Номер 2.50, страница 112 - гдз по алгебре 8 класс учебник Арефьева, Пирютко

Алгебра, 8 класс Учебник, авторы: Арефьева Ирина Глебовна, Пирютко Ольга Николаевна, издательство Адукацыя i выхаванне, Минск, 2024, бирюзового цвета

Авторы: Арефьева И. Г., Пирютко О. Н.

Тип: Учебник

Издательство: Адукацыя i выхаванне

Год издания: 2024 - 2025

Цвет обложки: бирюзовый с графиком

ISBN: ISBN 978-985-03-4081-8

Допущено Министерством образования Республики Беларусь

Популярные ГДЗ в 8 классе

Глава 2. Квадратные уравнения. Параграф 8. Формулы корней квадратного уравнения - номер 2.50, страница 112.

№2.50 (с. 112)
Условие. №2.50 (с. 112)
скриншот условия
Алгебра, 8 класс Учебник, авторы: Арефьева Ирина Глебовна, Пирютко Ольга Николаевна, издательство Адукацыя i выхаванне, Минск, 2024, бирюзового цвета, страница 112, номер 2.50, Условие

2.50. Выполните необходимые тождественные преобразования и решите уравнение:

а) $x(9-x) = 20;$

б) $5x(x-1) = 3-3x;$

в) $x(5-x) = 2(x-20);$

г) $(x+2)(x+6) = 5;$

д) $(3x+5)(4-x) = (x-1)(1-2x);$

е) $(4x-1)(x-1) = 2(x+6)(x-2);$

ж) $(3x+1)(x-4) - (2x-6)(x-2) = 4;$

з) $(2x-3)(x+4) - 10 = (5x-6)(x-3).$

Решение. №2.50 (с. 112)
Алгебра, 8 класс Учебник, авторы: Арефьева Ирина Глебовна, Пирютко Ольга Николаевна, издательство Адукацыя i выхаванне, Минск, 2024, бирюзового цвета, страница 112, номер 2.50, Решение Алгебра, 8 класс Учебник, авторы: Арефьева Ирина Глебовна, Пирютко Ольга Николаевна, издательство Адукацыя i выхаванне, Минск, 2024, бирюзового цвета, страница 112, номер 2.50, Решение (продолжение 2) Алгебра, 8 класс Учебник, авторы: Арефьева Ирина Глебовна, Пирютко Ольга Николаевна, издательство Адукацыя i выхаванне, Минск, 2024, бирюзового цвета, страница 112, номер 2.50, Решение (продолжение 3)
Решение 2. №2.50 (с. 112)

