Номер 26, страница 8 - гдз по алгебре 9 класс учебник Арефьева, Пирютко

Алгебра, 9 класс Учебник, авторы: Арефьева Ирина Глебовна, Пирютко Ольга Николаевна, издательство Народная асвета, Минск, 2019, голубого цвета

Авторы: Арефьева И. Г., Пирютко О. Н.

Тип: Учебник

Издательство: Народная асвета

Год издания: 2019 - 2025

Цвет обложки: голубой, синий с графиком

ISBN: 978-985-03-3077-2

Допущено Министерством образования Республики Беларусь

Популярные ГДЗ в 9 классе

Повторение курса алгебры 7—8-х классов - номер 26, страница 8.

№26 (с. 8)
Условие. №26 (с. 8)
скриншот условия
Алгебра, 9 класс Учебник, авторы: Арефьева Ирина Глебовна, Пирютко Ольга Николаевна, издательство Народная асвета, Минск, 2019, голубого цвета, страница 8, номер 26, Условие

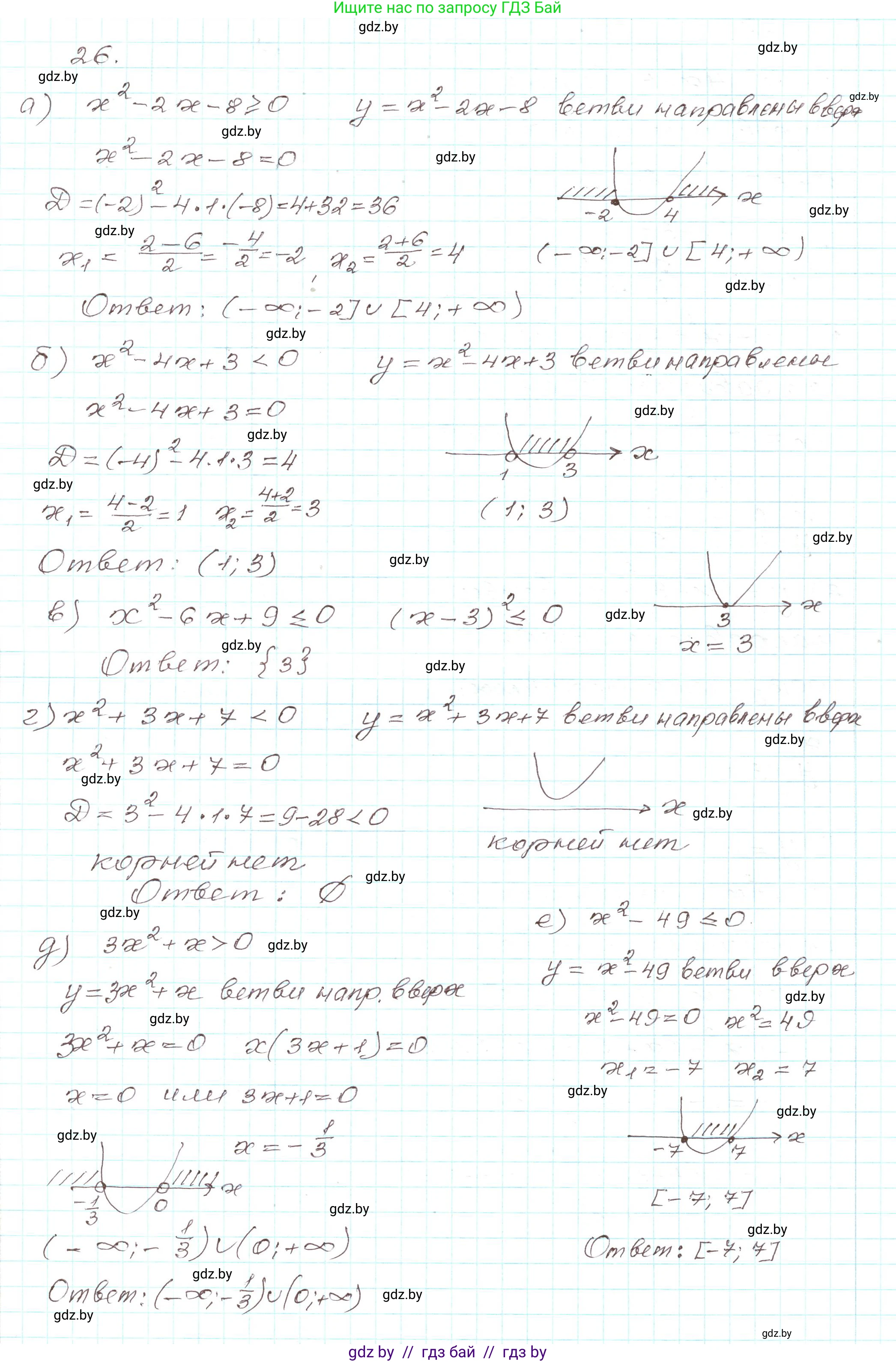
26. Решите квадратное неравенство:

а) $x^2 - 2x - 8 \geq 0;$

б) $x^2 - 4x + 3 < 0;$

в) $x^2 - 6x + 9 \leq 0;$

г) $x^2 + 3x + 7 < 0;$

д) $3x^2 + x > 0;$

е) $x^2 - 49 \leq 0.$

Решение. №26 (с. 8)
Алгебра, 9 класс Учебник, авторы: Арефьева Ирина Глебовна, Пирютко Ольга Николаевна, издательство Народная асвета, Минск, 2019, голубого цвета, страница 8, номер 26, Решение
Решение 2. №26 (с. 8)

