Номер 3.163, страница 192 - гдз по алгебре 9 класс учебник Арефьева, Пирютко

Алгебра, 9 класс Учебник, авторы: Арефьева Ирина Глебовна, Пирютко Ольга Николаевна, издательство Народная асвета, Минск, 2019, голубого цвета

Авторы: Арефьева И. Г., Пирютко О. Н.

Тип: Учебник

Издательство: Народная асвета

Год издания: 2019 - 2025

Цвет обложки: голубой, синий с графиком

ISBN: 978-985-03-3077-2

Допущено Министерством образования Республики Беларусь

Популярные ГДЗ в 9 классе

Глава 3. Дробно-рациональные уравнения и неравенства. Параграф 13. Дробно-рациональные неравенства. Метод интервалов для решения рациональных неравенств - номер 3.163, страница 192.

№3.163 (с. 192)
Условие. №3.163 (с. 192)
скриншот условия
Алгебра, 9 класс Учебник, авторы: Арефьева Ирина Глебовна, Пирютко Ольга Николаевна, издательство Народная асвета, Минск, 2019, голубого цвета, страница 192, номер 3.163, Условие

3.163. Решите неравенство, используя метод интервалов:

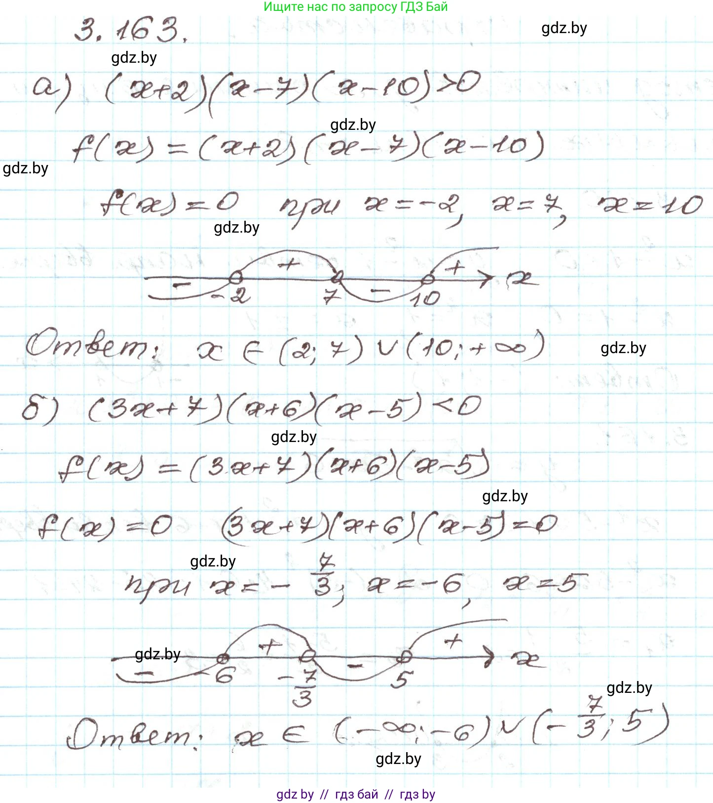
а) $(x+2)(x-7)(x-10)>0;$

б) $(3x+7)(x+6)(x-5)<0;$

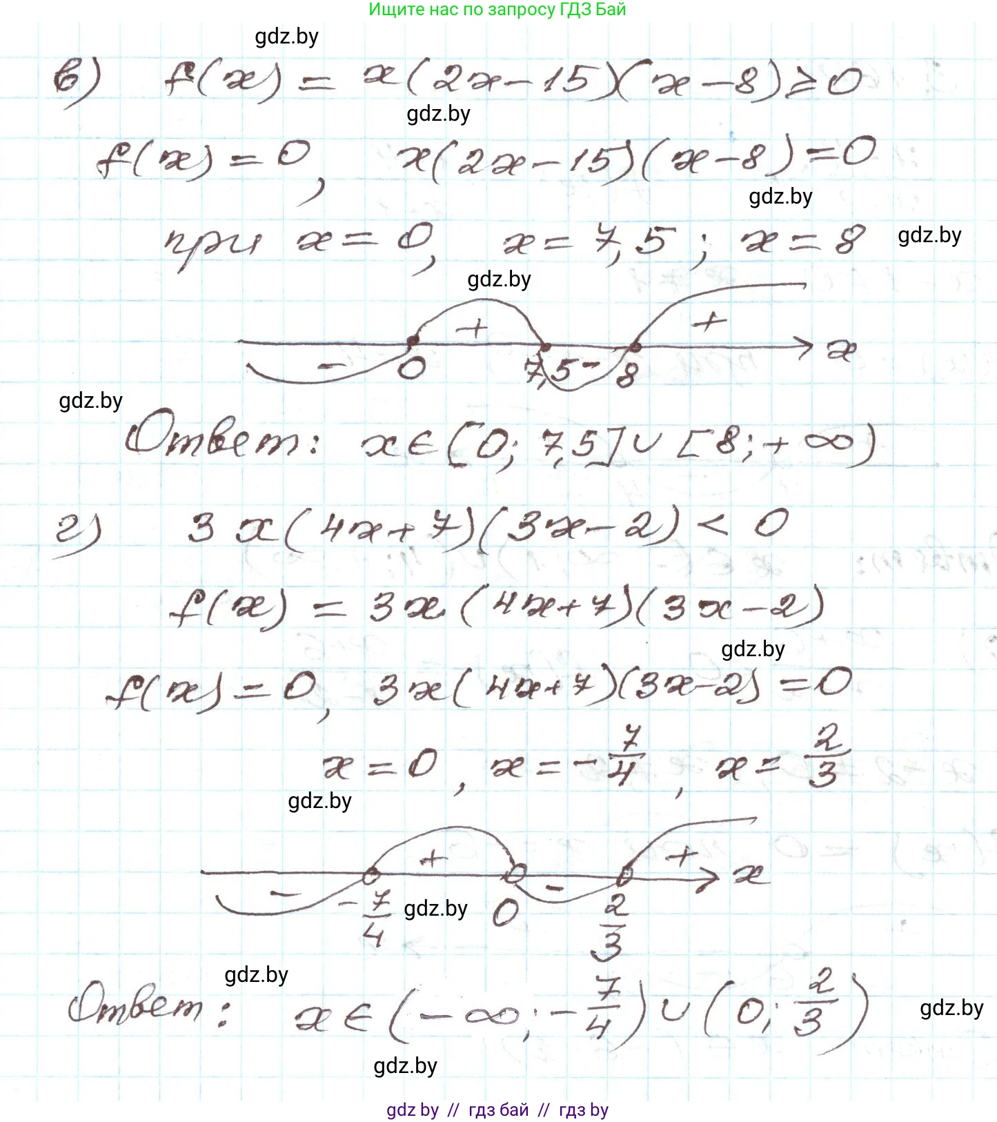
в) $x(2x-15)(x-8)\ge 0;$

г) $3x(4x+7)(3x-2)\le 0.$

Решение. №3.163 (с. 192)
Алгебра, 9 класс Учебник, авторы: Арефьева Ирина Глебовна, Пирютко Ольга Николаевна, издательство Народная асвета, Минск, 2019, голубого цвета, страница 192, номер 3.163, Решение Алгебра, 9 класс Учебник, авторы: Арефьева Ирина Глебовна, Пирютко Ольга Николаевна, издательство Народная асвета, Минск, 2019, голубого цвета, страница 192, номер 3.163, Решение (продолжение 2)
Решение 2. №3.163 (с. 192)

Для решения данных неравенств используется метод интервалов. Алгоритм решения следующий:

  1. Найти все корни (нули) выражения в левой части неравенства, приравняв каждый множитель к нулю.
