqrt{5})^2$
Тогда исходное выражение равно:
$\sqrt{(2 + \sqrt{5})^2} = |2 + \sqrt{5}| = 2 + \sqrt{5}$
Ответ: 2 + $\sqrt{5}$

б) Упростим выражение $\sqrt{20 - 6\sqrt{11}}$, представив подкоренное выражение в виде полного квадрата разности $(a-b)^2 = a^2 - 2ab + b^2$.
Приведем выражение к виду $\sqrt{A - 2\sqrt{B}}$:
$\sqrt{20 - 6\sqrt{11}} = \sqrt{20 - 2 \cdot 3\sqrt{11}} = \sqrt{20 - 2\sqrt{9 \cdot 11}} = \sqrt{20 - 2\sqrt{99}}$
Здесь $A=20$ и $B=99$. Ищем два числа $x$ и $y$, для которых $x+y=20$ и $xy=99$.
Этими числами являются 11 и 9 ($11+9=20$ и $11 \cdot 9=99$).
Следовательно:
$20 - 2\sqrt{99} = (11+9) - 2\sqrt{11 \cdot 9} = (\sqrt{11})^2 + (\sqrt{9})^2 - 2\sqrt{11}\sqrt{9} = (\sqrt{11} - \sqrt{9})^2 = (\sqrt{11} - 3)^2$
Извлекаем корень:
$\sqrt{(\sqrt{11} - 3)^2} = |\sqrt{11} - 3|$
Так как $\sqrt{11} \approx 3.32 > 3$, выражение $\sqrt{11} - 3$ положительно.
Ответ: $\sqrt{11}$ - 3

в) Упростим выражение $\sqrt{7 + 2\sqrt{6}}$. Оно уже имеет вид $\sqrt{A + 2\sqrt{B}}$.
Здесь $A=7$ и $B=6$. Ищем числа $x$ и $y$, такие что $x+y=7$ и $xy=6$.
Это числа 6 и 1 ($6+1=7$ и $6 \cdot 1=6$).
Следовательно:
$7 + 2\sqrt{6} = (6+1) + 2\sqrt{6 \cdot 1} = (\sqrt{6} + \sqrt{1})^2 = (\sqrt{6} + 1)^2$
Извлекаем корень:
$\sqrt{(\sqrt{6} + 1)^2} = |\sqrt{6} + 1| = \sqrt{6} + 1$
Ответ: 1 + $\sqrt{6}$

г) Упростим выражение $\sqrt{5 - 2\sqrt{6}}$. Оно имеет вид $\sqrt{A - 2\sqrt{B}}$.
Здесь $A=5$ и $B=6$. Ищем числа $x$ и $y$, такие что $x+y=5$ и $xy=6$.
Это числа 3 и 2 ($3+2=5$ и $3 \cdot 2=6$).
Следовательно:
$5 - 2\sqrt{6} = (3+2) - 2\sqrt{3 \cdot 2} = (\sqrt{3} - \sqrt{2})^2$
Извлекаем корень:
$\sqrt{(\sqrt{3} - \sqrt{2})^2} = |\sqrt{3} - \sqrt{2}|$
Так как $\sqrt{3} > \sqrt{2}$, выражение $\sqrt{3} - \sqrt{2}$ положительно.
Ответ: $\sqrt{3} - \sqrt{2}$

д) Упростим выражение $\sqrt{14 + 2\sqrt{33}}$. Вид $\sqrt{A + 2\sqrt{B}}$.
Здесь $A=14$ и $B=33$. Ищем числа $x$ и $y$, такие что $x+y=14$ и $xy=33$.
Это числа 11 и 3 ($11+3=14$ и $11 \cdot 3=33$).
Следовательно:
$14 + 2\sqrt{33} = (11+3) + 2\sqrt{11 \cdot 3} = (\sqrt{11} + \sqrt{3})^2$
Извлекаем корень:
$\sqrt{(\sqrt{11} + \sqrt{3})^2} = |\sqrt{11} + \sqrt{3}| = \sqrt{11} + \sqrt{3}$
Ответ: $\sqrt{11} + \sqrt{3}$

е) Упростим выражение $\sqrt{9 + 2\sqrt{14}}$. Вид $\sqrt{A + 2\sqrt{B}}$.
Здесь $A=9$ и $B=14$. Ищем числа $x$ и $y$, такие что $x+y=9$ и $xy=14$.
Это числа 7 и 2 ($7+2=9$ и $7 \cdot 2=14$).
Следовательно:
$9 + 2\sqrt{14} = (7+2) + 2\sqrt{7 \cdot 2} = (\sqrt{7} + \sqrt{2})^2$
Извлекаем корень:
$\sqrt{(\sqrt{7} + \sqrt{2})^2} = |\sqrt{7} + \sqrt{2}| = \sqrt{7} + \sqrt{2}$
Ответ: $\sqrt{7} + \sqrt{2}$

