Номер 1.151, страница 46 - гдз по алгебре 9 класс учебник Арефьева, Пирютко

Алгебра, 9 класс Учебник, авторы: Арефьева Ирина Глебовна, Пирютко Ольга Николаевна, издательство Народная асвета, Минск, 2019, голубого цвета

Авторы: Арефьева И. Г., Пирютко О. Н.

Тип: Учебник

Издательство: Народная асвета

Год издания: 2019 - 2025

Цвет обложки: голубой, синий с графиком

ISBN: 978-985-03-3077-2

Допущено Министерством образования Республики Беларусь

Популярные ГДЗ в 9 классе

Глава 1. Рациональные выражения. Параграф 3. Сложение и вычитание рациональных дробей - номер 1.151, страница 46.

№1.151 (с. 46)
Условие. №1.151 (с. 46)
скриншот условия
Алгебра, 9 класс Учебник, авторы: Арефьева Ирина Глебовна, Пирютко Ольга Николаевна, издательство Народная асвета, Минск, 2019, голубого цвета, страница 46, номер 1.151, Условие

1.151. Примените формулу разложения квадратного трехчлена на множители и выполните действия:

a) $\frac{2}{y^2 - 3y + 2} - \frac{1}{y^2 - 6y + 5};$

б) $\frac{a - 3}{a^2 - 9a + 20} - \frac{a - 5}{a^2 - 7a + 12};$

В) $\frac{a - 4}{a^2 - 2a + 1} - \frac{a + 2}{a^2 + a - 2}.$

Решение. №1.151 (с. 46)
Алгебра, 9 класс Учебник, авторы: Арефьева Ирина Глебовна, Пирютко Ольга Николаевна, издательство Народная асвета, Минск, 2019, голубого цвета, страница 46, номер 1.151, Решение Алгебра, 9 класс Учебник, авторы: Арефьева Ирина Глебовна, Пирютко Ольга Николаевна, издательство Народная асвета, Минск, 2019, голубого цвета, страница 46, номер 1.151, Решение (продолжение 2)
Решение 2. №1.151 (с. 46)

