Номер 3.162, страница 198 - гдз по алгебре 8 класс учебник Арефьева, Пирютко

Алгебра, 8 класс Учебник, авторы: Арефьева Ирина Глебовна, Пирютко Ольга Николаевна, издательство Адукацыя i выхаванне, Минск, 2024, бирюзового цвета

Авторы: Арефьева И. Г., Пирютко О. Н.

Тип: Учебник

Издательство: Адукацыя i выхаванне

Год издания: 2024 - 2025

Цвет обложки: бирюзовый с графиком

ISBN: ISBN 978-985-03-4081-8

Допущено Министерством образования Республики Беларусь

Популярные ГДЗ в 8 классе

Глава 3. Квадратичная функция. Параграф 15. Квадратные неравенства - номер 3.162, страница 198.

№3.162 (с. 198)
Условие. №3.162 (с. 198)
скриншот условия
Алгебра, 8 класс Учебник, авторы: Арефьева Ирина Глебовна, Пирютко Ольга Николаевна, издательство Адукацыя i выхаванне, Минск, 2024, бирюзового цвета, страница 198, номер 3.162, Условие

3.162. Примените формулы сокращенного умножения и решите неравенство:

а) $5(x - 1)^2 \le 5 - 6x;$

б) $(x + 1)^2 - 14 > 5(1 + x);$

в) $(x - 2)^2 \ge 1 - (x - 1)^2;$

г) $(x + 2)^2 + 13x < (3x - 1)^2;$

д) $2(2x + 1) - (x - 1)(x + 1) \ge 2(x + 1)^2;$

е) $(5x + 1)^2 + (1 - 5x)(5x + 1) > 2(x^2 + 1).$

Решение. №3.162 (с. 198)
Алгебра, 8 класс Учебник, авторы: Арефьева Ирина Глебовна, Пирютко Ольга Николаевна, издательство Адукацыя i выхаванне, Минск, 2024, бирюзового цвета, страница 198, номер 3.162, Решение Алгебра, 8 класс Учебник, авторы: Арефьева Ирина Глебовна, Пирютко Ольга Николаевна, издательство Адукацыя i выхаванне, Минск, 2024, бирюзового цвета, страница 198, номер 3.162, Решение (продолжение 2) Алгебра, 8 класс Учебник, авторы: Арефьева Ирина Глебовна, Пирютко Ольга Николаевна, издательство Адукацыя i выхаванне, Минск, 2024, бирюзового цвета, страница 198, номер 3.162, Решение (продолжение 3)
Решение 2. №3.162 (с. 198)

а) $5(x - 1)^2 \le 5 - 6x$
Раскроем скобки, используя формулу сокращенного умножения "квадрат разности": $(a-b)^2 = a^2 - 2ab + b^2$.
$5(x^2 - 2x + 1) \le 5 - 6x$
$5x^2 - 10x + 5 \le 5 - 6x$
Перенесем все слагаемые в левую часть неравенства и приведем подобные:
$5x^2 - 10x + 6x + 5 - 5 \le 0$
$5x^2 - 4x \le 0$
Разложим левую часть на множители, вынеся общий множитель $x$ за скобки:
$x(5x - 4) \le 0$
Найдем корни соответствующего уравнения $x(5x - 4) = 0$:
$x_1 = 0$ и $5x - 4 = 0 \Rightarrow x_2 = \frac{4}{5}$.
Ветви параболы $y = 5x^2 - 4x$ направлены вверх, следовательно, выражение принимает неположительные значения ($ \le 0 $) на отрезке между корнями.
Ответ: $x \in [0; \frac{4}{5}]$

б) $(x + 1)^2 - 14 > 5(1 + x)$
Раскроем скобки, используя формулу "квадрат суммы" $(a+b)^2 = a^2 + 2ab + b^2$ и распределительный закон:
$x^2 + 2x + 1 - 14 > 5 + 5x$
$x^2 + 2x - 13 > 5 + 5x$
Перенесем все слагаемые в левую часть:
$x^2 + 2x - 5x - 13 - 5 > 0$
$x^2 - 3x - 18 > 0$
Найдем корни квадратного уравнения $x^2 - 3x - 18 = 0$. По теореме Виета, корни $x_1 = 6$ и $x_2 = -3$.
Ветви параболы $y = x^2 - 3x - 18$ направлены вверх, поэтому выражение принимает положительные значения ($ > 0 $) вне отрезка между корнями.
Ответ: $x \in (-\infty; -3) \cup (6; +\infty)$

