Номер 1.228, страница 60 - гдз по алгебре 8 класс учебник Арефьева, Пирютко

Алгебра, 8 класс Учебник, авторы: Арефьева Ирина Глебовна, Пирютко Ольга Николаевна, издательство Адукацыя i выхаванне, Минск, 2024, бирюзового цвета

Авторы: Арефьева И. Г., Пирютко О. Н.

Тип: Учебник

Издательство: Адукацыя i выхаванне

Год издания: 2024 - 2025

Цвет обложки: бирюзовый с графиком

ISBN: ISBN 978-985-03-4081-8

Допущено Министерством образования Республики Беларусь

Популярные ГДЗ в 8 классе

Глава 1. Квадратные корни и их свойства. Действительные числа. Параграф 4. Применение свойств квадратных корней - номер 1.228, страница 60.

№1.228 (с. 60)
Условие. №1.228 (с. 60)
скриншот условия
Алгебра, 8 класс Учебник, авторы: Арефьева Ирина Глебовна, Пирютко Ольга Николаевна, издательство Адукацыя i выхаванне, Минск, 2024, бирюзового цвета, страница 60, номер 1.228, Условие

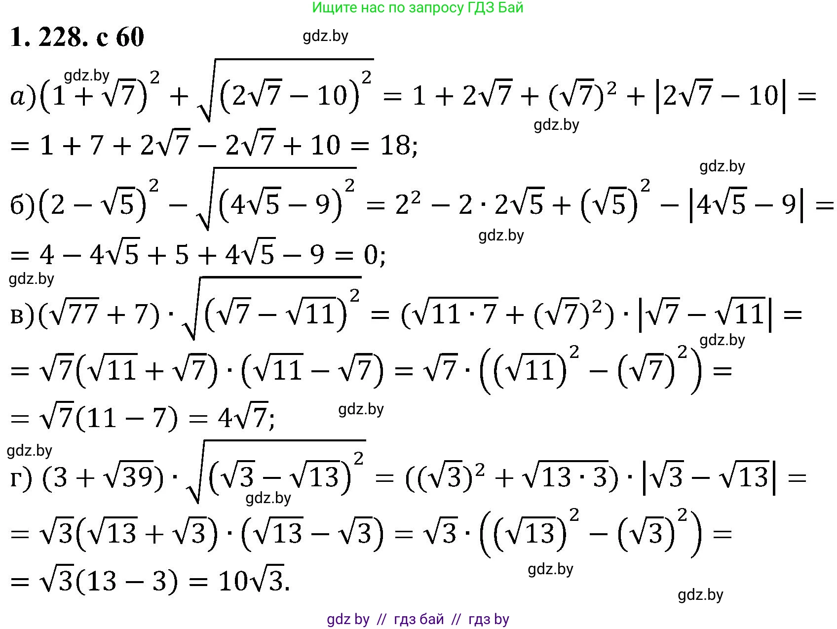
1.228. Найдите значение выражения:

а) $ (1 + \sqrt{7})^2 + \sqrt{(2\sqrt{7} - 10)^2}; $

б) $ (2 - \sqrt{5})^2 - \sqrt{(4\sqrt{5} - 9)^2}; $

в) $ (\sqrt{77} + 7) \cdot \sqrt{(\sqrt{7} - \sqrt{11})^2}; $

г) $ (3 + \sqrt{39}) \cdot \sqrt{(\sqrt{3} - \sqrt{13})^2}. $

Решение. №1.228 (с. 60)
Алгебра, 8 класс Учебник, авторы: Арефьева Ирина Глебовна, Пирютко Ольга Николаевна, издательство Адукацыя i выхаванне, Минск, 2024, бирюзового цвета, страница 60, номер 1.228, Решение
Решение 2. №1.228 (с. 60)

а) Для нахождения значения выражения $(1 + \sqrt{7})^2 + \sqrt{(2\sqrt{7} - 10)^2}$ выполним следующие шаги:

1. Раскроем квадрат суммы в первом слагаемом:
$(1 + \sqrt{7})^2 = 1^2 + 2 \cdot 1 \cdot \sqrt{7} + (\sqrt{7})^2 = 1 + 2\sqrt{7} + 7 = 8 + 2\sqrt{7}$.

2. Упростим второе слагаемое, используя свойство $\sqrt{a^2} = |a|$:
$\sqrt{(2\sqrt{7} - 10)^2} = |2\sqrt{7} - 10|$.

3. Чтобы раскрыть модуль, определим знак выражения под ним. Сравним $2\sqrt{7}$ и $10$, возведя их в квадрат: $(2\sqrt{7})^2 = 4 \cdot 7 = 28$ и $10^2 = 100$. Так как $28 < 100$, то $2\sqrt{7} < 10$, и, следовательно, выражение $2\sqrt{7} - 10$ отрицательно.
Значит, $|2\sqrt{7} - 10| = -(2\sqrt{7} - 10) = 10 - 2\sqrt{7}$.

4. Сложим полученные результаты:
$(8 + 2\sqrt{7}) + (10 - 2\sqrt{7}) = 8 + 2\sqrt{7} + 10 - 2\sqrt{7} = 18$.