  2. Нанести найденные корни на числовую ось в порядке возрастания. Если неравенство строгое (знаки $>$ или $<$), точки отмечаются как "выколотые" (не входят в решение). Если неравенство нестрогое (знаки $\geq$ или $\leq$), точки отмечаются как "закрашенные" (входят в решение).
  3. Определить знак выражения в каждом из полученных интервалов. Для этого достаточно подставить любое число из интервала в исходное выражение.
  4. Выбрать интервалы, которые соответствуют знаку неравенства, и записать ответ, учитывая, включены ли граничные точки.

а) $(x+2)(x-7)(x-10)>0$

1. Найдем нули функции, приравняв каждый множитель к нулю:
$x+2=0 \Rightarrow x_1 = -2$
$x-7=0 \Rightarrow x_2 = 7$
$x-10=0 \Rightarrow x_3 = 10$

2. Отметим точки -2, 7, 10 на числовой оси. Неравенство строгое ($>$), поэтому все точки выколотые. Они делят ось на четыре интервала: $(-\infty; -2)$, $(-2; 7)$, $(7; 10)$, $(10; +\infty)$.

3. Определим знак выражения в каждом интервале, подставляя тестовые значения:

  • Интервал $(10; +\infty)$: пусть $x=11 \Rightarrow (+)(+)(+) = +$
  • Интервал $(7; 10)$: пусть $x=8 \Rightarrow (+)(+)(-) = -$
  • Интервал $(-2; 7)$: пусть $x=0 \Rightarrow (+)(-)(-) = +$
  • Интервал $(-\infty; -2)$: пусть $x=-3 \Rightarrow (-)(-)(-) = -$

4. Поскольку неравенство требует, чтобы выражение было больше нуля, выбираем интервалы со знаком "+".

Ответ: $x \in (-2; 7) \cup (10; +\infty)$


б) $(3x+7)(x+6)(x-5)<0$

1. Найдем нули функции:
$3x+7=0 \Rightarrow 3x=-7 \Rightarrow x_1 = -\frac{7}{3}$
$x+6=0 \Rightarrow x_2 = -6$
$x-5=0 \Rightarrow x_3 = 5$

2. Расположим корни на числовой оси: -6, $-\frac{7}{3}$, 5. Неравенство строгое ($<$), точки выколотые. Интервалы: $(-\infty; -6)$, $(-6; -\frac{7}{3})$, $(-\frac{7}{3}; 5)$, $(5; +\infty)$.