в) $(x - 2)^2 \ge 1 - (x - 1)^2$
Раскроем скобки, используя формулы квадрата разности:
$x^2 - 4x + 4 \ge 1 - (x^2 - 2x + 1)$
$x^2 - 4x + 4 \ge 1 - x^2 + 2x - 1$
$x^2 - 4x + 4 \ge -x^2 + 2x$
Перенесем все слагаемые в левую часть:
$x^2 + x^2 - 4x - 2x + 4 \ge 0$
$2x^2 - 6x + 4 \ge 0$
Разделим обе части неравенства на 2:
$x^2 - 3x + 2 \ge 0$
Найдем корни уравнения $x^2 - 3x + 2 = 0$. По теореме Виета, корни $x_1 = 1$ и $x_2 = 2$.
Ветви параболы $y = x^2 - 3x + 2$ направлены вверх, поэтому выражение принимает неотрицательные значения ($ \ge 0 $) на лучах вне отрезка между корнями, включая сами корни.
Ответ: $x \in (-\infty; 1] \cup [2; +\infty]$

г) $(x + 2)^2 + 13x < (3x - 1)^2$
Раскроем скобки, используя формулы квадрата суммы и квадрата разности:
$(x^2 + 4x + 4) + 13x < 9x^2 - 6x + 1$
$x^2 + 17x + 4 < 9x^2 - 6x + 1$
Перенесем все слагаемые в правую часть для удобства:
$0 < 9x^2 - x^2 - 6x - 17x + 1 - 4$
$8x^2 - 23x - 3 > 0$
Найдем корни уравнения $8x^2 - 23x - 3 = 0$ с помощью дискриминанта:
$D = b^2 - 4ac = (-23)^2 - 4 \cdot 8 \cdot (-3) = 529 + 96 = 625 = 25^2$
$x_{1,2} = \frac{-b \pm \sqrt{D}}{2a} = \frac{23 \pm 25}{16}$
$x_1 = \frac{23 + 25}{16} = \frac{48}{16} = 3$
$x_2 = \frac{23 - 25}{16} = \frac{-2}{16} = -\frac{1}{8}$
Ветви параболы $y = 8x^2 - 23x - 3$ направлены вверх, поэтому выражение принимает положительные значения ($ > 0 $) вне отрезка между корнями.
Ответ: $x \in (-\infty; -\frac{1}{8}) \cup (3; +\infty)$

