Номер 1.109, страница 41 - гдз по алгебре 9 класс учебник Арефьева, Пирютко

Алгебра, 9 класс Учебник, авторы: Арефьева Ирина Глебовна, Пирютко Ольга Николаевна, издательство Народная асвета, Минск, 2019, голубого цвета

Авторы: Арефьева И. Г., Пирютко О. Н.

Тип: Учебник

Издательство: Народная асвета

Год издания: 2019 - 2025

Цвет обложки: голубой, синий с графиком

ISBN: 978-985-03-3077-2

Допущено Министерством образования Республики Беларусь

Популярные ГДЗ в 9 классе

Глава 1. Рациональные выражения. Параграф 3. Сложение и вычитание рациональных дробей - номер 1.109, страница 41.

№1.109 (с. 41)
Условие. №1.109 (с. 41)
скриншот условия
Алгебра, 9 класс Учебник, авторы: Арефьева Ирина Глебовна, Пирютко Ольга Николаевна, издательство Народная асвета, Минск, 2019, голубого цвета, страница 41, номер 1.109, Условие

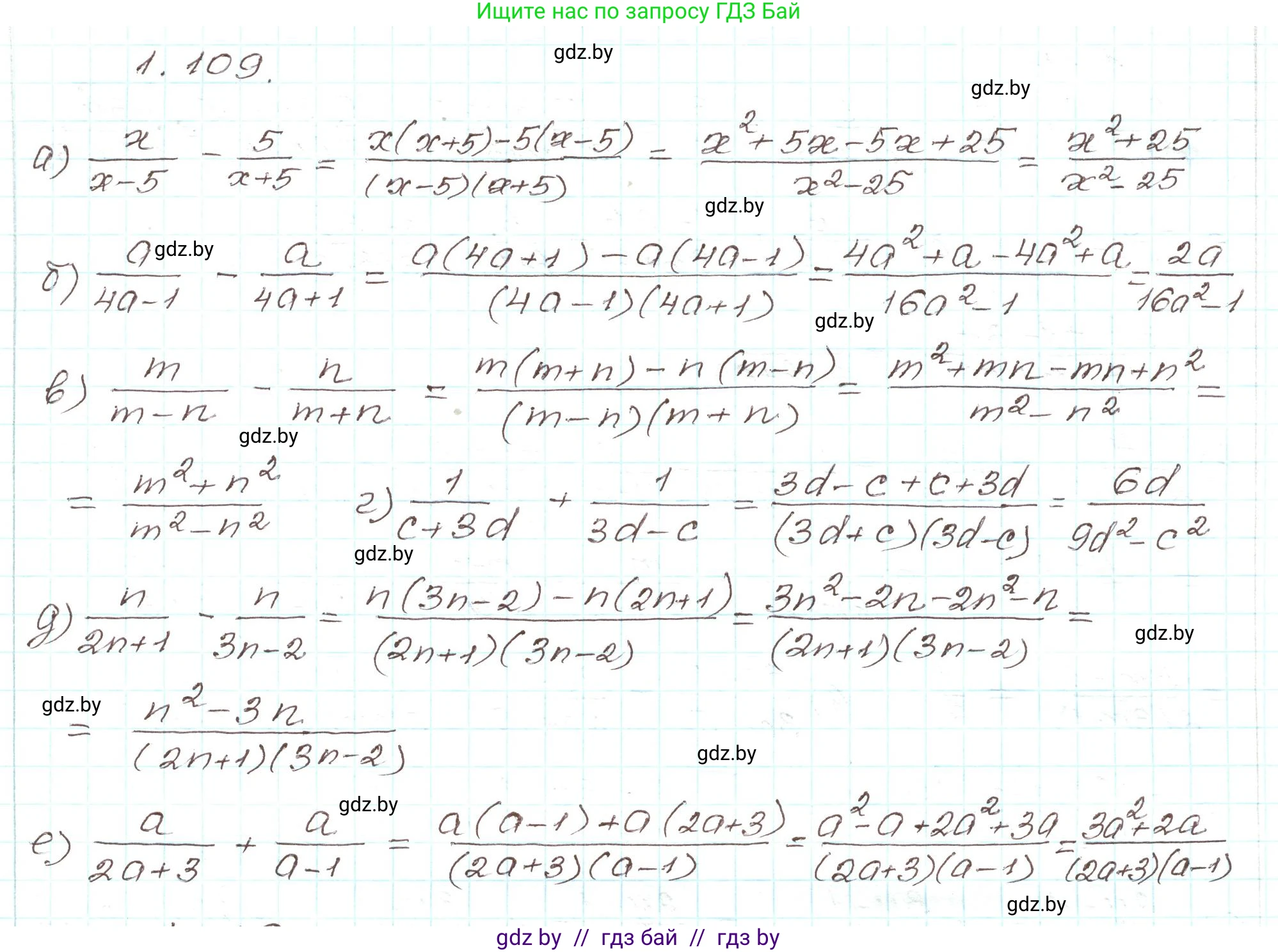
1.109. Выполните сложение или вычитание дробей:

