Номер 1.377, страница 125 - гдз по алгебре 10 класс учебник Арефьева, Пирютко

Алгебра, 10 класс Учебник, авторы: Арефьева Ирина Глебовна, Пирютко Ольга Николаевна, издательство Народная асвета, Минск, 2019, голубого цвета

Авторы: Арефьева И. Г., Пирютко О. Н.

Тип: Учебник

Издательство: Народная асвета

Год издания: 2019 - 2025

Цвет обложки: голубой с графиком

Допущено Министерством образования Республики Беларусь

Популярные ГДЗ в 10 классе

Глава 1. Тригонометрия. Параграф 9. Формулы приведения - номер 1.377, страница 125.

№1.377 (с. 125)
Условие. №1.377 (с. 125)
скриншот условия
Алгебра, 10 класс Учебник, авторы: Арефьева Ирина Глебовна, Пирютко Ольга Николаевна, издательство Народная асвета, Минск, 2019, голубого цвета, страница 125, номер 1.377, Условие

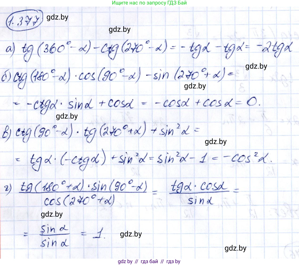
1.377. Упростите выражение:

a) $tg(360^{\circ} - \alpha) - ctg(270^{\circ} - \alpha);$

б) $ctg(180^{\circ} - \alpha) \cdot \cos(90^{\circ} - \alpha) - \sin(270^{\circ} + \alpha);$

В) $ctg(90^{\circ} - \alpha) \cdot tg(270^{\circ} + \alpha) + \sin^2 \alpha;$

Г) $\frac{tg(180^{\circ} + \alpha) \cdot \sin(90^{\circ} - \alpha)}{\cos(270^{\circ} + \alpha)}.$

Решение. №1.377 (с. 125)
Алгебра, 10 класс Учебник, авторы: Арефьева Ирина Глебовна, Пирютко Ольга Николаевна, издательство Народная асвета, Минск, 2019, голубого цвета, страница 125, номер 1.377, Решение
Решение 2. №1.377 (с. 125)

а) Для упрощения выражения $tg(360^\circ - \alpha) - ctg(270^\circ - \alpha)$ воспользуемся формулами приведения, которые позволяют свести тригонометрические функции произвольного угла к функциям острого угла.

1. Рассмотрим $tg(360^\circ - \alpha)$. Угол $360^\circ$ находится на горизонтальной оси единичной окружности, поэтому название функции (тангенс) не меняется. Угол $(360^\circ - \alpha)$ находится в IV четверти, где тангенс имеет отрицательный знак. Таким образом:
$tg(360^\circ - \alpha) = -tg(\alpha)$

2. Рассмотрим $ctg(270^\circ - \alpha)$. Угол $270^\circ$ находится на вертикальной оси, поэтому название функции меняется на "кофункцию" (котангенс на тангенс). Угол $(270^\circ - \alpha)$ находится в III четверти, где котангенс имеет положительный знак. Таким образом:
$ctg(270^\circ - \alpha) = tg(\alpha)$

3. Подставим полученные значения в исходное выражение:
$tg(360^\circ - \alpha) - ctg(270^\circ - \alpha) = -tg(\alpha) - tg(\alpha) = -2tg(\alpha)$

Ответ: $-2tg(\alpha)$

б) Упростим выражение $ctg(180^\circ - \alpha) \cdot cos(90^\circ - \alpha) - sin(270^\circ + \alpha)$ по частям, используя формулы приведения.