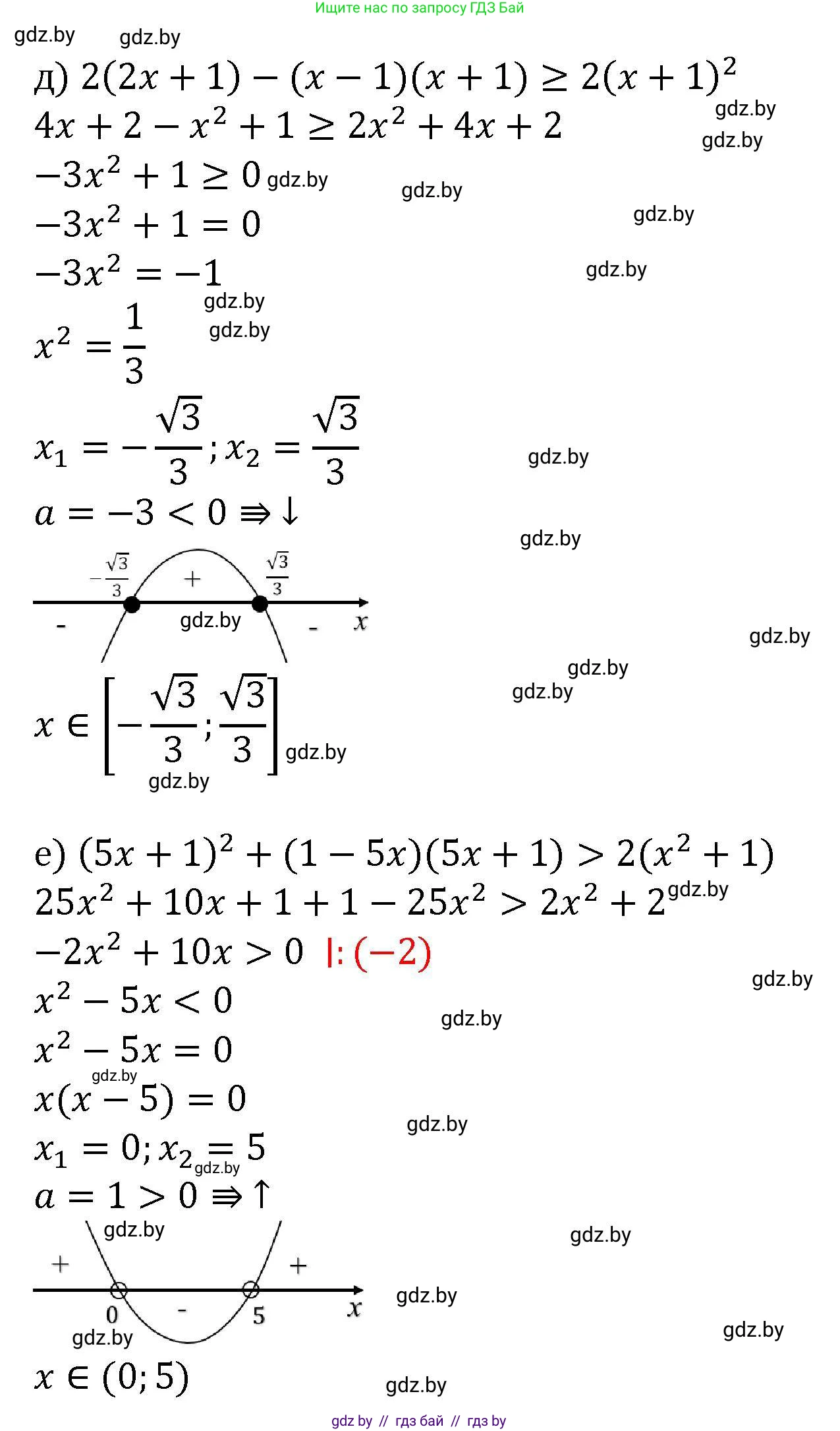
д) $2(2x + 1) - (x - 1)(x + 1) \ge 2(x + 1)^2$
Раскроем скобки, используя формулы разности квадратов и квадрата суммы:
$4x + 2 - (x^2 - 1) \ge 2(x^2 + 2x + 1)$
$4x + 2 - x^2 + 1 \ge 2x^2 + 4x + 2$
$-x^2 + 4x + 3 \ge 2x^2 + 4x + 2$
Перенесем все слагаемые в правую часть:
$0 \ge 2x^2 + x^2 + 4x - 4x + 2 - 3$
$0 \ge 3x^2 - 1$ или $3x^2 - 1 \le 0$
Найдем корни уравнения $3x^2 - 1 = 0$:
$3x^2 = 1 \Rightarrow x^2 = \frac{1}{3} \Rightarrow x = \pm\sqrt{\frac{1}{3}} = \pm\frac{\sqrt{3}}{3}$
Ветви параболы $y = 3x^2 - 1$ направлены вверх, поэтому выражение принимает неположительные значения ($ \le 0 $) на отрезке между корнями.
Ответ: $x \in [-\frac{\sqrt{3}}{3}; \frac{\sqrt{3}}{3}]$

е) $(5x + 1)^2 + (1 - 5x)(5x + 1) > 2(x^2 + 1)$
Вынесем общий множитель $(5x + 1)$ за скобки в левой части:
$(5x + 1) \cdot ((5x + 1) + (1 - 5x)) > 2(x^2 + 1)$
Упростим выражение во вторых скобках:
$(5x + 1) \cdot (5x + 1 + 1 - 5x) > 2(x^2 + 1)$
$(5x + 1) \cdot 2 > 2(x^2 + 1)$
Разделим обе части на 2:
$5x + 1 > x^2 + 1$
Перенесем все слагаемые в правую часть:
$0 > x^2 - 5x + 1 - 1$
$x^2 - 5x < 0$
Разложим левую часть на множители:
$x(x - 5) < 0$
Найдем корни уравнения $x(x - 5) = 0$: $x_1 = 0$ и $x_2 = 5$.
Ветви параболы $y = x^2 - 5x$ направлены вверх, поэтому выражение принимает отрицательные значения ($ < 0 $) на интервале между корнями.
Ответ: $x \in (0; 5)$

Помогло решение? Оставьте отзыв в комментариях ниже.

Присоединяйтесь к Телеграм-группе @gdz_by_belarus

Присоединиться

Мы подготовили для вас ответ c подробным объяснением домашего задания по алгебре за 8 класс, для упражнения номер 3.162 расположенного на странице 198 к учебнику 2024 года издания для учащихся школ и гимназий.

Теперь на нашем сайте ГДЗ.ТОП вы всегда легко и бесплатно найдёте условие с правильным ответом на вопрос «Как решить ДЗ» и «Как сделать» задание по алгебре к упражнению №3.162 (с. 198), авторов: Арефьева (Ирина Глебовна), Пирютко (Ольга Николаевна), учебного пособия издательства Адукацыя i выхаванне.