Номер 33.49, страница 164 - гдз по алгебре 7-9 класс сборник задач Арефьева, Пирютко

Алгебра, 7-9 класс Сборник задач, авторы: Арефьева Ирина Глебовна, Пирютко Ольга Николаевна, издательство Народная асвета, Минск, 2020

Авторы: Арефьева И. Г., Пирютко О. Н.

Тип: Сборник задач

Издательство: Народная асвета

Год издания: 2020 - 2025

Цвет обложки: синий с графиками

Допущено Министерством образования Республики Беларусь

Популярные ГДЗ в 7 классе

9 класс. Параграф 33. Действия с рациональными дробями - номер 33.49, страница 164.

№33.49 (с. 164)
Условие. №33.49 (с. 164)
скриншот условия
Алгебра, 7-9 класс Сборник задач, авторы: Арефьева Ирина Глебовна, Пирютко Ольга Николаевна, издательство Народная асвета, Минск, 2020, страница 164, номер 33.49, Условие

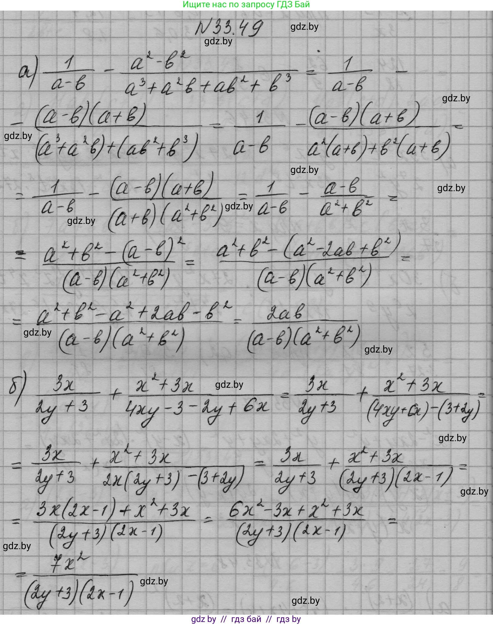
33.49. Выполните действия с рациональными дробями:

а) $\frac{1}{a-b} - \frac{a^2-b^2}{a^3+a^2b+ab^2+b^3}$;

б) $\frac{3x}{2y+3} + \frac{x^2+3x}{4xy-3-2y+6x}$;

В) $\frac{1}{x^2-y^2} - \frac{x-y}{x^3+x^2y+xy^2+y^3}$;

Г) $\frac{5x}{2y+5} - \frac{x^2+5x}{4xy-5-2y+10x}$.

Решение. №33.49 (с. 164)
Алгебра, 7-9 класс Сборник задач, авторы: Арефьева Ирина Глебовна, Пирютко Ольга Николаевна, издательство Народная асвета, Минск, 2020, страница 164, номер 33.49, Решение Алгебра, 7-9 класс Сборник задач, авторы: Арефьева Ирина Глебовна, Пирютко Ольга Николаевна, издательство Народная асвета, Минск, 2020, страница 164, номер 33.49, Решение (продолжение 2)
Решение 2. №33.49 (с. 164)

а)

Данное выражение: $ \frac{1}{a-b} - \frac{a^2-b^2}{a^3+a^2b+ab^2+b^3} $.

Сначала разложим на множители знаменатель второй дроби, используя метод группировки:
$ a^3+a^2b+ab^2+b^3 = a^2(a+b) + b^2(a+b) = (a^2+b^2)(a+b) $.

Затем разложим на множители числитель второй дроби по формуле разности квадратов:
$ a^2-b^2 = (a-b)(a+b) $.

Теперь подставим разложенные многочлены обратно в выражение и упростим вторую дробь, сократив общий множитель $ (a+b) $:
$ \frac{1}{a-b} - \frac{(a-b)(a+b)}{(a^2+b^2)(a+b)} = \frac{1}{a-b} - \frac{a-b}{a^2+b^2} $.

Приведем дроби к общему знаменателю $ (a-b)(a^2+b^2) $:
$ \frac{1 \cdot (a^2+b^2)}{(a-b)(a^2+b^2)} - \frac{(a-b)(a-b)}{(a-b)(a^2+b^2)} = \frac{a^2+b^2 - (a-b)^2}{(a-b)(a^2+b^2)} $.

Раскроем скобки в числителе и приведем подобные слагаемые:
$ \frac{a^2+b^2 - (a^2-2ab+b^2)}{(a-b)(a^2+b^2)} = \frac{a^2+b^2-a^2+2ab-b^2}{(a-b)(a^2+b^2)} = \frac{2ab}{(a-b)(a^2+b^2)} $.

Ответ: $ \frac{2ab}{(a-b)(a^2+b^2)} $.

б)

Данное выражение: $ \frac{3x}{2y+3} + \frac{x^2+3x}{4xy-3-2y+6x} $.

