Номер 7, страница 112 - гдз по математике 6 класс сборник задач Пирютко, Терешко

Математика, 6 класс Сборник задач, авторы: Пирютко Ольга Николаевна, Терешко Оксана Александровна, издательство Адукацыя i выхаванне, Минск, 2020, салатового цвета

Авторы: Пирютко О. Н., Терешко О. А.

Тип: Сборник задач

Издательство: Адукацыя i выхаванне

Год издания: 2020 - 2025

Цвет обложки: салатовый, белый, красный с учениками

ISBN: 978-985-599-225-8

Допущено Министерством образования Республики Беларусь

Популярные ГДЗ в 6 классе

Глава 4. Рациональные числа. Параграф 8. Деление рациональных чисел - номер 7, страница 112.

№7 (с. 112)
Условие. №7 (с. 112)
скриншот условия
Математика, 6 класс Сборник задач, авторы: Пирютко Ольга Николаевна, Терешко Оксана Александровна, издательство Адукацыя i выхаванне, Минск, 2020, салатового цвета, страница 112, номер 7, Условие

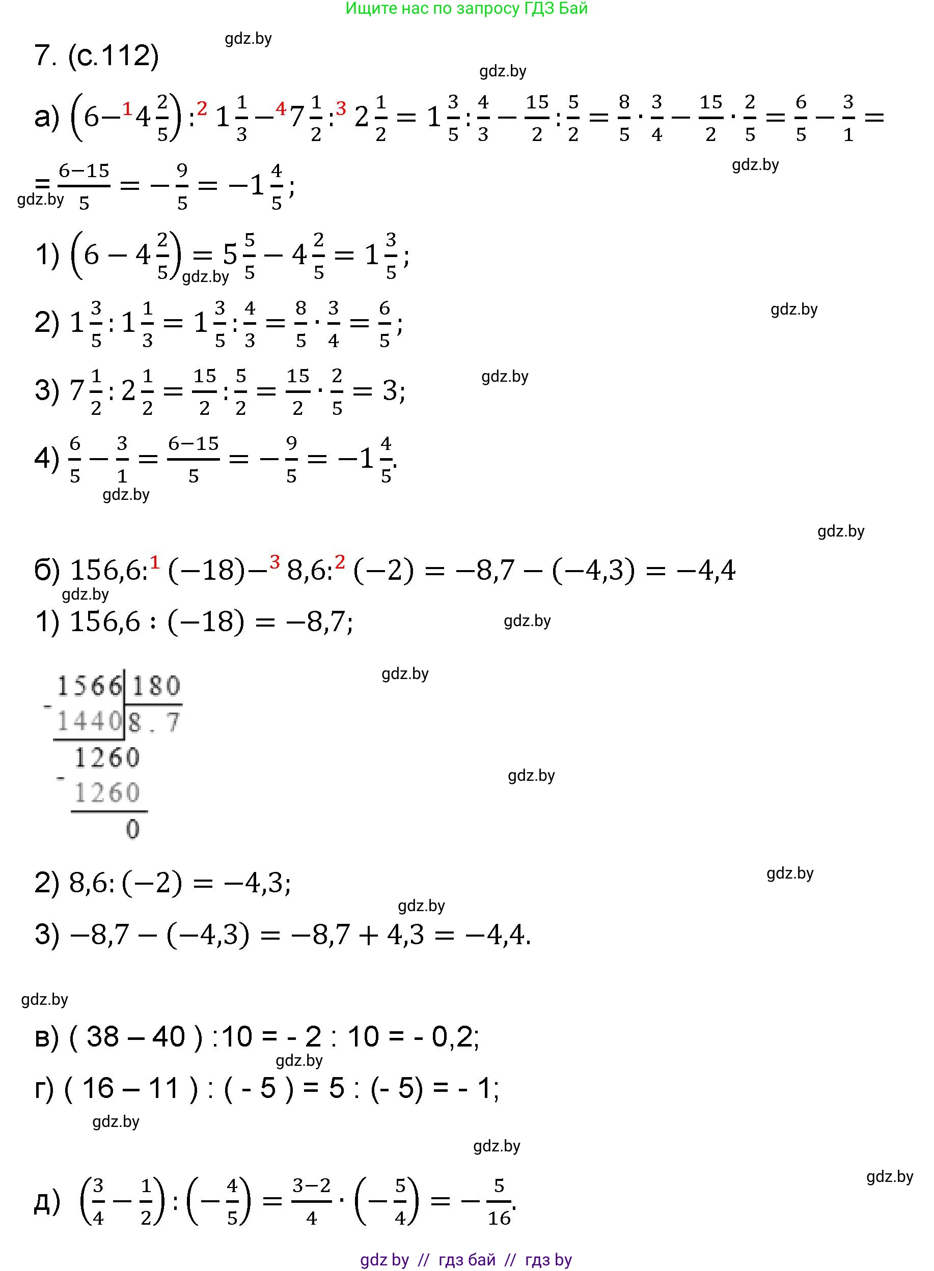
7. Вычислите значение выражения:

