Номер 4.242, страница 251 - гдз по алгебре 9 класс учебник Арефьева, Пирютко

Алгебра, 9 класс Учебник, авторы: Арефьева Ирина Глебовна, Пирютко Ольга Николаевна, издательство Народная асвета, Минск, 2019, голубого цвета

Авторы: Арефьева И. Г., Пирютко О. Н.

Тип: Учебник

Издательство: Народная асвета

Год издания: 2019 - 2025

Цвет обложки: голубой, синий с графиком

ISBN: 978-985-03-3077-2

Допущено Министерством образования Республики Беларусь

Популярные ГДЗ в 9 классе

Глава 4. Прогрессии. Параграф 18. Формула суммы n первых членов геометрической прогрессии - номер 4.242, страница 251.

№4.242 (с. 251)
Условие. №4.242 (с. 251)
скриншот условия
Алгебра, 9 класс Учебник, авторы: Арефьева Ирина Глебовна, Пирютко Ольга Николаевна, издательство Народная асвета, Минск, 2019, голубого цвета, страница 251, номер 4.242, Условие

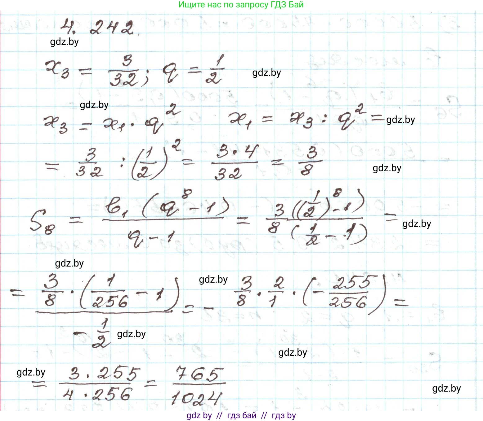
4.242. Найдите сумму восьми первых членов геометрической прогрессии ($x_n$), если известно, что $x_3 = \frac{3}{32}$; $q = \frac{1}{2}$.

Решение. №4.242 (с. 251)
Алгебра, 9 класс Учебник, авторы: Арефьева Ирина Глебовна, Пирютко Ольга Николаевна, издательство Народная асвета, Минск, 2019, голубого цвета, страница 251, номер 4.242, Решение
Решение 2. №4.242 (с. 251)

Для нахождения суммы первых восьми членов геометрической прогрессии $S_8$ воспользуемся формулой:

$S_n = \frac{x_1(1 - q^n)}{1 - q}$

В этой формуле нам неизвестен первый член прогрессии $x_1$. Найдем его, используя формулу n-го члена геометрической прогрессии $x_n = x_1 q^{n-1}$ и данные из условия: $x_3 = \frac{3}{32}$ и $q = \frac{1}{2}$.

Подставим $n=3$ в формулу n-го члена:

$x_3 = x_1 \cdot q^{3-1} = x_1 \cdot q^2$

Теперь подставим известные значения $x_3$ и $q$ и выразим $x_1$:

$\frac{3}{32} = x_1 \cdot (\frac{1}{2})^2$

$\frac{3}{32} = x_1 \cdot \frac{1}{4}$

$x_1 = \frac{3}{32} \cdot 4 = \frac{12}{32} = \frac{3}{8}$

Итак, первый член прогрессии $x_1 = \frac{3}{8}$.

Теперь, когда мы знаем $x_1$, $q$ и $n=8$, мы можем вычислить сумму $S_8$.

Сначала вычислим $q^8$:

$q^8 = (\frac{1}{2})^8 = \frac{1^8}{2^8} = \frac{1}{256}$

Подставим все известные значения в формулу суммы:

$S_8 = \frac{x_1(1 - q^8)}{1 - q} = \frac{\frac{3}{8}(1 - \frac{1}{256})}{1 - \frac{1}{2}}$

Выполним вычисления в числителе и знаменателе:

$S_8 = \frac{\frac{3}{8}(\frac{256}{256} - \frac{1}{256})}{\frac{1}{2}} = \frac{\frac{3}{8} \cdot \frac{255}{256}}{\frac{1}{2}}$

Чтобы разделить на дробь $\frac{1}{2}$, нужно умножить на обратную ей дробь, то есть на 2:

$S_8 = \frac{3 \cdot 255}{8 \cdot 256} \cdot 2 = \frac{3 \cdot 255 \cdot 2}{8 \cdot 256}$

Сократим 2 и 8:

$S_8 = \frac{3 \cdot 255}{4 \cdot 256} = \frac{765}{1024}$

Полученная дробь $\frac{765}{1024}$ является правильной, так как числитель меньше знаменателя. Следовательно, ее целая часть равна 0.

Ответ: $\frac{765}{1024}$

Помогло решение? Оставьте отзыв в комментариях ниже.

Присоединяйтесь к Телеграм-группе @gdz_by_belarus

Присоединиться

Мы подготовили для вас ответ c подробным объяснением домашего задания по алгебре за 9 класс, для упражнения номер 4.242 расположенного на странице 251 к учебнику 2019 года издания для учащихся школ и гимназий.

Теперь на нашем сайте ГДЗ.ТОП вы всегда легко и бесплатно найдёте условие с правильным ответом на вопрос «Как решить ДЗ» и «Как сделать» задание по алгебре к упражнению №4.242 (с. 251), авторов: Арефьева (Ирина Глебовна), Пирютко (Ольга Николаевна), учебного пособия издательства Народная асвета.