Номер 1.5, страница 12 - гдз по алгебре 11 класс учебник Арефьева, Пирютко

Алгебра, 11 класс Учебник, авторы: Арефьева Ирина Глебовна, Пирютко Ольга Николаевна, издательство Народная асвета, Минск, 2020, бирюзового цвета

Авторы: Арефьева И. Г., Пирютко О. Н.

Тип: Учебник

Издательство: Народная асвета

Год издания: 2020 - 2025

Цвет обложки: бирюзовый, зелёный с графиком

ISBN: 978-985-03-3165-6

Популярные ГДЗ в 11 классе

Глава 1. Обобщение понятия степени. Параграф 1. Степень с рациональным показателем и ее свойства. Степень с действительным показателем - номер 1.5, страница 12.

№1.5 (с. 12)
Условие. №1.5 (с. 12)
скриншот условия
Алгебра, 11 класс Учебник, авторы: Арефьева Ирина Глебовна, Пирютко Ольга Николаевна, издательство Народная асвета, Минск, 2020, бирюзового цвета, страница 12, номер 1.5, Условие

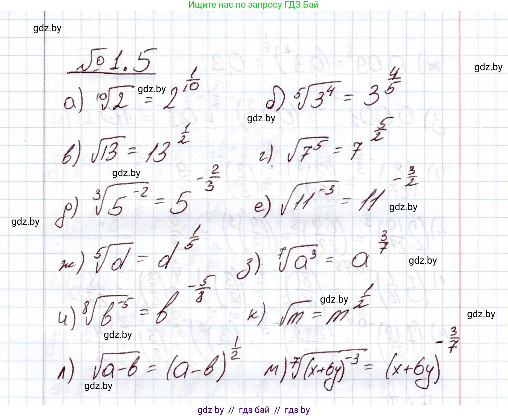
1.5. Представьте корень в виде степени с рациональным показателем:

а) $$\\sqrt[10]{2}$$

б) $$\\sqrt[5]{3^4}$$

в) $$\\sqrt{13}$$

г) $$\\sqrt{7^5}$$

д) $$\\sqrt[3]{5^{-2}}$$

е) $$\\sqrt{11^{-3}}$$

ж) $$\\sqrt[5]{d}$$

з) $$\\sqrt[7]{a^3}$$

и) $$\\sqrt[8]{b^{-5}}$$

к) $$\\sqrt{m}$$

л) $$\\sqrt{a-b}$$

м) $$\\sqrt[7]{(x+6y)^{-3}}$$

Решение. №1.5 (с. 12)
Алгебра, 11 класс Учебник, авторы: Арефьева Ирина Глебовна, Пирютко Ольга Николаевна, издательство Народная асвета, Минск, 2020, бирюзового цвета, страница 12, номер 1.5, Решение
Решение 2. №1.5 (с. 12)

Чтобы представить корень в виде степени с рациональным показателем, используется следующая формула: $ \sqrt[n]{a^m} = a^{\frac{m}{n}} $. В этой формуле $a$ – подкоренное выражение (основание степени); $n$ – показатель корня (если он не указан, то это квадратный корень и $n=2$); $m$ – показатель степени подкоренного выражения (если он не указан, то $m=1$).

Применим эту формулу к каждому из примеров.

а) В выражении $ \sqrt[10]{2} $ основание $a=2$, показатель корня $n=10$, а показатель степени подкоренного выражения $m=1$.
Применяя формулу, получаем: $ \sqrt[10]{2} = 2^{\frac{1}{10}} $.
Ответ: $2^{\frac{1}{10}}$

б) В выражении $ \sqrt[5]{3^4} $ основание $a=3$, показатель корня $n=5$, показатель степени $m=4$.
Применяя формулу, получаем: $ \sqrt[5]{3^4} = 3^{\frac{4}{5}} $.
Ответ: $3^{\frac{4}{5}}$