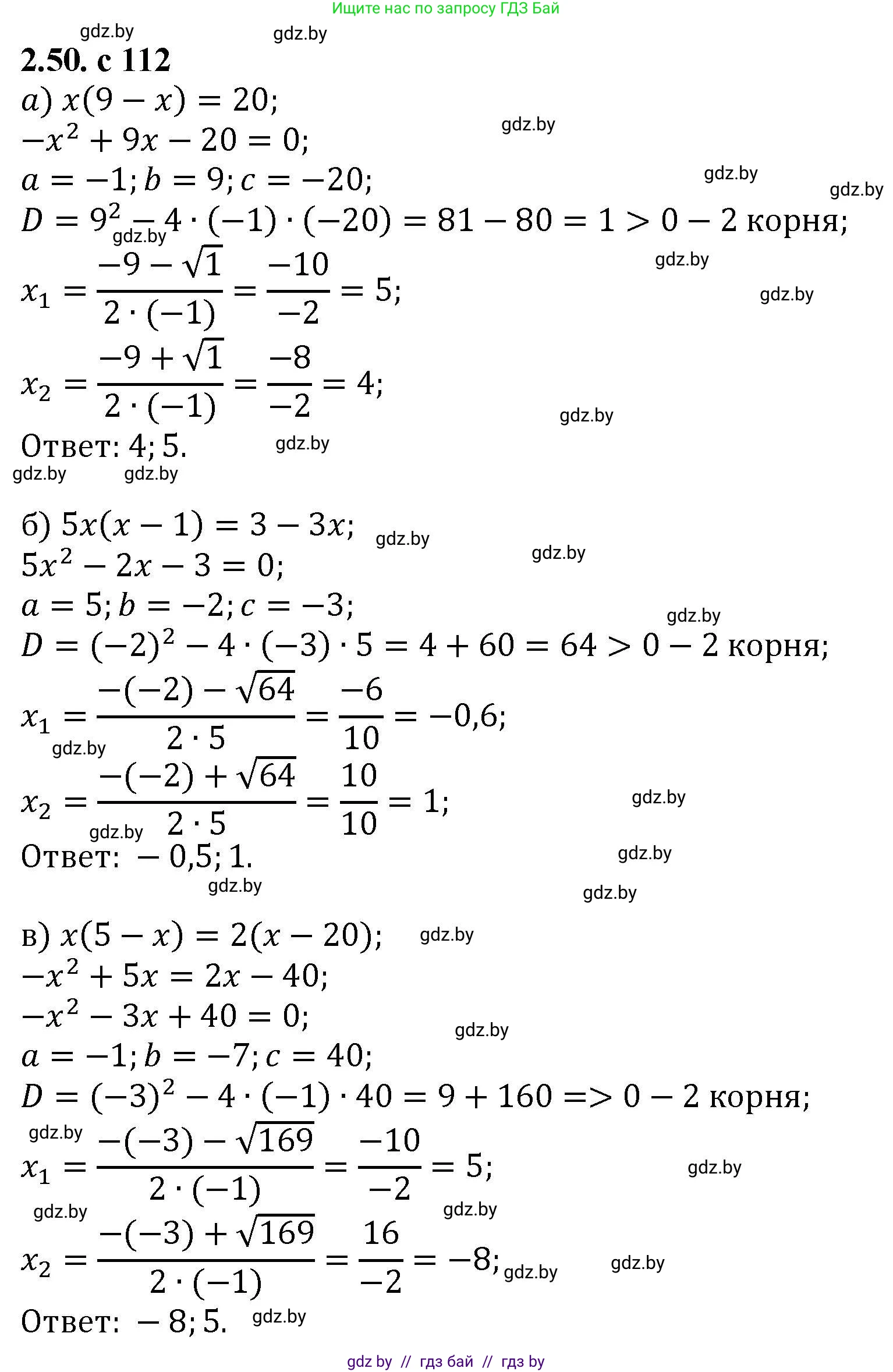
а) $x(9 - x) = 20$
Раскроем скобки:
$9x - x^2 = 20$
Перенесем все члены в одну сторону, чтобы получить стандартное квадратное уравнение:
$x^2 - 9x + 20 = 0$
Решим уравнение с помощью теоремы Виета. Сумма корней $x_1 + x_2 = 9$, произведение корней $x_1 \cdot x_2 = 20$.
Корни уравнения: $x_1 = 4$, $x_2 = 5$.
Ответ: $x_1 = 4, x_2 = 5$.

б) $5x(x - 1) = 3 - 3x$
Раскроем скобки и перенесем все члены в левую часть:
$5x^2 - 5x = 3 - 3x$
$5x^2 - 5x + 3x - 3 = 0$
$5x^2 - 2x - 3 = 0$
Решим квадратное уравнение через дискриминант $D = b^2 - 4ac$:
$D = (-2)^2 - 4 \cdot 5 \cdot (-3) = 4 + 60 = 64$
$x_{1,2} = \frac{-b \pm \sqrt{D}}{2a} = \frac{2 \pm \sqrt{64}}{2 \cdot 5} = \frac{2 \pm 8}{10}$
$x_1 = \frac{2 + 8}{10} = \frac{10}{10} = 1$
$x_2 = \frac{2 - 8}{10} = \frac{-6}{10} = -\frac{3}{5}$
Ответ: $x_1 = 1, x_2 = -\frac{3}{5}$.

в) $x(5 - x) = 2(x - 20)$
Раскроем скобки:
$5x - x^2 = 2x - 40$
Перенесем все члены в одну сторону:
$x^2 - 5x + 2x - 40 = 0$
$x^2 - 3x - 40 = 0$
По теореме Виета: $x_1 + x_2 = 3$, $x_1 \cdot x_2 = -40$.
Корни уравнения: $x_1 = 8$, $x_2 = -5$.
Ответ: $x_1 = 8, x_2 = -5$.

