Номер 748, страница 168 - гдз по химии 10 класс сборник задач Матулис, Матулис

Химия, 10 класс Сборник задач, авторы: Матулис Вадим Эдвардович, Матулис Виталий Эдвардович, Колевич Татьяна Александровна, издательство Национальный институт образования, Минск, 2021

Авторы: Матулис В. Э., Матулис В. Э., Колевич Т. А.

Тип: Сборник задач

Издательство: Национальный институт образования

Год издания: 2021 - 2025

Уровень обучения: базовый и повышенный

Цвет обложки: синий

ISBN: 978-985-594-959-7

Допущено Министерством образования Республики Беларусь

Популярные ГДЗ в 10 классе

Глава 3. Кислородсодержащие органические соединения. 3.5. Сложные эфиры. Жиры - номер 748, страница 168.

№748 (с. 168)
Условие. №748 (с. 168)
скриншот условия
Химия, 10 класс Сборник задач, авторы: Матулис Вадим Эдвардович, Матулис Виталий Эдвардович, Колевич Татьяна Александровна, издательство Национальный институт образования, Минск, 2021, страница 168, номер 748, Условие

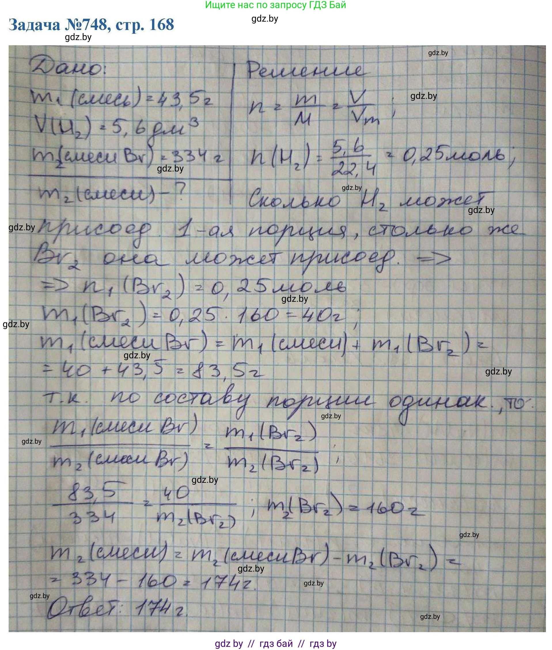
748. Смесь триглицеридов разделили на две порции. На полное гидрирование первой порции массой 43,5 г затрачен водород объемом 5,60 дм3 (н. у.). При взаимодействии второй порции этой смеси триглицеридов с избытком раствора брома было получено 334 г смеси бромпроизводных. Найдите массу второй порции смеси триглицеридов.

Решение. №748 (с. 168)
Химия, 10 класс Сборник задач, авторы: Матулис Вадим Эдвардович, Матулис Виталий Эдвардович, Колевич Татьяна Александровна, издательство Национальный институт образования, Минск, 2021, страница 168, номер 748, Решение
Решение 2. №748 (с. 168)

Дано:

$m_1(\text{смеси}) = 43,5 \text{ г}$
$V(H_2) = 5,60 \text{ дм}^3$
$m(\text{бромпроизводных}) = 334 \text{ г}$

Поскольку объем водорода дан при нормальных условиях (н. у.), используем молярный объем газа:

$V_m = 22,4 \text{ дм}^3/\text{моль}$

Найти:

$m_2(\text{смеси}) - ?$

Решение:

Триглицериды в смеси содержат остатки непредельных карбоновых кислот, которые имеют двойные связи $C=C$. Реакции гидрирования (присоединение водорода) и бромирования (присоединение брома) происходят по этим двойным связям. Стехиометрическое соотношение в обеих реакциях одинаково: одна молекула $H_2$ или $Br_2$ присоединяется по месту одной двойной связи.

$-C=C- + H_2 \rightarrow -CH-CH-$

$-C=C- + Br_2 \rightarrow -CBr-CBr-$

Это означает, что количество моль двойных связей в порции триглицеридов равно количеству моль прореагировавшего водорода или брома.

1. Найдем количество вещества (моль) водорода, затраченного на гидрирование первой порции смеси. Используем формулу, связывающую объем газа с количеством вещества при нормальных условиях:

$n(H_2) = \frac{V(H_2)}{V_m} = \frac{5,60 \text{ дм}^3}{22,4 \text{ дм}^3/\text{моль}} = 0,25 \text{ моль}$

2. Количество вещества двойных связей $C=C$ в первой порции смеси равно количеству вещества водорода:

$n_1(C=C) = n(H_2) = 0,25 \text{ моль}$

3. Так как обе порции были взяты из одной и той же смеси, то соотношение количества вещества двойных связей к массе смеси для них одинаково. Обозначим массу второй порции как $m_2$, а количество вещества двойных связей в ней как $n_2(C=C)$.

$\frac{n_1(C=C)}{m_1} = \frac{n_2(C=C)}{m_2}$

4. При взаимодействии второй порции с бромом, количество вещества прореагировавшего брома $n(Br_2)$ равно количеству вещества двойных связей во второй порции $n_2(C=C)$:

$n(Br_2) = n_2(C=C)$

Из пропорции в пункте 3, выразим $n(Br_2)$:

$n(Br_2) = \frac{n_1(C=C)}{m_1} \cdot m_2 = \frac{0,25 \text{ моль}}{43,5 \text{ г}} \cdot m_2$

5. Масса полученных бромпроизводных складывается из массы второй порции триглицеридов ($m_2$) и массы присоединившегося брома ($m(Br_2)$):

$m(\text{бромпроизводных}) = m_2 + m(Br_2)$

Массу брома найдем через его количество вещества и молярную массу ($M(Br_2) = 2 \cdot 80 = 160 \text{ г/моль}$):

$m(Br_2) = n(Br_2) \cdot M(Br_2) = (\frac{0,25}{43,5} \cdot m_2) \cdot 160$

6. Подставим все известные значения в уравнение для массы бромпроизводных и решим его относительно $m_2$:

$334 = m_2 + (\frac{0,25}{43,5} \cdot m_2) \cdot 160$

Вынесем $m_2$ за скобки:

$334 = m_2 \cdot (1 + \frac{0,25 \cdot 160}{43,5})$

$334 = m_2 \cdot (1 + \frac{40}{43,5})$

$334 = m_2 \cdot (\frac{43,5 + 40}{43,5})$

$334 = m_2 \cdot \frac{83,5}{43,5}$

Отсюда находим $m_2$:

$m_2 = \frac{334 \cdot 43,5}{83,5} = \frac{14529}{83,5} = 174 \text{ г}$

Ответ: 174 г.

Помогло решение? Оставьте отзыв в комментариях ниже.

Присоединяйтесь к Телеграм-группе @gdz_by_belarus

Присоединиться

Мы подготовили для вас ответ c подробным объяснением домашего задания по химии за 10 класс, для упражнения номер 748 расположенного на странице 168 к сборнику задач 2021 года издания для учащихся школ и гимназий.

Теперь на нашем сайте ГДЗ.ТОП вы всегда легко и бесплатно найдёте условие с правильным ответом на вопрос «Как решить ДЗ» и «Как сделать» задание по химии к упражнению №748 (с. 168), авторов: Матулис (Вадим Эдвардович), Матулис (Виталий Эдвардович), Колевич (Татьяна Александровна), базовый и повышенный уровень обучения учебного пособия издательства Национальный институт образования.