в) В выражении $ \sqrt{13} $ показатель корня не указан, значит, это квадратный корень и $n=2$. Основание $a=13$, а показатель степени $m=1$.
Применяя формулу, получаем: $ \sqrt{13} = 13^{\frac{1}{2}} $.
Ответ: $13^{\frac{1}{2}}$

г) В выражении $ \sqrt{7^5} $ показатель корня $n=2$. Основание $a=7$, показатель степени $m=5$.
Применяя формулу, получаем: $ \sqrt{7^5} = 7^{\frac{5}{2}} $.
Ответ: $7^{\frac{5}{2}}$

д) В выражении $ \sqrt[3]{5^{-2}} $ основание $a=5$, показатель корня $n=3$, показатель степени $m=-2$.
Применяя формулу, получаем: $ \sqrt[3]{5^{-2}} = 5^{-\frac{2}{3}} $.
Ответ: $5^{-\frac{2}{3}}$

е) В выражении $ \sqrt{11^{-3}} $ показатель корня $n=2$. Основание $a=11$, показатель степени $m=-3$.
Применяя формулу, получаем: $ \sqrt{11^{-3}} = 11^{-\frac{3}{2}} $.
Ответ: $11^{-\frac{3}{2}}$

ж) В выражении $ \sqrt[5]{d} $ основание $a=d$, показатель корня $n=5$, показатель степени $m=1$.
Применяя формулу, получаем: $ \sqrt[5]{d} = d^{\frac{1}{5}} $.
Ответ: $d^{\frac{1}{5}}$

з) В выражении $ \sqrt[7]{a^3} $ основание $a$, показатель корня $n=7$, показатель степени $m=3$.
Применяя формулу, получаем: $ \sqrt[7]{a^3} = a^{\frac{3}{7}} $.
Ответ: $a^{\frac{3}{7}}$

и) В выражении $ \sqrt[8]{b^{-5}} $ основание $b$, показатель корня $n=8$, показатель степени $m=-5$.
Применяя формулу, получаем: $ \sqrt[8]{b^{-5}} = b^{-\frac{5}{8}} $.
Ответ: $b^{-\frac{5}{8}}$

к) В выражении $ \sqrt{m} $ показатель корня $n=2$, основание $m$, показатель степени $m=1$.
Применяя формулу, получаем: $ \sqrt{m} = m^{\frac{1}{2}} $.
Ответ: $m^{\frac{1}{2}}$

л) В выражении $ \sqrt{a-b} $ подкоренное выражение является основанием $(a-b)$. Показатель корня $n=2$, а показатель степени $m=1$.
Применяя формулу, получаем: $ \sqrt{a-b} = (a-b)^{\frac{1}{2}} $.
Ответ: $(a-b)^{\frac{1}{2}}$

м) В выражении $ \sqrt[7]{(x+6y)^{-3}} $ основание $(x+6y)$, показатель корня $n=7$, показатель степени $m=-3$.
Применяя формулу, получаем: $ \sqrt[7]{(x+6y)^{-3}} = (x+6y)^{-\frac{3}{7}} $.
Ответ: $(x+6y)^{-\frac{3}{7}}$

Помогло решение? Оставьте отзыв в комментариях ниже.

Присоединяйтесь к Телеграм-группе @gdz_by_belarus

Присоединиться

Мы подготовили для вас ответ c подробным объяснением домашего задания по алгебре за 11 класс, для упражнения номер 1.5 расположенного на странице 12 к учебнику 2020 года издания для учащихся школ и гимназий.

Теперь на нашем сайте ГДЗ.ТОП вы всегда легко и бесплатно найдёте условие с правильным ответом на вопрос «Как решить ДЗ» и «Как сделать» задание по алгебре к упражнению №1.5 (с. 12), авторов: Арефьева (Ирина Глебовна), Пирютко (Ольга Николаевна), учебного пособия издательства Народная асвета.