а) $\frac{x}{x-5} - \frac{5}{x+5}$;

б) $\frac{a}{4a-1} - \frac{a}{4a+1}$;

в) $\frac{m}{m-n} - \frac{n}{m+n}$;

г) $\frac{1}{c+3d} + \frac{1}{3d-c}$;

д) $\frac{n}{2n+1} - \frac{n}{3n-2}$;

е) $\frac{a}{2a+3} + \frac{a}{a-1}$.

Решение. №1.109 (с. 41)
Алгебра, 9 класс Учебник, авторы: Арефьева Ирина Глебовна, Пирютко Ольга Николаевна, издательство Народная асвета, Минск, 2019, голубого цвета, страница 41, номер 1.109, Решение
Решение 2. №1.109 (с. 41)

а) Чтобы вычесть дроби $ \frac{x}{x-5} $ и $ \frac{5}{x+5} $, приведем их к общему знаменателю. Общим знаменателем будет произведение их знаменателей, так как у них нет общих множителей: $ (x-5)(x+5) $. Используя формулу разности квадратов, получаем $ (x-5)(x+5) = x^2 - 25 $.
Умножим числитель и знаменатель первой дроби на $ (x+5) $, а второй — на $ (x-5) $: $$ \frac{x(x+5)}{(x-5)(x+5)} - \frac{5(x-5)}{(x+5)(x-5)} $$ Раскроем скобки в числителях: $$ \frac{x^2+5x}{x^2-25} - \frac{5x-25}{x^2-25} $$ Теперь выполним вычитание числителей, оставив знаменатель прежним: $$ \frac{(x^2+5x) - (5x-25)}{x^2-25} = \frac{x^2+5x-5x+25}{x^2-25} = \frac{x^2+25}{x^2-25} $$ Ответ: $ \frac{x^2+25}{x^2-25} $

б) Знаменатели дробей $ \frac{a}{4a-1} $ и $ \frac{a}{4a+1} $ представляют собой сопряженные выражения. Общий знаменатель равен их произведению, которое вычисляется по формуле разности квадратов: $ (4a-1)(4a+1) = (4a)^2 - 1^2 = 16a^2-1 $.
Приведем дроби к общему знаменателю: $$ \frac{a(4a+1)}{(4a-1)(4a+1)} - \frac{a(4a-1)}{(4a+1)(4a-1)} = \frac{4a^2+a}{16a^2-1} - \frac{4a^2-a}{16a^2-1} $$ Выполним вычитание числителей: $$ \frac{(4a^2+a) - (4a^2-a)}{16a^2-1} = \frac{4a^2+a-4a^2+a}{16a^2-1} = \frac{2a}{16a^2-1} $$ Ответ: $ \frac{2a}{16a^2-1} $