Ответ: 18

б) Для нахождения значения выражения $(2 - \sqrt{5})^2 - \sqrt{(4\sqrt{5} - 9)^2}$ выполним следующие шаги:

1. Раскроем квадрат разности в первом слагаемом:
$(2 - \sqrt{5})^2 = 2^2 - 2 \cdot 2 \cdot \sqrt{5} + (\sqrt{5})^2 = 4 - 4\sqrt{5} + 5 = 9 - 4\sqrt{5}$.

2. Упростим вычитаемое, используя свойство $\sqrt{a^2} = |a|$:
$\sqrt{(4\sqrt{5} - 9)^2} = |4\sqrt{5} - 9|$.

3. Чтобы раскрыть модуль, определим знак выражения под ним. Сравним $4\sqrt{5}$ и $9$, возведя их в квадрат: $(4\sqrt{5})^2 = 16 \cdot 5 = 80$ и $9^2 = 81$. Так как $80 < 81$, то $4\sqrt{5} < 9$, и, следовательно, выражение $4\sqrt{5} - 9$ отрицательно.
Значит, $|4\sqrt{5} - 9| = -(4\sqrt{5} - 9) = 9 - 4\sqrt{5}$.

4. Выполним вычитание:
$(9 - 4\sqrt{5}) - (9 - 4\sqrt{5}) = 9 - 4\sqrt{5} - 9 + 4\sqrt{5} = 0$.

Ответ: 0

в) Для нахождения значения выражения $(\sqrt{77} + 7) \cdot \sqrt{(\sqrt{7} - \sqrt{11})^2}$ выполним следующие шаги:

1. Упростим второй множитель, используя свойство $\sqrt{a^2} = |a|$:
$\sqrt{(\sqrt{7} - \sqrt{11})^2} = |\sqrt{7} - \sqrt{11}|$.

2. Так как $7 < 11$, то $\sqrt{7} < \sqrt{11}$, и выражение $\sqrt{7} - \sqrt{11}$ отрицательно.
Значит, $|\sqrt{7} - \sqrt{11}| = -(\sqrt{7} - \sqrt{11}) = \sqrt{11} - \sqrt{7}$.

3. Преобразуем первый множитель, вынеся общий множитель $\sqrt{7}$ за скобки:
$\sqrt{77} + 7 = \sqrt{7 \cdot 11} + (\sqrt{7})^2 = \sqrt{7}\sqrt{11} + \sqrt{7}\sqrt{7} = \sqrt{7}(\sqrt{11} + \sqrt{7})$.

4. Перемножим полученные выражения:
$\sqrt{7}(\sqrt{11} + \sqrt{7}) \cdot (\sqrt{11} - \sqrt{7})$.

5. Воспользуемся формулой разности квадратов $(a+b)(a-b)=a^2-b^2$:
$\sqrt{7} \cdot ((\sqrt{11})^2 - (\sqrt{7})^2) = \sqrt{7} \cdot (11 - 7) = \sqrt{7} \cdot 4 = 4\sqrt{7}$.

Ответ: $4\sqrt{7}$

г) Для нахождения значения выражения $(3 + \sqrt{39}) \cdot \sqrt{(\sqrt{3} - \sqrt{13})^2}$ выполним следующие шаги:

1. Упростим второй множитель, используя свойство $\sqrt{a^2} = |a|$:
$\sqrt{(\sqrt{3} - \sqrt{13})^2} = |\sqrt{3} - \sqrt{13}|$.

2. Так как $3 < 13$, то $\sqrt{3} < \sqrt{13}$, и выражение $\sqrt{3} - \sqrt{13}$ отрицательно.
Значит, $|\sqrt{3} - \sqrt{13}| = -(\sqrt{3} - \sqrt{13}) = \sqrt{13} - \sqrt{3}$.

3. Преобразуем первый множитель, вынеся общий множитель $\sqrt{3}$ за скобки:
$3 + \sqrt{39} = (\sqrt{3})^2 + \sqrt{3 \cdot 13} = \sqrt{3}\sqrt{3} + \sqrt{3}\sqrt{13} = \sqrt{3}(\sqrt{3} + \sqrt{13})$.

4. Перемножим полученные выражения:
$\sqrt{3}(\sqrt{3} + \sqrt{13}) \cdot (\sqrt{13} - \sqrt{3}) = \sqrt{3}(\sqrt{13} + \sqrt{3}) \cdot (\sqrt{13} - \sqrt{3})$.

5. Воспользуемся формулой разности квадратов $(a+b)(a-b)=a^2-b^2$:
$\sqrt{3} \cdot ((\sqrt{13})^2 - (\sqrt{3})^2) = \sqrt{3} \cdot (13 - 3) = \sqrt{3} \cdot 10 = 10\sqrt{3}$.

Ответ: $10\sqrt{3}$

Помогло решение? Оставьте отзыв в комментариях ниже.

Присоединяйтесь к Телеграм-группе @gdz_by_belarus

Присоединиться

Мы подготовили для вас ответ c подробным объяснением домашего задания по алгебре за 8 класс, для упражнения номер 1.228 расположенного на странице 60 к учебнику 2024 года издания для учащихся школ и гимназий.

Теперь на нашем сайте ГДЗ.ТОП вы всегда легко и бесплатно найдёте условие с правильным ответом на вопрос «Как решить ДЗ» и «Как сделать» задание по алгебре к упражнению №1.228 (с. 60), авторов: Арефьева (Ирина Глебовна), Пирютко (Ольга Николаевна), учебного пособия издательства Адукацыя i выхаванне.