ж) Упростим выражение $\sqrt{49 - 8\sqrt{3}}$.
Приведем к виду $\sqrt{A - 2\sqrt{B}}$:
$\sqrt{49 - 8\sqrt{3}} = \sqrt{49 - 2 \cdot 4\sqrt{3}} = \sqrt{49 - 2\sqrt{16 \cdot 3}} = \sqrt{49 - 2\sqrt{48}}$
Здесь $A=49$ и $B=48$. Ищем числа $x$ и $y$: $x+y=49$, $xy=48$.
Это числа 48 и 1 ($48+1=49$ и $48 \cdot 1=48$).
Следовательно:
$49 - 2\sqrt{48} = (48+1) - 2\sqrt{48 \cdot 1} = (\sqrt{48} - \sqrt{1})^2 = (4\sqrt{3} - 1)^2$
Извлекаем корень:
$\sqrt{(4\sqrt{3} - 1)^2} = |4\sqrt{3} - 1|$
Так как $4\sqrt{3} = \sqrt{48} > 1$, выражение $4\sqrt{3} - 1$ положительно.
Ответ: $4\sqrt{3}$ - 1

з) Упростим выражение $\sqrt{21 - 4\sqrt{5}}$.
Приведем к виду $\sqrt{A - 2\sqrt{B}}$:
$\sqrt{21 - 4\sqrt{5}} = \sqrt{21 - 2 \cdot 2\sqrt{5}} = \sqrt{21 - 2\sqrt{4 \cdot 5}} = \sqrt{21 - 2\sqrt{20}}$
Здесь $A=21$ и $B=20$. Ищем числа $x$ и $y$: $x+y=21$, $xy=20$.
Это числа 20 и 1 ($20+1=21$ и $20 \cdot 1=20$).
Следовательно:
$21 - 2\sqrt{20} = (20+1) - 2\sqrt{20 \cdot 1} = (\sqrt{20} - \sqrt{1})^2 = (2\sqrt{5} - 1)^2$
Извлекаем корень:
$\sqrt{(2\sqrt{5} - 1)^2} = |2\sqrt{5} - 1|$
Так как $2\sqrt{5} = \sqrt{20} > 1$, выражение $2\sqrt{5} - 1$ положительно.
Ответ: $2\sqrt{5}$ - 1

и) Упростим выражение $\sqrt{7 - \sqrt{24}}$.
Приведем к виду $\sqrt{A - 2\sqrt{B}}$:
$\sqrt{7 - \sqrt{24}} = \sqrt{7 - \sqrt{4 \cdot 6}} = \sqrt{7 - 2\sqrt{6}}$
Здесь $A=7$ и $B=6$. Ищем числа $x$ и $y$: $x+y=7$, $xy=6$.
Это числа 6 и 1 ($6+1=7$ и $6 \cdot 1=6$).
Следовательно:
$7 - 2\sqrt{6} = (6+1) - 2\sqrt{6 \cdot 1} = (\sqrt{6} - \sqrt{1})^2 = (\sqrt{6} - 1)^2$
Извлекаем корень:
$\sqrt{(\sqrt{6} - 1)^2} = |\sqrt{6} - 1|$
Так как $\sqrt{6} > 1$, выражение $\sqrt{6} - 1$ положительно.
Ответ: $\sqrt{6}$ - 1

к) Упростим выражение $\sqrt{5 + \sqrt{24}}$.
Приведем к виду $\sqrt{A + 2\sqrt{B}}$:
$\sqrt{5 + \sqrt{24}} = \sqrt{5 + \sqrt{4 \cdot 6}} = \sqrt{5 + 2\sqrt{6}}$
Здесь $A=5$ и $B=6$. Ищем числа $x$ и $y$: $x+y=5$, $xy=6$.
Это числа 3 и 2 ($3+2=5$ и $3 \cdot 2=6$).
Следовательно:
$5 + 2\sqrt{6} = (3+2) + 2\sqrt{3 \cdot 2} = (\sqrt{3} + \sqrt{2})^2$
Извлекаем корень:
$\sqrt{(\sqrt{3} + \sqrt{2})^2} = |\sqrt{3} + \sqrt{2}| = \sqrt{3} + \sqrt{2}$
Ответ: $\sqrt{3} + \sqrt{2}$

Помогло решение? Оставьте отзыв в комментариях ниже.

Присоединяйтесь к Телеграм-группе @gdz_by_belarus

Присоединиться

Мы подготовили для вас ответ c подробным объяснением домашего задания по алгебре за 8 класс, для упражнения номер 1.229 расположенного на странице 61 к учебнику 2024 года издания для учащихся школ и гимназий.

Теперь на нашем сайте ГДЗ.ТОП вы всегда легко и бесплатно найдёте условие с правильным ответом на вопрос «Как решить ДЗ» и «Как сделать» задание по алгебре к упражнению №1.229 (с. 61), авторов: Арефьева (Ирина Глебовна), Пирютко (Ольга Николаевна), учебного пособия издательства Адукацыя i выхаванне.