Разложим на множители знаменатель второй дроби, перегруппировав слагаемые:
$ 4xy-3-2y+6x = 4xy+6x-2y-3 = 2x(2y+3) - 1(2y+3) = (2x-1)(2y+3) $.

Теперь выражение можно записать в виде:
$ \frac{3x}{2y+3} + \frac{x^2+3x}{(2x-1)(2y+3)} $.

Приведем дроби к общему знаменателю $ (2x-1)(2y+3) $:
$ \frac{3x(2x-1)}{(2x-1)(2y+3)} + \frac{x^2+3x}{(2x-1)(2y+3)} $.

Сложим дроби, объединив числители:
$ \frac{3x(2x-1) + x^2+3x}{(2x-1)(2y+3)} $.

Раскроем скобки в числителе и упростим:
$ \frac{6x^2-3x+x^2+3x}{(2x-1)(2y+3)} = \frac{7x^2}{(2x-1)(2y+3)} $.

Ответ: $ \frac{7x^2}{(2x-1)(2y+3)} $.

в)

Данное выражение: $ \frac{1}{x^2-y^2} - \frac{x-y}{x^3+x^2y+xy^2+y^3} $.

Разложим на множители знаменатель первой дроби по формуле разности квадратов:
$ x^2-y^2 = (x-y)(x+y) $.

Разложим на множители знаменатель второй дроби методом группировки:
$ x^3+x^2y+xy^2+y^3 = x^2(x+y)+y^2(x+y) = (x+y)(x^2+y^2) $.

Перепишем исходное выражение с разложенными знаменателями:
$ \frac{1}{(x-y)(x+y)} - \frac{x-y}{(x+y)(x^2+y^2)} $.

Общий знаменатель для этих дробей будет $ (x-y)(x+y)(x^2+y^2) $. Приведем дроби к нему:
$ \frac{1 \cdot (x^2+y^2)}{(x-y)(x+y)(x^2+y^2)} - \frac{(x-y)(x-y)}{(x-y)(x+y)(x^2+y^2)} $.

Выполним вычитание дробей:
$ \frac{x^2+y^2 - (x-y)^2}{(x-y)(x+y)(x^2+y^2)} $.

Раскроем скобки в числителе и упростим:
$ \frac{x^2+y^2 - (x^2-2xy+y^2)}{(x-y)(x+y)(x^2+y^2)} = \frac{x^2+y^2 - x^2+2xy-y^2}{(x-y)(x+y)(x^2+y^2)} = \frac{2xy}{(x-y)(x+y)(x^2+y^2)} $.

Знаменатель можно упростить, применив формулу разности квадратов дважды: $ (x-y)(x+y)(x^2+y^2) = (x^2-y^2)(x^2+y^2) = x^4-y^4 $.

Ответ: $ \frac{2xy}{x^4-y^4} $.

г)

Данное выражение: $ \frac{5x}{2y+5} - \frac{x^2+5x}{4xy-5-2y+10x} $.

Разложим на множители знаменатель второй дроби, перегруппировав слагаемые:
$ 4xy-5-2y+10x = 4xy+10x-2y-5 = 2x(2y+5) - 1(2y+5) = (2x-1)(2y+5) $.

Подставим разложенный знаменатель в выражение:
$ \frac{5x}{2y+5} - \frac{x^2+5x}{(2x-1)(2y+5)} $.

Приведем дроби к общему знаменателю $ (2x-1)(2y+5) $:
$ \frac{5x(2x-1)}{(2x-1)(2y+5)} - \frac{x^2+5x}{(2x-1)(2y+5)} $.

Выполним вычитание, объединив числители:
$ \frac{5x(2x-1) - (x^2+5x)}{(2x-1)(2y+5)} $.

Раскроем скобки в числителе и приведем подобные слагаемые:
$ \frac{10x^2-5x - x^2-5x}{(2x-1)(2y+5)} = \frac{9x^2-10x}{(2x-1)(2y+5)} $.

Можно вынести $x$ за скобки в числителе: $ \frac{x(9x-10)}{(2x-1)(2y+5)} $.

Ответ: $ \frac{9x^2-10x}{(2x-1)(2y+5)} $.

Помогло решение? Оставьте отзыв в комментариях ниже.

Присоединяйтесь к Телеграм-группе @gdz_by_belarus

Присоединиться

Мы подготовили для вас ответ c подробным объяснением домашего задания по алгебре за 7-9 класс, для упражнения номер 33.49 расположенного на странице 164 к сборнику задач 2020 года издания для учащихся школ и гимназий.

Теперь на нашем сайте ГДЗ.ТОП вы всегда легко и бесплатно найдёте условие с правильным ответом на вопрос «Как решить ДЗ» и «Как сделать» задание по алгебре к упражнению №33.49 (с. 164), авторов: Арефьева (Ирина Глебовна), Пирютко (Ольга Николаевна), учебного пособия издательства Народная асвета.