в) Общий знаменатель для дробей $ \frac{m}{m-n} $ и $ \frac{n}{m+n} $ равен $ (m-n)(m+n) = m^2-n^2 $.
Приводим дроби к этому знаменателю: $$ \frac{m(m+n)}{(m-n)(m+n)} - \frac{n(m-n)}{(m+n)(m-n)} = \frac{m^2+mn}{m^2-n^2} - \frac{mn-n^2}{m^2-n^2} $$ Вычитаем числители: $$ \frac{(m^2+mn) - (mn-n^2)}{m^2-n^2} = \frac{m^2+mn-mn+n^2}{m^2-n^2} = \frac{m^2+n^2}{m^2-n^2} $$ Ответ: $ \frac{m^2+n^2}{m^2-n^2} $

г) Для сложения дробей $ \frac{1}{c+3d} $ и $ \frac{1}{3d-c} $ заметим, что знаменатель первой дроби можно записать как $ 3d+c $. Тогда знаменатели $ 3d+c $ и $ 3d-c $ являются сопряженными. Общий знаменатель будет равен их произведению: $ (3d+c)(3d-c) = (3d)^2-c^2 = 9d^2-c^2 $.
Приводим дроби к общему знаменателю: $$ \frac{1(3d-c)}{(3d+c)(3d-c)} + \frac{1(3d+c)}{(3d-c)(3d+c)} = \frac{3d-c}{9d^2-c^2} + \frac{3d+c}{9d^2-c^2} $$ Складываем числители: $$ \frac{(3d-c) + (3d+c)}{9d^2-c^2} = \frac{3d-c+3d+c}{9d^2-c^2} = \frac{6d}{9d^2-c^2} $$ Ответ: $ \frac{6d}{9d^2-c^2} $

д) Общий знаменатель для дробей $ \frac{n}{2n+1} $ и $ \frac{n}{3n-2} $ - это их произведение: $ (2n+1)(3n-2) $. Раскроем скобки: $ (2n+1)(3n-2) = 6n^2-4n+3n-2 = 6n^2-n-2 $.
Приводим дроби к общему знаменателю: $$ \frac{n(3n-2)}{(2n+1)(3n-2)} - \frac{n(2n+1)}{(3n-2)(2n+1)} = \frac{3n^2-2n}{6n^2-n-2} - \frac{2n^2+n}{6n^2-n-2} $$ Выполняем вычитание числителей: $$ \frac{(3n^2-2n) - (2n^2+n)}{6n^2-n-2} = \frac{3n^2-2n-2n^2-n}{6n^2-n-2} = \frac{n^2-3n}{6n^2-n-2} $$ Ответ: $ \frac{n^2-3n}{6n^2-n-2} $

е) Общим знаменателем для дробей $ \frac{a}{2a+3} $ и $ \frac{a}{a-1} $ будет их произведение: $ (2a+3)(a-1) = 2a^2-2a+3a-3 = 2a^2+a-3 $.
Приводим дроби к общему знаменателю: $$ \frac{a(a-1)}{(2a+3)(a-1)} + \frac{a(2a+3)}{(a-1)(2a+3)} = \frac{a^2-a}{2a^2+a-3} + \frac{2a^2+3a}{2a^2+a-3} $$ Складываем числители: $$ \frac{(a^2-a) + (2a^2+3a)}{2a^2+a-3} = \frac{a^2-a+2a^2+3a}{2a^2+a-3} = \frac{3a^2+2a}{2a^2+a-3} $$ Ответ: $ \frac{3a^2+2a}{2a^2+a-3} $

Помогло решение? Оставьте отзыв в комментариях ниже.

Присоединяйтесь к Телеграм-группе @gdz_by_belarus

Присоединиться

Мы подготовили для вас ответ c подробным объяснением домашего задания по алгебре за 9 класс, для упражнения номер 1.109 расположенного на странице 41 к учебнику 2019 года издания для учащихся школ и гимназий.

Теперь на нашем сайте ГДЗ.ТОП вы всегда легко и бесплатно найдёте условие с правильным ответом на вопрос «Как решить ДЗ» и «Как сделать» задание по алгебре к упражнению №1.109 (с. 41), авторов: Арефьева (Ирина Глебовна), Пирютко (Ольга Николаевна), учебного пособия издательства Народная асвета.