Номер 587, страница 129 - гдз по химии 10 класс сборник задач Матулис, Матулис

Химия, 10 класс Сборник задач, авторы: Матулис Вадим Эдвардович, Матулис Виталий Эдвардович, Колевич Татьяна Александровна, издательство Национальный институт образования, Минск, 2021

Авторы: Матулис В. Э., Матулис В. Э., Колевич Т. А.

Тип: Сборник задач

Издательство: Национальный институт образования

Год издания: 2021 - 2025

Уровень обучения: базовый и повышенный

Цвет обложки: синий

ISBN: 978-985-594-959-7

Допущено Министерством образования Республики Беларусь

Популярные ГДЗ в 10 классе

Глава 3. Кислородсодержащие органические соединения. 3.3. Альдегиды - номер 587, страница 129.

№587 (с. 129)
Условие. №587 (с. 129)
скриншот условия
Химия, 10 класс Сборник задач, авторы: Матулис Вадим Эдвардович, Матулис Виталий Эдвардович, Колевич Татьяна Александровна, издательство Национальный институт образования, Минск, 2021, страница 129, номер 587, Условие

587. При окислении 80 г водного раствора этанола и формальдегида избытком подкисленного раствора $KMnO_4$ получили 15 г карбоновой кислоты и газ, который с избытком известковой воды образует осадок массой 20 г. Определите массовые доли спирта и альдегида в исходном водном растворе.

Решение. №587 (с. 129)
Химия, 10 класс Сборник задач, авторы: Матулис Вадим Эдвардович, Матулис Виталий Эдвардович, Колевич Татьяна Александровна, издательство Национальный институт образования, Минск, 2021, страница 129, номер 587, Решение
Решение 2. №587 (с. 129)

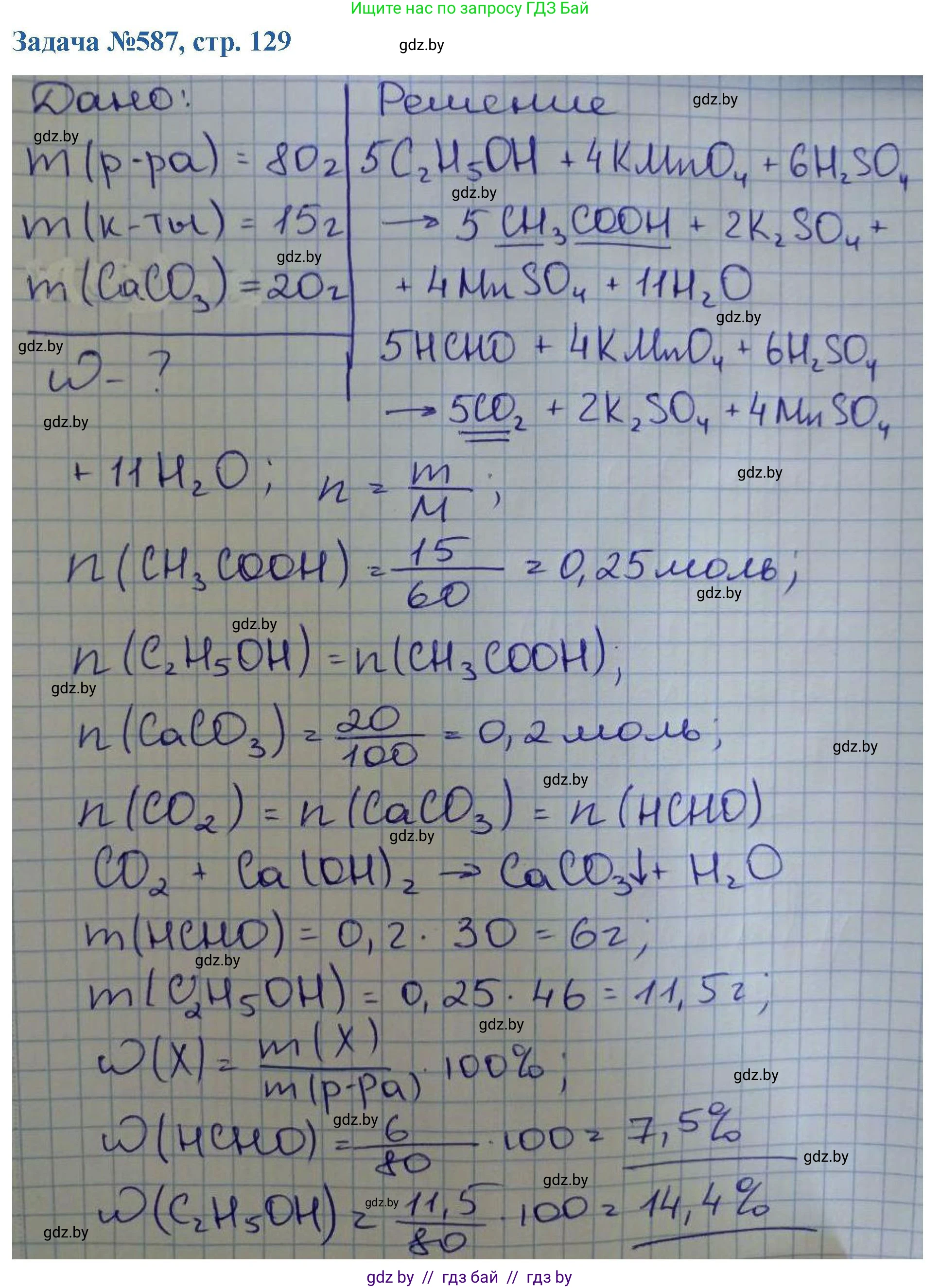
Дано:

