Номер 3.155, страница 197 - гдз по алгебре 8 класс учебник Арефьева, Пирютко

Алгебра, 8 класс Учебник, авторы: Арефьева Ирина Глебовна, Пирютко Ольга Николаевна, издательство Адукацыя i выхаванне, Минск, 2024, бирюзового цвета

Авторы: Арефьева И. Г., Пирютко О. Н.

Тип: Учебник

Издательство: Адукацыя i выхаванне

Год издания: 2024 - 2025

Цвет обложки: бирюзовый с графиком

ISBN: ISBN 978-985-03-4081-8

Допущено Министерством образования Республики Беларусь

Популярные ГДЗ в 8 классе

Глава 3. Квадратичная функция. Параграф 15. Квадратные неравенства - номер 3.155, страница 197.

№3.155 (с. 197)
Условие. №3.155 (с. 197)
скриншот условия
Алгебра, 8 класс Учебник, авторы: Арефьева Ирина Глебовна, Пирютко Ольга Николаевна, издательство Адукацыя i выхаванне, Минск, 2024, бирюзового цвета, страница 197, номер 3.155, Условие

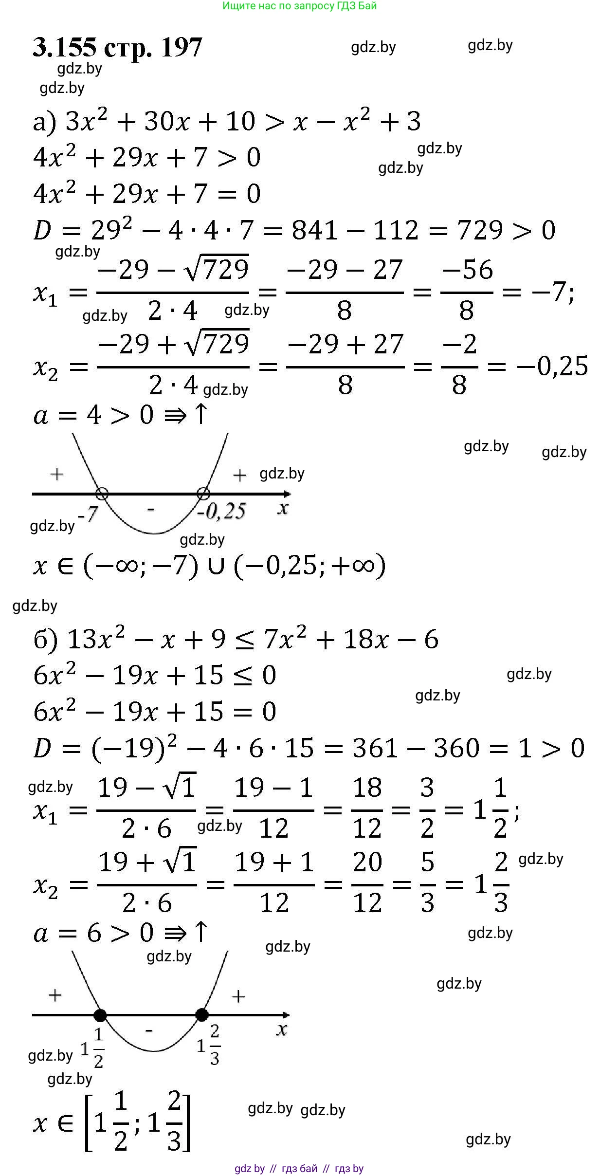
3.155. Найдите значения переменной, при которых значения выражения:

a) $3x^2 + 30x + 10$ больше значений выражения $x - x^2 + 3$;

б) $13x^2 - x + 9$ не превосходят значений выражения $7x^2 + 18x - 6$.