а) Для решения неравенства $x^2 - 2x - 8 \ge 0$ сначала найдем корни соответствующего квадратного уравнения $x^2 - 2x - 8 = 0$.
Вычислим дискриминант: $D = b^2 - 4ac = (-2)^2 - 4 \cdot 1 \cdot (-8) = 4 + 32 = 36$.
Так как $D > 0$, уравнение имеет два действительных корня:
$x_1 = \frac{-b - \sqrt{D}}{2a} = \frac{2 - \sqrt{36}}{2 \cdot 1} = \frac{2 - 6}{2} = -2$
$x_2 = \frac{-b + \sqrt{D}}{2a} = \frac{2 + \sqrt{36}}{2 \cdot 1} = \frac{2 + 6}{2} = 4$
Графиком функции $y = x^2 - 2x - 8$ является парабола, ветви которой направлены вверх, так как коэффициент при $x^2$ положителен ($a=1>0$). Парабола пересекает ось Ох в точках $x=-2$ и $x=4$.
Неравенство $x^2 - 2x - 8 \ge 0$ выполняется, когда график параболы находится на оси Ох или выше нее. Это происходит на промежутках левее меньшего корня и правее большего корня.
Ответ: $x \in (-\infty, -2] \cup [4, \infty)$.

б) Для решения неравенства $x^2 - 4x + 3 < 0$ найдем корни уравнения $x^2 - 4x + 3 = 0$.
Вычислим дискриминант: $D = b^2 - 4ac = (-4)^2 - 4 \cdot 1 \cdot 3 = 16 - 12 = 4$.
Корни уравнения:
$x_1 = \frac{-b - \sqrt{D}}{2a} = \frac{4 - \sqrt{4}}{2 \cdot 1} = \frac{4 - 2}{2} = 1$
$x_2 = \frac{-b + \sqrt{D}}{2a} = \frac{4 + \sqrt{4}}{2 \cdot 1} = \frac{4 + 2}{2} = 3$
Ветви параболы $y = x^2 - 4x + 3$ направлены вверх ($a=1>0$). Неравенство $x^2 - 4x + 3 < 0$ выполняется, когда парабола находится ниже оси Ох, то есть между корнями.
Ответ: $x \in (1, 3)$.

в) Рассмотрим неравенство $x^2 - 6x + 9 \le 0$.
Левая часть неравенства является полным квадратом: $x^2 - 6x + 9 = (x-3)^2$.
Неравенство принимает вид $(x-3)^2 \le 0$.
Квадрат любого действительного числа всегда неотрицателен, то есть $(x-3)^2 \ge 0$ для любого $x$.
Следовательно, неравенство $(x-3)^2 \le 0$ может выполняться только в одном случае: когда $(x-3)^2 = 0$.
Это происходит при $x-3=0$, то есть $x=3$.
Ответ: $x = 3$.

г) Рассмотрим неравенство $x^2 + 3x + 7 < 0$.
Найдем дискриминант соответствующего уравнения $x^2 + 3x + 7 = 0$:
$D = b^2 - 4ac = 3^2 - 4 \cdot 1 \cdot 7 = 9 - 28 = -19$.
Так как $D < 0$, уравнение не имеет действительных корней.
Графиком функции $y = x^2 + 3x + 7$ является парабола с ветвями вверх ($a=1>0$), которая не пересекает ось Ох и полностью расположена в верхней полуплоскости.
Это означает, что выражение $x^2 + 3x + 7$ всегда положительно при любом $x$.
Таким образом, неравенство $x^2 + 3x + 7 < 0$ не имеет решений.
Ответ: нет решений.

д) Для решения неравенства $3x^2 + x > 0$ разложим левую часть на множители:
$x(3x + 1) > 0$.
Найдем корни уравнения $x(3x + 1) = 0$:
$x_1 = 0$
$3x + 1 = 0 \implies x_2 = -1/3$.
Ветви параболы $y = 3x^2 + x$ направлены вверх ($a=3>0$). Неравенство выполняется, когда парабола находится выше оси Ох, то есть вне интервала между корнями.
Ответ: $x \in (-\infty, -1/3) \cup (0, \infty)$.

е) Рассмотрим неравенство $x^2 - 49 \le 0$.
Разложим левую часть на множители по формуле разности квадратов:
$(x-7)(x+7) \le 0$.
Найдем корни уравнения $(x-7)(x+7) = 0$:
$x_1 = -7$, $x_2 = 7$.
Ветви параболы $y = x^2 - 49$ направлены вверх ($a=1>0$). Неравенство $x^2 - 49 \le 0$ выполняется, когда парабола находится на оси Ох или ниже нее, то есть между корнями, включая сами корни.
Ответ: $x \in [-7, 7]$.

Помогло решение? Оставьте отзыв в комментариях ниже.

Присоединяйтесь к Телеграм-группе @gdz_by_belarus

Присоединиться

Мы подготовили для вас ответ c подробным объяснением домашего задания по алгебре за 9 класс, для упражнения номер 26 расположенного на странице 8 к учебнику 2019 года издания для учащихся школ и гимназий.

Теперь на нашем сайте ГДЗ.ТОП вы всегда легко и бесплатно найдёте условие с правильным ответом на вопрос «Как решить ДЗ» и «Как сделать» задание по алгебре к упражнению №26 (с. 8), авторов: Арефьева (Ирина Глебовна), Пирютко (Ольга Николаевна), учебного пособия издательства Народная асвета.