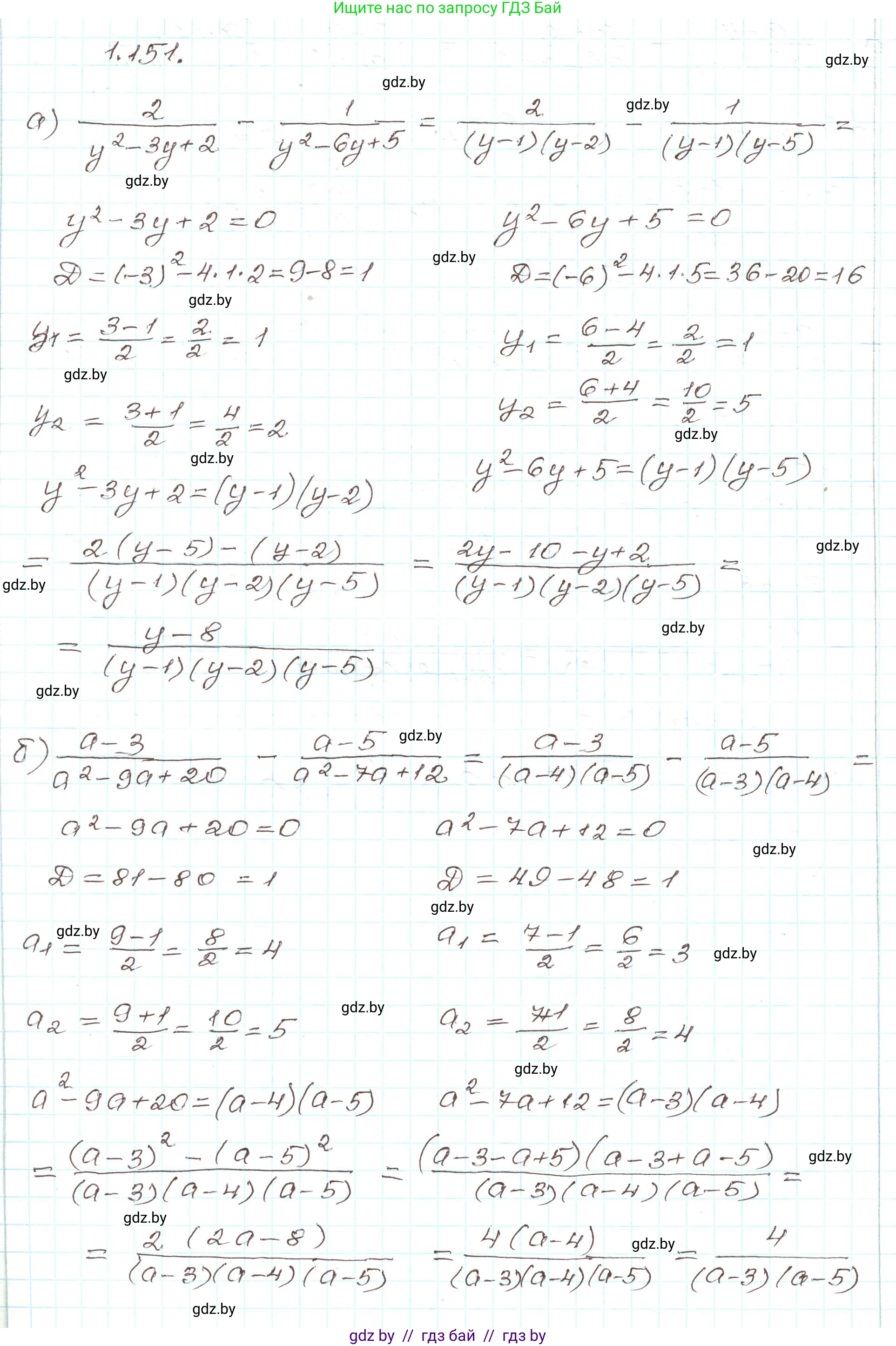
а) Для того чтобы выполнить вычитание дробей $\frac{2}{y^2 - 3y + 2} - \frac{1}{y^2 - 6y + 5}$, необходимо разложить знаменатели на множители.
1. Разложим на множители квадратный трехчлен $y^2 - 3y + 2$. Для этого найдем корни уравнения $y^2 - 3y + 2 = 0$. По теореме Виета:
$y_1 + y_2 = 3$
$y_1 \cdot y_2 = 2$
Корни уравнения: $y_1 = 1$, $y_2 = 2$.
Следовательно, $y^2 - 3y + 2 = (y - 1)(y - 2)$.
2. Разложим на множители квадратный трехчлен $y^2 - 6y + 5$. Для этого найдем корни уравнения $y^2 - 6y + 5 = 0$. По теореме Виета:
$y_1 + y_2 = 6$
$y_1 \cdot y_2 = 5$
Корни уравнения: $y_1 = 1$, $y_2 = 5$.
Следовательно, $y^2 - 6y + 5 = (y - 1)(y - 5)$.
3. Перепишем исходное выражение с разложенными знаменателями и приведем дроби к общему знаменателю $(y - 1)(y - 2)(y - 5)$:
$\frac{2}{(y - 1)(y - 2)} - \frac{1}{(y - 1)(y - 5)} = \frac{2(y - 5)}{(y - 1)(y - 2)(y - 5)} - \frac{1(y - 2)}{(y - 1)(y - 2)(y - 5)} = \frac{2(y - 5) - (y - 2)}{(y - 1)(y - 2)(y - 5)}$
4. Упростим числитель:
$2y - 10 - y + 2 = y - 8$
Таким образом, получаем:
$\frac{y - 8}{(y - 1)(y - 2)(y - 5)}$
Ответ: $\frac{y - 8}{(y - 1)(y - 2)(y - 5)}$