$m(\text{р-ра}) = 80 \text{ г}$
$m(\text{карбоновой кислоты}) = 15 \text{ г}$
$m(\text{осадка}) = 20 \text{ г}$

Найти:

$\omega(C_2H_5OH) - ?$
$\omega(CH_2O) - ?$

Решение:

В ходе окисления смеси этанола и формальдегида избытком подкисленного раствора перманганата калия происходят следующие реакции:

1. Этанол ($C_2H_5OH$) как первичный спирт окисляется до карбоновой кислоты с тем же числом атомов углерода — уксусной кислоты ($CH_3COOH$).

$5C_2H_5OH + 4KMnO_4 + 6H_2SO_4 \rightarrow 5CH_3COOH + 2K_2SO_4 + 4MnSO_4 + 11H_2O$

2. Формальдегид ($HCHO$) в жестких условиях окисляется до углекислого газа ($CO_2$) и воды.

$5HCHO + 4KMnO_4 + 6H_2SO_4 \rightarrow 5CO_2 \uparrow + 2K_2SO_4 + 4MnSO_4 + 11H_2O$

3. Выделившийся газ ($CO_2$) реагирует с избытком известковой воды ($Ca(OH)_2$) с образованием нерастворимого осадка — карбоната кальция ($CaCO_3$).

$CO_2 + Ca(OH)_2 \rightarrow CaCO_3 \downarrow + H_2O$

Исходя из данных задачи, мы можем найти массы исходных веществ.

Сначала определим массу формальдегида в исходном растворе, используя массу образовавшегося осадка.

Найдем количество вещества карбоната кальция ($CaCO_3$):

$M(CaCO_3) = 40 + 12 + 3 \cdot 16 = 100 \text{ г/моль}$

$n(CaCO_3) = \frac{m(CaCO_3)}{M(CaCO_3)} = \frac{20 \text{ г}}{100 \text{ г/моль}} = 0.2 \text{ моль}$

По уравнению реакции (3), количество вещества углекислого газа равно количеству вещества карбоната кальция:

$n(CO_2) = n(CaCO_3) = 0.2 \text{ моль}$

По уравнению реакции (2), количество вещества формальдегида равно количеству вещества углекислого газа:

$n(HCHO) = n(CO_2) = 0.2 \text{ моль}$

Теперь найдем массу формальдегида:

$M(HCHO) = 12 + 2 \cdot 1 + 16 = 30 \text{ г/моль}$

$m(HCHO) = n(HCHO) \cdot M(HCHO) = 0.2 \text{ моль} \cdot 30 \text{ г/моль} = 6 \text{ г}$

Далее определим массу этанола в исходном растворе, используя массу образовавшейся карбоновой кислоты (уксусной кислоты).

Найдем количество вещества уксусной кислоты ($CH_3COOH$):

$M(CH_3COOH) = 2 \cdot 12 + 4 \cdot 1 + 2 \cdot 16 = 60 \text{ г/моль}$

$n(CH_3COOH) = \frac{m(CH_3COOH)}{M(CH_3COOH)} = \frac{15 \text{ г}}{60 \text{ г/моль}} = 0.25 \text{ моль}$

По уравнению реакции (1), количество вещества этанола равно количеству вещества уксусной кислоты:

$n(C_2H_5OH) = n(CH_3COOH) = 0.25 \text{ моль}$

Теперь найдем массу этанола:

$M(C_2H_5OH) = 2 \cdot 12 + 6 \cdot 1 + 16 = 46 \text{ г/моль}$

$m(C_2H_5OH) = n(C_2H_5OH) \cdot M(C_2H_5OH) = 0.25 \text{ моль} \cdot 46 \text{ г/моль} = 11.5 \text{ г}$

Наконец, рассчитаем массовые доли этанола и формальдегида в исходном 80 г водном растворе.

Массовая доля этанола:

$\omega(C_2H_5OH) = \frac{m(C_2H_5OH)}{m(\text{р-ра})} \cdot 100\% = \frac{11.5 \text{ г}}{80 \text{ г}} \cdot 100\% = 14.375\%$

Массовая доля формальдегида:

$\omega(HCHO) = \frac{m(HCHO)}{m(\text{р-ра})} \cdot 100\% = \frac{6 \text{ г}}{80 \text{ г}} \cdot 100\% = 7.5\%$

Ответ: массовая доля этанола в исходном растворе составляет 14.375%, а массовая доля формальдегида — 7.5%.

Помогло решение? Оставьте отзыв в комментариях ниже.

Присоединяйтесь к Телеграм-группе @gdz_by_belarus

Присоединиться

Мы подготовили для вас ответ c подробным объяснением домашего задания по химии за 10 класс, для упражнения номер 587 расположенного на странице 129 к сборнику задач 2021 года издания для учащихся школ и гимназий.

Теперь на нашем сайте ГДЗ.ТОП вы всегда легко и бесплатно найдёте условие с правильным ответом на вопрос «Как решить ДЗ» и «Как сделать» задание по химии к упражнению №587 (с. 129), авторов: Матулис (Вадим Эдвардович), Матулис (Виталий Эдвардович), Колевич (Татьяна Александровна), базовый и повышенный уровень обучения учебного пособия издательства Национальный институт образования.