Номер 815, страница 133 - гдз по химии 11 класс сборник задач Хвалюк, Резяпкин

Химия, 11 класс Сборник задач, авторы: Хвалюк Виктор Николаевич, Резяпкин Виктор Ильич, издательство Адукацыя i выхаванне, Минск, 2023, зелёного цвета

Авторы: Хвалюк В. Н., Резяпкин В. И.

Тип: Сборник задач

Издательство: Адукацыя i выхаванне

Год издания: 2023 - 2025

Цвет обложки: зелёный, голубой с колбами

ISBN: 978-985-599-534-1

Допущено Министерством образования Республики Беларусь

Популярные ГДЗ в 11 классе

Глава 6. Неметаллы. Параграф 29. Водород - номер 815, страница 133.

№815 (с. 133)
Условие. №815 (с. 133)
скриншот условия
Химия, 11 класс Сборник задач, авторы: Хвалюк Виктор Николаевич, Резяпкин Виктор Ильич, издательство Адукацыя i выхаванне, Минск, 2023, зелёного цвета, страница 133, номер 815, Условие

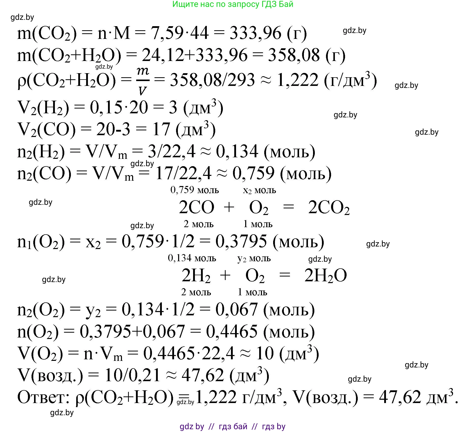
815. *Газовую смесь объемом (н. у.) $200 \text{ дм}^3$, содержащую $15 \%$ водорода по объёму и угарный газ, сожгли в необходимом количестве кислорода. Чему равна плотность газообразной смеси при $400 \text{ К}$ и $101,3 \text{ кПа}$, полученной в результате сжигания? Какой объём (н. у.) воздуха, содержащего $21 \%$ кислорода по объёму, требуется для полного сжигания исходной смеси объёмом $20 \text{ дм}^3$?

Решение. №815 (с. 133)
Химия, 11 класс Сборник задач, авторы: Хвалюк Виктор Николаевич, Резяпкин Виктор Ильич, издательство Адукацыя i выхаванне, Минск, 2023, зелёного цвета, страница 133, номер 815, Решение Химия, 11 класс Сборник задач, авторы: Хвалюк Виктор Николаевич, Резяпкин Виктор Ильич, издательство Адукацыя i выхаванне, Минск, 2023, зелёного цвета, страница 133, номер 815, Решение (продолжение 2)
Решение 3. №815 (с. 133)

Дано:

$V_{смеси1}$ = 200 дм³ (н. у.) = 0.2 м³

$\phi(H_2)$ = 15 % = 0.15

$\phi(CO)$ = 100 % - 15 % = 85 % = 0.85

T = 400 К

P = 101,3 кПа = 101300 Па

$V_{смеси2}$ = 20 дм³ (н. у.) = 0.02 м³

$\phi(O_2)_{воздуха}$ = 21 % = 0.21

$V_m$ = 22,4 дм³/моль (молярный объем при н. у.)

R = 8,314 Дж/(моль·К)

M($H_2O$) = 18 г/моль = 0.018 кг/моль

M($CO_2$) = 44 г/моль = 0.044 кг/моль

Найти:

$\rho_{конечной\;смеси}$ - ?

$V_{воздуха}$ - ?

Решение:

Задачу можно разделить на две части, соответствующие двум вопросам.

1. Чему равна плотность газообразной смеси при 400 К и 101,3 кПа, полученной в результате сжигания?

Сначала напишем уравнения реакций горения водорода и угарного газа:

$2H_2 + O_2 \rightarrow 2H_2O$

$2CO + O_2 \rightarrow 2CO_2$

Найдем объемы водорода и угарного газа в исходной смеси объемом 200 дм³ (при н.у.):

$V(H_2) = V_{смеси1} \cdot \phi(H_2) = 200 \text{ дм}^3 \cdot 0.15 = 30 \text{ дм}^3$

$V(CO) = V_{смеси1} \cdot \phi(CO) = 200 \text{ дм}^3 \cdot 0.85 = 170 \text{ дм}^3$

Согласно закону объемных отношений для газов (закон Гей-Люссака), при одинаковых условиях (н. у.) объемы реагирующих и образующихся газов соотносятся как их стехиометрические коэффициенты. Следовательно, из 30 дм³ водорода образуется 30 дм³ водяного пара, а из 170 дм³ угарного газа образуется 170 дм³ углекислого газа.