а) $\left(6 - 4\frac{2}{5}\right) : 1\frac{1}{3} - 7\frac{1}{2} : 2\frac{1}{2};$

б) $156,6 : (-18) - 8,6 : (-2);$

в) $(38 - 40) : 10;$

г) $(16 - 11) : (-5);$

д) $\left(\frac{3}{4} - \frac{1}{2}\right) : \left(-\frac{4}{5}\right).$

Решение. №7 (с. 112)
Математика, 6 класс Сборник задач, авторы: Пирютко Ольга Николаевна, Терешко Оксана Александровна, издательство Адукацыя i выхаванне, Минск, 2020, салатового цвета, страница 112, номер 7, Решение
Решение 2. №7 (с. 112)

а) Для вычисления значения выражения $(6 - 4\frac{2}{5}) : 1\frac{1}{3} - 7\frac{1}{2} : 2\frac{1}{2}$ решим его по действиям, соблюдая порядок операций:

  1. Выполним вычитание в скобках:
    $6 - 4\frac{2}{5} = 5\frac{5}{5} - 4\frac{2}{5} = 1\frac{3}{5}$
  2. Выполним второе деление. Для этого преобразуем смешанные числа в неправильные дроби:
    $7\frac{1}{2} : 2\frac{1}{2} = \frac{15}{2} : \frac{5}{2} = \frac{15}{2} \cdot \frac{2}{5} = \frac{15}{5} = 3$
  3. Теперь выполним первое деление, используя результат первого действия:
    $1\frac{3}{5} : 1\frac{1}{3} = \frac{8}{5} : \frac{4}{3} = \frac{8}{5} \cdot \frac{3}{4} = \frac{24}{20} = \frac{6}{5}$
  4. И последнее действие — вычитание:
    $\frac{6}{5} - 3 = \frac{6}{5} - \frac{15}{5} = \frac{6-15}{5} = -\frac{9}{5}$

Мы получили неправильную дробь. Преобразуем ее в смешанное число: $-\frac{9}{5} = -1\frac{4}{5}$.

а) Ответ: -1$\frac{4}{5}$

б) Для вычисления значения выражения $156,6 : (-18) - 8,6 : (-2)$ выполним действия по порядку:

  1. Первое деление: $156,6 : (-18) = -8,7$.
  2. Второе деление: $8,6 : (-2) = -4,3$.
  3. Вычитание: $-8,7 - (-4,3) = -8,7 + 4,3 = -4,4$.

б) Ответ: -4,4

в) Для вычисления значения выражения $(38 - 40) : 10$ выполним действия по порядку:

  1. Действие в скобках: $38 - 40 = -2$.
  2. Деление: $-2 : 10 = -0,2$.

в) Ответ: -0,2

г) Для вычисления значения выражения $(16 - 11) : (-5)$ выполним действия по порядку:

  1. Действие в скобках: $16 - 11 = 5$.
  2. Деление: $5 : (-5) = -1$.

г) Ответ: -1

д) Для вычисления значения выражения $(\frac{3}{4} - \frac{1}{2}) : (-\frac{4}{5})$ выполним действия по порядку:

  1. Вычитание в скобках. Приведем дроби к общему знаменателю 4:
    $\frac{3}{4} - \frac{1}{2} = \frac{3}{4} - \frac{2}{4} = \frac{1}{4}$.
  2. Деление. Чтобы разделить на дробь, нужно умножить на обратную ей дробь:
    $\frac{1}{4} : (-\frac{4}{5}) = \frac{1}{4} \cdot (-\frac{5}{4}) = -\frac{1 \cdot 5}{4 \cdot 4} = -\frac{5}{16}$.

д) Ответ: $-\frac{5}{16}$

Помогло решение? Оставьте отзыв в комментариях ниже.

Присоединяйтесь к Телеграм-группе @gdz_by_belarus

Присоединиться

Мы подготовили для вас ответ c подробным объяснением домашего задания по математике за 6 класс, для упражнения номер 7 расположенного на странице 112 к сборнику задач 2020 года издания для учащихся школ и гимназий.

Теперь на нашем сайте ГДЗ.ТОП вы всегда легко и бесплатно найдёте условие с правильным ответом на вопрос «Как решить ДЗ» и «Как сделать» задание по математике к упражнению №7 (с. 112), авторов: Пирютко (Ольга Николаевна), Терешко (Оксана Александровна), учебного пособия издательства Адукацыя i выхаванне.