1. $ctg(180^\circ - \alpha)$: Угол во II четверти (котангенс отрицательный), $180^\circ$ на горизонтальной оси (функция не меняется).
$ctg(180^\circ - \alpha) = -ctg(\alpha)$

2. $cos(90^\circ - \alpha)$: Угол в I четверти (косинус положительный), $90^\circ$ на вертикальной оси (функция меняется на синус).
$cos(90^\circ - \alpha) = sin(\alpha)$

3. $sin(270^\circ + \alpha)$: Угол в IV четверти (синус отрицательный), $270^\circ$ на вертикальной оси (функция меняется на косинус).
$sin(270^\circ + \alpha) = -cos(\alpha)$

4. Подставим упрощенные части в выражение и выполним преобразования, используя определение котангенса $ctg(\alpha) = \frac{cos(\alpha)}{sin(\alpha)}$:
$(-ctg(\alpha)) \cdot sin(\alpha) - (-cos(\alpha)) = -\frac{cos(\alpha)}{sin(\alpha)} \cdot sin(\alpha) + cos(\alpha) = -cos(\alpha) + cos(\alpha) = 0$

Ответ: $0$

в) Упростим выражение $ctg(90^\circ - \alpha) \cdot tg(270^\circ + \alpha) + sin^2\alpha$, используя формулы приведения.

1. $ctg(90^\circ - \alpha)$: Угол в I четверти (котангенс положительный), $90^\circ$ на вертикальной оси (функция меняется на тангенс).
$ctg(90^\circ - \alpha) = tg(\alpha)$

2. $tg(270^\circ + \alpha)$: Угол в IV четверти (тангенс отрицательный), $270^\circ$ на вертикальной оси (функция меняется на котангенс).
$tg(270^\circ + \alpha) = -ctg(\alpha)$

3. Подставим упрощенные части в выражение. Зная, что $tg(\alpha) \cdot ctg(\alpha) = 1$, получаем:
$tg(\alpha) \cdot (-ctg(\alpha)) + sin^2\alpha = -1 + sin^2\alpha$

4. Воспользуемся основным тригонометрическим тождеством $sin^2\alpha + cos^2\alpha = 1$. Из него следует, что $sin^2\alpha - 1 = -cos^2\alpha$.
Таким образом, $-1 + sin^2\alpha = -cos^2\alpha$.

Ответ: $-cos^2\alpha$

г) Упростим дробное выражение $\frac{tg(180^\circ + \alpha) \cdot sin(90^\circ - \alpha)}{cos(270^\circ + \alpha)}$.

1. Упростим числитель $tg(180^\circ + \alpha) \cdot sin(90^\circ - \alpha)$.
- $tg(180^\circ + \alpha)$: Угол в III четверти (тангенс положительный), $180^\circ$ на горизонтальной оси (функция не меняется). $tg(180^\circ + \alpha) = tg(\alpha)$.
- $sin(90^\circ - \alpha)$: Угол в I четверти (синус положительный), $90^\circ$ на вертикальной оси (функция меняется на косинус). $sin(90^\circ - \alpha) = cos(\alpha)$.
Числитель преобразуется в: $tg(\alpha) \cdot cos(\alpha) = \frac{sin(\alpha)}{cos(\alpha)} \cdot cos(\alpha) = sin(\alpha)$.

2. Упростим знаменатель $cos(270^\circ + \alpha)$.
Угол в IV четверти (косинус положительный), $270^\circ$ на вертикальной оси (функция меняется на синус).
$cos(270^\circ + \alpha) = sin(\alpha)$.

3. Подставим упрощенные числитель и знаменатель в дробь:
$\frac{sin(\alpha)}{sin(\alpha)} = 1$ (при условии, что $sin(\alpha) \neq 0$, что является областью определения исходного выражения).

Ответ: $1$

Помогло решение? Оставьте отзыв в комментариях ниже.

Присоединяйтесь к Телеграм-группе @gdz_by_belarus

Присоединиться

Мы подготовили для вас ответ c подробным объяснением домашего задания по алгебре за 10 класс, для упражнения номер 1.377 расположенного на странице 125 к учебнику 2019 года издания для учащихся школ и гимназий.

Теперь на нашем сайте ГДЗ.ТОП вы всегда легко и бесплатно найдёте условие с правильным ответом на вопрос «Как решить ДЗ» и «Как сделать» задание по алгебре к упражнению №1.377 (с. 125), авторов: Арефьева (Ирина Глебовна), Пирютко (Ольга Николаевна), учебного пособия издательства Народная асвета.