Решение. №3.155 (с. 197)
Алгебра, 8 класс Учебник, авторы: Арефьева Ирина Глебовна, Пирютко Ольга Николаевна, издательство Адукацыя i выхаванне, Минск, 2024, бирюзового цвета, страница 197, номер 3.155, Решение
Решение 2. №3.155 (с. 197)

а) Чтобы найти значения переменной, при которых значение выражения $3x^2 + 30x + 10$ больше значения выражения $x - x^2 + 3$, составим и решим неравенство:

$3x^2 + 30x + 10 > x - x^2 + 3$

Перенесем все члены в левую часть и приведем подобные слагаемые:

$3x^2 + x^2 + 30x - x + 10 - 3 > 0$

$4x^2 + 29x + 7 > 0$

Для решения этого квадратного неравенства найдем корни соответствующего уравнения $4x^2 + 29x + 7 = 0$.
Вычислим дискриминант:

$D = b^2 - 4ac = 29^2 - 4 \cdot 4 \cdot 7 = 841 - 112 = 729$

Так как $D = 729 = 27^2 > 0$, уравнение имеет два различных корня:

$x_1 = \frac{-b - \sqrt{D}}{2a} = \frac{-29 - 27}{2 \cdot 4} = \frac{-56}{8} = -7$

$x_2 = \frac{-b + \sqrt{D}}{2a} = \frac{-29 + 27}{2 \cdot 4} = \frac{-2}{8} = -\frac{1}{4}$

Графиком функции $y = 4x^2 + 29x + 7$ является парабола, ветви которой направлены вверх (так как коэффициент $a=4$ положителен). Следовательно, значения функции положительны, когда переменная $x$ находится за пределами корней.

Таким образом, решение неравенства: $x \in (-\infty; -7) \cup (-\frac{1}{4}; \infty)$.

Ответ: $x \in (-\infty; -7) \cup (-\frac{1}{4}; \infty)$.

б) Чтобы найти значения переменной, при которых значение выражения $13x^2 - x + 9$ не превосходит (то есть меньше или равно) значения выражения $7x^2 + 18x - 6$, составим и решим неравенство:

$13x^2 - x + 9 \le 7x^2 + 18x - 6$

Перенесем все члены в левую часть и приведем подобные слагаемые:

$13x^2 - 7x^2 - x - 18x + 9 + 6 \le 0$

$6x^2 - 19x + 15 \le 0$

Для решения этого квадратного неравенства найдем корни соответствующего уравнения $6x^2 - 19x + 15 = 0$.
Вычислим дискриминант:

$D = b^2 - 4ac = (-19)^2 - 4 \cdot 6 \cdot 15 = 361 - 360 = 1$

Так как $D = 1 = 1^2 > 0$, уравнение имеет два различных корня:

$x_1 = \frac{-b - \sqrt{D}}{2a} = \frac{19 - 1}{2 \cdot 6} = \frac{18}{12} = \frac{3}{2}$

$x_2 = \frac{-b + \sqrt{D}}{2a} = \frac{19 + 1}{2 \cdot 6} = \frac{20}{12} = \frac{5}{3}$

Графиком функции $y = 6x^2 - 19x + 15$ является парабола, ветви которой направлены вверх (так как коэффициент $a=6$ положителен). Следовательно, значения функции неположительны (меньше или равны нулю), когда переменная $x$ находится между корнями, включая сами корни.

Таким образом, решение неравенства: $\frac{3}{2} \le x \le \frac{5}{3}$.

Преобразуем неправильные дроби в смешанные числа: $\frac{3}{2} = 1\frac{1}{2}$, $\frac{5}{3} = 1\frac{2}{3}$.

Запишем ответ в виде отрезка, выделив целые части:

Ответ: $x \in [1\frac{1}{2}; 1\frac{2}{3}]$.

Помогло решение? Оставьте отзыв в комментариях ниже.

Присоединяйтесь к Телеграм-группе @gdz_by_belarus

Присоединиться

Мы подготовили для вас ответ c подробным объяснением домашего задания по алгебре за 8 класс, для упражнения номер 3.155 расположенного на странице 197 к учебнику 2024 года издания для учащихся школ и гимназий.

Теперь на нашем сайте ГДЗ.ТОП вы всегда легко и бесплатно найдёте условие с правильным ответом на вопрос «Как решить ДЗ» и «Как сделать» задание по алгебре к упражнению №3.155 (с. 197), авторов: Арефьева (Ирина Глебовна), Пирютко (Ольга Николаевна), учебного пособия издательства Адукацыя i выхаванне.