Номер 1.382, страница 126 - гдз по алгебре 10 класс учебник Арефьева, Пирютко

Алгебра, 10 класс Учебник, авторы: Арефьева Ирина Глебовна, Пирютко Ольга Николаевна, издательство Народная асвета, Минск, 2019, голубого цвета

Авторы: Арефьева И. Г., Пирютко О. Н.

Тип: Учебник

Издательство: Народная асвета

Год издания: 2019 - 2025

Цвет обложки: голубой с графиком

Допущено Министерством образования Республики Беларусь

Популярные ГДЗ в 10 классе

Глава 1. Тригонометрия. Параграф 9. Формулы приведения - номер 1.382, страница 126.

№1.382 (с. 126)
Условие. №1.382 (с. 126)
скриншот условия
Алгебра, 10 класс Учебник, авторы: Арефьева Ирина Глебовна, Пирютко Ольга Николаевна, издательство Народная асвета, Минск, 2019, голубого цвета, страница 126, номер 1.382, Условие

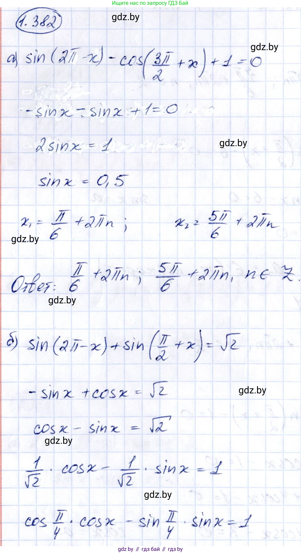
1.382. Найдите все корни уравнения:

a) $\sin(2\pi - x) - \cos\left(\frac{3\pi}{2} + x\right) + 1 = 0;$

б) $\sin(2\pi - x) + \sin\left(\frac{\pi}{2} + x\right) = \sqrt{2}.$

Решение. №1.382 (с. 126)
Алгебра, 10 класс Учебник, авторы: Арефьева Ирина Глебовна, Пирютко Ольга Николаевна, издательство Народная асвета, Минск, 2019, голубого цвета, страница 126, номер 1.382, Решение Алгебра, 10 класс Учебник, авторы: Арефьева Ирина Глебовна, Пирютко Ольга Николаевна, издательство Народная асвета, Минск, 2019, голубого цвета, страница 126, номер 1.382, Решение (продолжение 2)
Решение 2. №1.382 (с. 126)

а) $ \sin(2\pi - x) - \cos(\frac{3\pi}{2} + x) + 1 = 0 $

Для решения данного уравнения воспользуемся формулами приведения, чтобы упростить тригонометрические функции.

1. Упростим $ \sin(2\pi - x) $. Угол $ (2\pi - x) $ находится в IV четверти, где синус отрицателен. Период $2\pi$ можно отбросить, поэтому функция не меняется.
$ \sin(2\pi - x) = \sin(-x) = -\sin(x) $.

2. Упростим $ \cos(\frac{3\pi}{2} + x) $. Угол $ (\frac{3\pi}{2} + x) $ находится в IV четверти, где косинус положителен. Так как в формуле присутствует $ \frac{3\pi}{2} $, функция меняется на кофункцию (косинус на синус).
$ \cos(\frac{3\pi}{2} + x) = \sin(x) $.

Подставим упрощенные выражения в исходное уравнение:

$ (-\sin(x)) - (\sin(x)) + 1 = 0 $

$ -2\sin(x) + 1 = 0 $

Выразим $ \sin(x) $:

$ -2\sin(x) = -1 $

$ \sin(x) = \frac{1}{2} $

Это простейшее тригонометрическое уравнение. Его решения можно представить в виде двух серий корней:

$ x = \frac{\pi}{6} + 2\pi k, \quad k \in \mathbb{Z} $

$ x = \pi - \frac{\pi}{6} + 2\pi k = \frac{5\pi}{6} + 2\pi k, \quad k \in \mathbb{Z} $

В таком виде записи коэффициенты при $ \pi $ ($ \frac{1}{6} $ и $ \frac{5}{6} $) являются правильными дробями.

Ответ: $ x = \frac{\pi}{6} + 2\pi k, k \in \mathbb{Z}; \quad x = \frac{5\pi}{6} + 2\pi k, k \in \mathbb{Z} $.


б) $ \sin(2\pi - x) + \sin(\frac{\pi}{2} + x) = \sqrt{2} $

Аналогично пункту а), применим формулы приведения.

1. $ \sin(2\pi - x) = -\sin(x) $.

2. Упростим $ \sin(\frac{\pi}{2} + x) $. Угол $ (\frac{\pi}{2} + x) $ находится во II четверти, где синус положителен. Функция меняется на кофункцию (синус на косинус).
$ \sin(\frac{\pi}{2} + x) = \cos(x) $.

Подставим упрощенные выражения в уравнение:

$ -\sin(x) + \cos(x) = \sqrt{2} $

$ \cos(x) - \sin(x) = \sqrt{2} $

Это уравнение вида $ a\cos(x) + b\sin(x) = c $. Решим его методом введения вспомогательного угла. Разделим обе части уравнения на $ \sqrt{a^2 + b^2} = \sqrt{1^2 + (-1)^2} = \sqrt{2} $:

$ \frac{1}{\sqrt{2}}\cos(x) - \frac{1}{\sqrt{2}}\sin(x) = \frac{\sqrt{2}}{\sqrt{2}} $

$ \frac{1}{\sqrt{2}}\cos(x) - \frac{1}{\sqrt{2}}\sin(x) = 1 $

Заметим, что $ \frac{1}{\sqrt{2}} = \cos(\frac{\pi}{4}) $ и $ \frac{1}{\sqrt{2}} = \sin(\frac{\pi}{4}) $. Подставим эти значения:

$ \cos(\frac{\pi}{4})\cos(x) - \sin(\frac{\pi}{4})\sin(x) = 1 $

Свернем левую часть по формуле косинуса суммы $ \cos(\alpha + \beta) = \cos\alpha\cos\beta - \sin\alpha\sin\beta $:

$ \cos(x + \frac{\pi}{4}) = 1 $

Это простейшее тригонометрическое уравнение. Косинус равен 1, когда его аргумент равен $ 2\pi n $ для любого целого $ n $.

$ x + \frac{\pi}{4} = 2\pi n, \quad n \in \mathbb{Z} $

Выразим $x$:

$ x = -\frac{\pi}{4} + 2\pi n, \quad n \in \mathbb{Z} $

В данной форме записи коэффициент при $ \pi $ ($-\frac{1}{4}$) является правильной дробью, поэтому выделение целой части не требуется.

Ответ: $ x = -\frac{\pi}{4} + 2\pi n, n \in \mathbb{Z} $.

Помогло решение? Оставьте отзыв в комментариях ниже.

Присоединяйтесь к Телеграм-группе @gdz_by_belarus

Присоединиться

Мы подготовили для вас ответ c подробным объяснением домашего задания по алгебре за 10 класс, для упражнения номер 1.382 расположенного на странице 126 к учебнику 2019 года издания для учащихся школ и гимназий.

Теперь на нашем сайте ГДЗ.ТОП вы всегда легко и бесплатно найдёте условие с правильным ответом на вопрос «Как решить ДЗ» и «Как сделать» задание по алгебре к упражнению №1.382 (с. 126), авторов: Арефьева (Ирина Глебовна), Пирютко (Ольга Николаевна), учебного пособия издательства Народная асвета.