$V(H_2O) = V(H_2) = 30 \text{ дм}^3$

$V(CO_2) = V(CO) = 170 \text{ дм}^3$

Конечная газовая смесь состоит из водяного пара ($H_2O$) и углекислого газа ($CO_2$). Общий объем конечной смеси при н.у. будет:

$V_{конечная\;(н.у.)} = V(H_2O) + V(CO_2) = 30 \text{ дм}^3 + 170 \text{ дм}^3 = 200 \text{ дм}^3$

Объемная доля газа в смеси равна его мольной доле. Найдем объемные (и мольные) доли компонентов в конечной смеси:

$\phi(H_2O) = \frac{V(H_2O)}{V_{конечная\;(н.у.)}} = \frac{30}{200} = 0.15$

$\phi(CO_2) = \frac{V(CO_2)}{V_{конечная\;(н.у.)}} = \frac{170}{200} = 0.85$

Рассчитаем среднюю молярную массу конечной газовой смеси:

$M_{ср} = \phi(H_2O) \cdot M(H_2O) + \phi(CO_2) \cdot M(CO_2) = 0.15 \cdot 18 \text{ г/моль} + 0.85 \cdot 44 \text{ г/моль} = 2.7 + 37.4 = 40.1 \text{ г/моль}$

Плотность газа можно найти, используя следствие из уравнения состояния идеального газа $PV = \frac{m}{M}RT$, откуда $\rho = \frac{m}{V} = \frac{PM}{RT}$:

$\rho = \frac{P \cdot M_{ср}}{R \cdot T} = \frac{101300 \text{ Па} \cdot 0.0401 \text{ кг/моль}}{8.314 \text{ Дж/(моль}\cdot\text{К)} \cdot 400 \text{ К}} \approx 1.221 \text{ кг/м}^3$

Поскольку 1 кг/м³ = 1 г/дм³, плотность равна примерно 1.221 г/дм³.

Ответ: Плотность газообразной смеси при 400 К и 101,3 кПа составляет 1.221 г/дм³.

2. Какой объём (н. у.) воздуха, содержащего 21 % кислорода по объёму, требуется для полного сжигания исходной смеси объёмом 20 дм³?

Найдем объемы водорода и угарного газа в исходной смеси объемом 20 дм³ (при н.у.):

$V(H_2) = V_{смеси2} \cdot \phi(H_2) = 20 \text{ дм}^3 \cdot 0.15 = 3 \text{ дм}^3$

$V(CO) = V_{смеси2} \cdot \phi(CO) = 20 \text{ дм}^3 \cdot 0.85 = 17 \text{ дм}^3$

Исходя из уравнений реакций, определим необходимый объем кислорода для сжигания каждого компонента. Объем кислорода будет в 2 раза меньше объема сгораемого газа:

Для реакции $2H_2 + O_2 \rightarrow 2H_2O$:

$V(O_2)_1 = \frac{1}{2} V(H_2) = \frac{1}{2} \cdot 3 \text{ дм}^3 = 1.5 \text{ дм}^3$

Для реакции $2CO + O_2 \rightarrow 2CO_2$:

$V(O_2)_2 = \frac{1}{2} V(CO) = \frac{1}{2} \cdot 17 \text{ дм}^3 = 8.5 \text{ дм}^3$

Общий объем кислорода, необходимый для полного сжигания смеси:

$V(O_2)_{общ} = V(O_2)_1 + V(O_2)_2 = 1.5 \text{ дм}^3 + 8.5 \text{ дм}^3 = 10 \text{ дм}^3$

Зная, что объемная доля кислорода в воздухе составляет 21%, находим требуемый объем воздуха (при н.у.):

$V_{воздуха} = \frac{V(O_2)_{общ}}{\phi(O_2)_{воздуха}} = \frac{10 \text{ дм}^3}{0.21} \approx 47.62 \text{ дм}^3$

Ответ: Требуется 47.62 дм³ воздуха.

Помогло решение? Оставьте отзыв в комментариях ниже.

Присоединяйтесь к Телеграм-группе @gdz_by_belarus

Присоединиться

Мы подготовили для вас ответ c подробным объяснением домашего задания по химии за 11 класс, для упражнения номер 815 расположенного на странице 133 к сборнику задач 2023 года издания для учащихся школ и гимназий.

Теперь на нашем сайте ГДЗ.ТОП вы всегда легко и бесплатно найдёте условие с правильным ответом на вопрос «Как решить ДЗ» и «Как сделать» задание по химии к упражнению №815 (с. 133), авторов: Хвалюк (Виктор Николаевич), Резяпкин (Виктор Ильич), учебного пособия издательства Адукацыя i выхаванне.