б) Для того чтобы выполнить вычитание дробей $\frac{a - 3}{a^2 - 9a + 20} - \frac{a - 5}{a^2 - 7a + 12}$, необходимо разложить знаменатели на множители.
1. Разложим на множители $a^2 - 9a + 20$. Корни уравнения $a^2 - 9a + 20 = 0$ по теореме Виета: $a_1=4$, $a_2=5$.
Следовательно, $a^2 - 9a + 20 = (a - 4)(a - 5)$.
2. Разложим на множители $a^2 - 7a + 12$. Корни уравнения $a^2 - 7a + 12 = 0$ по теореме Виета: $a_1=3$, $a_2=4$.
Следовательно, $a^2 - 7a + 12 = (a - 3)(a - 4)$.
3. Перепишем исходное выражение и приведем к общему знаменателю $(a - 3)(a - 4)(a - 5)$:
$\frac{a - 3}{(a - 4)(a - 5)} - \frac{a - 5}{(a - 3)(a - 4)} = \frac{(a - 3)(a - 3)}{(a - 3)(a - 4)(a - 5)} - \frac{(a - 5)(a - 5)}{(a - 3)(a - 4)(a - 5)} = \frac{(a - 3)^2 - (a - 5)^2}{(a - 3)(a - 4)(a - 5)}$
4. Упростим числитель, используя формулу разности квадратов $x^2 - y^2 = (x - y)(x + y)$:
$(a - 3)^2 - (a - 5)^2 = ((a - 3) - (a - 5))((a - 3) + (a - 5)) = (a - 3 - a + 5)(a - 3 + a - 5) = (2)(2a - 8) = 4(a - 4)$
5. Подставим упрощенный числитель обратно в дробь и сократим:
$\frac{4(a - 4)}{(a - 3)(a - 4)(a - 5)} = \frac{4}{(a - 3)(a - 5)}$
Ответ: $\frac{4}{(a - 3)(a - 5)}$

в) Для того чтобы выполнить вычитание дробей $\frac{a - 4}{a^2 - 2a + 1} - \frac{a + 2}{a^2 + a - 2}$, необходимо разложить знаменатели на множители.
1. Разложим на множители $a^2 - 2a + 1$. Это формула квадрата разности:
$a^2 - 2a + 1 = (a - 1)^2$.
2. Разложим на множители $a^2 + a - 2$. Корни уравнения $a^2 + a - 2 = 0$ по теореме Виета: $a_1=1$, $a_2=-2$.
Следовательно, $a^2 + a - 2 = (a - 1)(a - (-2)) = (a - 1)(a + 2)$.
3. Перепишем исходное выражение:
$\frac{a - 4}{(a - 1)^2} - \frac{a + 2}{(a - 1)(a + 2)}$
4. Сократим вторую дробь на $(a + 2)$:
$\frac{a - 4}{(a - 1)^2} - \frac{1}{a - 1}$
5. Приведем дроби к общему знаменателю $(a - 1)^2$:
$\frac{a - 4}{(a - 1)^2} - \frac{1(a - 1)}{(a - 1)^2} = \frac{(a - 4) - (a - 1)}{(a - 1)^2} = \frac{a - 4 - a + 1}{(a - 1)^2} = \frac{-3}{(a - 1)^2}$
Ответ: $-\frac{3}{(a - 1)^2}$

Помогло решение? Оставьте отзыв в комментариях ниже.

Присоединяйтесь к Телеграм-группе @gdz_by_belarus

Присоединиться

Мы подготовили для вас ответ c подробным объяснением домашего задания по алгебре за 9 класс, для упражнения номер 1.151 расположенного на странице 46 к учебнику 2019 года издания для учащихся школ и гимназий.

Теперь на нашем сайте ГДЗ.ТОП вы всегда легко и бесплатно найдёте условие с правильным ответом на вопрос «Как решить ДЗ» и «Как сделать» задание по алгебре к упражнению №1.151 (с. 46), авторов: Арефьева (Ирина Глебовна), Пирютко (Ольга Николаевна), учебного пособия издательства Народная асвета.