3. Определим знаки:

  • Интервал $(5; +\infty)$: пусть $x=6 \Rightarrow (+)(+)(+) = +$
  • Интервал $(-\frac{7}{3}; 5)$: пусть $x=0 \Rightarrow (+)(+)(-) = -$
  • Интервал $(-6; -\frac{7}{3})$: пусть $x=-3 \Rightarrow (-)(+)(-) = +$
  • Интервал $(-\infty; -6)$: пусть $x=-7 \Rightarrow (-)(-)(-) = -$

4. Выбираем интервалы со знаком "–", так как неравенство меньше нуля. Преобразуем неправильную дробь $-\frac{7}{3}$ в смешанное число: $-\frac{7}{3} = -2\frac{1}{3}$.

Ответ: $x \in (-\infty; -6) \cup (-\mathbf{2}\frac{1}{3}; 5)$


в) $x(2x-15)(x-8)\geq0$

1. Найдем нули функции:
$x_1 = 0$
$2x-15=0 \Rightarrow 2x=15 \Rightarrow x_2 = \frac{15}{2}$
$x-8=0 \Rightarrow x_3 = 8$

2. Отметим точки 0, $\frac{15}{2}$, 8 на числовой оси. Неравенство нестрогое ($\geq$), поэтому точки закрашенные. Интервалы: $(-\infty; 0]$, $[0; \frac{15}{2}]$, $[\frac{15}{2}; 8]$, $[8; +\infty)$.

3. Определим знаки:

  • Интервал $(8; +\infty)$: пусть $x=10 \Rightarrow (+)(+)(+) = +$
  • Интервал $(\frac{15}{2}; 8)$: пусть $x=7.6 \Rightarrow (+)(+)(-) = -$
  • Интервал $(0; \frac{15}{2})$: пусть $x=1 \Rightarrow (+)(-)(-) = +$
  • Интервал $(-\infty; 0)$: пусть $x=-1 \Rightarrow (-)(-)(-) = -$

4. Выбираем интервалы со знаком "+", включая концы. Преобразуем неправильную дробь $\frac{15}{2}$ в смешанное число: $\frac{15}{2} = 7\frac{1}{2}$.

Ответ: $x \in [0; \mathbf{7}\frac{1}{2}] \cup [8; +\infty)$


г) $3x(4x+7)(3x-2)\leq0$

1. Найдем нули функции. Множитель 3 на знак не влияет, но его нужно учесть при нахождении нуля $3x=0$.
$3x=0 \Rightarrow x_1 = 0$
$4x+7=0 \Rightarrow 4x=-7 \Rightarrow x_2 = -\frac{7}{4}$
$3x-2=0 \Rightarrow 3x=2 \Rightarrow x_3 = \frac{2}{3}$

2. Расположим корни на числовой оси: $-\frac{7}{4}$, 0, $\frac{2}{3}$. Неравенство нестрогое ($\leq$), точки закрашенные. Интервалы: $(-\infty; -\frac{7}{4}]$, $[-\frac{7}{4}; 0]$, $[0; \frac{2}{3}]$, $[\frac{2}{3}; +\infty)$.

3. Определим знаки:

  • Интервал $(\frac{2}{3}; +\infty)$: пусть $x=1 \Rightarrow (+)(+)(+) = +$
  • Интервал $(0; \frac{2}{3})$: пусть $x=0.5 \Rightarrow (+)(+)(-) = -$
  • Интервал $(-\frac{7}{4}; 0)$: пусть $x=-1 \Rightarrow (-)(+)(-) = +$
  • Интервал $(-\infty; -\frac{7}{4})$: пусть $x=-2 \Rightarrow (-)(-)(-) = -$

4. Выбираем интервалы со знаком "–", включая концы. Преобразуем неправильную дробь $-\frac{7}{4}$ в смешанное число: $-\frac{7}{4} = -1\frac{3}{4}$.

Ответ: $x \in (-\infty; -\mathbf{1}\frac{3}{4}] \cup [0; \frac{2}{3}]$

Помогло решение? Оставьте отзыв в комментариях ниже.

Присоединяйтесь к Телеграм-группе @gdz_by_belarus

Присоединиться

Мы подготовили для вас ответ c подробным объяснением домашего задания по алгебре за 9 класс, для упражнения номер 3.163 расположенного на странице 192 к учебнику 2019 года издания для учащихся школ и гимназий.

Теперь на нашем сайте ГДЗ.ТОП вы всегда легко и бесплатно найдёте условие с правильным ответом на вопрос «Как решить ДЗ» и «Как сделать» задание по алгебре к упражнению №3.163 (с. 192), авторов: Арефьева (Ирина Глебовна), Пирютко (Ольга Николаевна), учебного пособия издательства Народная асвета.