г) $(x + 2)(x + 6) = 5$
Раскроем скобки:
$x^2 + 6x + 2x + 12 = 5$
Приведем подобные слагаемые и перенесем константу влево:
$x^2 + 8x + 12 - 5 = 0$
$x^2 + 8x + 7 = 0$
По теореме Виета: $x_1 + x_2 = -8$, $x_1 \cdot x_2 = 7$.
Корни уравнения: $x_1 = -1$, $x_2 = -7$.
Ответ: $x_1 = -1, x_2 = -7$.

д) $(3x + 5)(4 - x) = (x - 1)(1 - 2x)$
Раскроем скобки в обеих частях уравнения:
$12x - 3x^2 + 20 - 5x = x - 2x^2 - 1 + 2x$
Приведем подобные слагаемые:
$-3x^2 + 7x + 20 = -2x^2 + 3x - 1$
Перенесем все члены в правую часть:
$0 = -2x^2 + 3x^2 + 3x - 7x - 1 - 20$
$x^2 - 4x - 21 = 0$
По теореме Виета: $x_1 + x_2 = 4$, $x_1 \cdot x_2 = -21$.
Корни уравнения: $x_1 = 7$, $x_2 = -3$.
Ответ: $x_1 = 7, x_2 = -3$.

е) $(4x - 1)(x - 1) = 2(x + 6)(x - 2)$
Раскроем скобки в обеих частях:
$4x^2 - 4x - x + 1 = 2(x^2 - 2x + 6x - 12)$
$4x^2 - 5x + 1 = 2(x^2 + 4x - 12)$
$4x^2 - 5x + 1 = 2x^2 + 8x - 24$
Перенесем все члены в левую часть:
$4x^2 - 2x^2 - 5x - 8x + 1 + 24 = 0$
$2x^2 - 13x + 25 = 0$
Найдем дискриминант:
$D = (-13)^2 - 4 \cdot 2 \cdot 25 = 169 - 200 = -31$
Так как $D < 0$, уравнение не имеет действительных корней.
Ответ: нет действительных корней.

ж) $(3x + 1)(x - 4) - (2x - 6)(x - 2) = 4$
Раскроем скобки:
$(3x^2 - 12x + x - 4) - (2x^2 - 4x - 6x + 12) = 4$
$3x^2 - 11x - 4 - (2x^2 - 10x + 12) = 4$
$3x^2 - 11x - 4 - 2x^2 + 10x - 12 = 4$
Приведем подобные слагаемые:
$x^2 - x - 16 = 4$
$x^2 - x - 20 = 0$
По теореме Виета: $x_1 + x_2 = 1$, $x_1 \cdot x_2 = -20$.
Корни уравнения: $x_1 = 5$, $x_2 = -4$.
Ответ: $x_1 = 5, x_2 = -4$.

з) $(2x - 3)(x + 4) - 10 = (5x - 6)(x - 3)$
Раскроем скобки:
$(2x^2 + 8x - 3x - 12) - 10 = 5x^2 - 15x - 6x + 18$
$2x^2 + 5x - 22 = 5x^2 - 21x + 18$
Перенесем все члены в правую часть:
$0 = 5x^2 - 2x^2 - 21x - 5x + 18 + 22$
$3x^2 - 26x + 40 = 0$
Решим через дискриминант:
$D = (-26)^2 - 4 \cdot 3 \cdot 40 = 676 - 480 = 196 = 14^2$
$x_{1,2} = \frac{26 \pm 14}{2 \cdot 3} = \frac{26 \pm 14}{6}$
$x_1 = \frac{26 + 14}{6} = \frac{40}{6} = \frac{20}{3}$
$x_2 = \frac{26 - 14}{6} = \frac{12}{6} = 2$
Ответ: $x_1 = \textbf{6}\frac{2}{3}, x_2 = 2$.

Помогло решение? Оставьте отзыв в комментариях ниже.

Присоединяйтесь к Телеграм-группе @gdz_by_belarus

Присоединиться

Мы подготовили для вас ответ c подробным объяснением домашего задания по алгебре за 8 класс, для упражнения номер 2.50 расположенного на странице 112 к учебнику 2024 года издания для учащихся школ и гимназий.

Теперь на нашем сайте ГДЗ.ТОП вы всегда легко и бесплатно найдёте условие с правильным ответом на вопрос «Как решить ДЗ» и «Как сделать» задание по алгебре к упражнению №2.50 (с. 112), авторов: Арефьева (Ирина Глебовна), Пирютко (Ольга Николаевна), учебного пособия издательства Адукацыя i выхаванне.