Номер 35.14, страница 173 - гдз по алгебре 7-9 класс сборник задач Арефьева, Пирютко

Алгебра, 7-9 класс Сборник задач, авторы: Арефьева Ирина Глебовна, Пирютко Ольга Николаевна, издательство Народная асвета, Минск, 2020

Авторы: Арефьева И. Г., Пирютко О. Н.

Тип: Сборник задач

Издательство: Народная асвета

Год издания: 2020 - 2025

Цвет обложки: синий с графиками

Допущено Министерством образования Республики Беларусь

Популярные ГДЗ в 7 классе

9 класс. Параграф 35. Функции - номер 35.14, страница 173.

№35.14 (с. 173)
Условие. №35.14 (с. 173)
скриншот условия
Алгебра, 7-9 класс Сборник задач, авторы: Арефьева Ирина Глебовна, Пирютко Ольга Николаевна, издательство Народная асвета, Минск, 2020, страница 173, номер 35.14, Условие

35.14. Найдите D(y), если:

а) $y = \sqrt{x - 7};$

б) $y = \sqrt{2x + 9};$

в) $y = \frac{5}{\sqrt{x - 5}};$

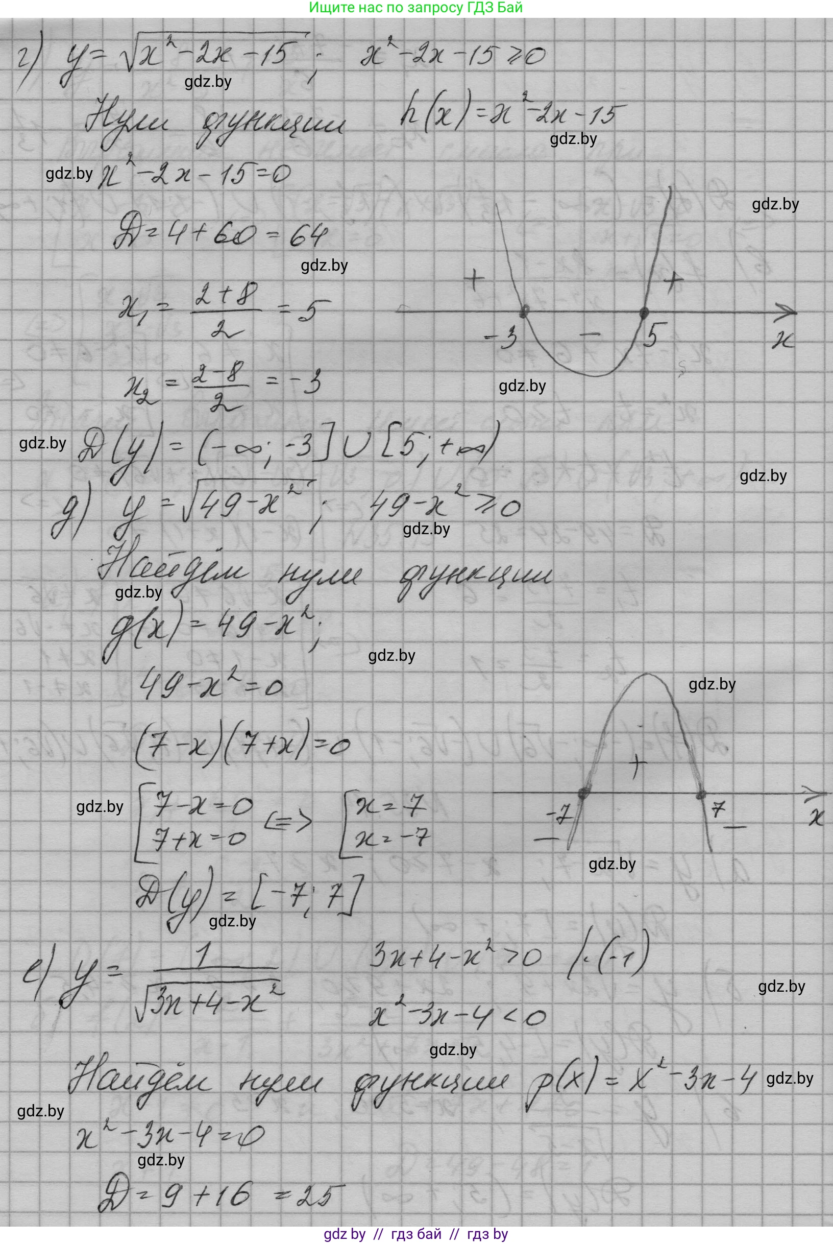
г) $y = \sqrt{x^2 - 2x - 15};$

д) $y = \sqrt{49 - x^2};$

е) $y = \frac{1}{\sqrt{3x + 4 - x^2}}.$

Решение. №35.14 (с. 173)
Алгебра, 7-9 класс Сборник задач, авторы: Арефьева Ирина Глебовна, Пирютко Ольга Николаевна, издательство Народная асвета, Минск, 2020, страница 173, номер 35.14, Решение Алгебра, 7-9 класс Сборник задач, авторы: Арефьева Ирина Глебовна, Пирютко Ольга Николаевна, издательство Народная асвета, Минск, 2020, страница 173, номер 35.14, Решение (продолжение 2) Алгебра, 7-9 класс Сборник задач, авторы: Арефьева Ирина Глебовна, Пирютко Ольга Николаевна, издательство Народная асвета, Минск, 2020, страница 173, номер 35.14, Решение (продолжение 3)
Решение 2. №35.14 (с. 173)

а) Область определения функции $y = \sqrt{x - 7}$ находится из условия, что выражение под знаком квадратного корня должно быть неотрицательным. Решаем неравенство: $x - 7 \ge 0$. Отсюда следует, что $x \ge 7$.
Ответ: $D(y) = [7, +\infty)$.

б) Для функции $y = \sqrt{2x + 9}$ выражение под корнем должно быть неотрицательным: $2x + 9 \ge 0$. Решаем неравенство: $2x \ge -9$, что дает $x \ge -4.5$.
Ответ: $D(y) = [-4.5, +\infty)$.

в) Функция $y = \frac{5}{\sqrt{x - 5}}$ определена, если выполнены два условия: выражение под корнем неотрицательно ($x - 5 \ge 0$) и знаменатель не равен нулю ($\sqrt{x - 5} \ne 0$). Объединяя эти условия, получаем, что подкоренное выражение должно быть строго положительным: $x - 5 > 0$. Отсюда $x > 5$.
Ответ: $D(y) = (5, +\infty)$.

г) Для функции $y = \sqrt{x^2 - 2x - 15}$ необходимо, чтобы подкоренное выражение было неотрицательным: $x^2 - 2x - 15 \ge 0$. Сначала найдем корни квадратного уравнения $x^2 - 2x - 15 = 0$. По теореме Виета (или через дискриминант) находим корни $x_1 = -3$ и $x_2 = 5$. Так как это парабола с ветвями вверх, неравенство выполняется на промежутках вне корней.
Ответ: $D(y) = (-\infty, -3] \cup [5, +\infty)$.

д) Область определения функции $y = \sqrt{49 - x^2}$ задается неравенством $49 - x^2 \ge 0$. Это неравенство можно переписать как $x^2 \le 49$, что эквивалентно $|x| \le 7$. Решением этого неравенства является отрезок $-7 \le x \le 7$.
Ответ: $D(y) = [-7, 7]$.

е) Для функции $y = \frac{1}{\sqrt{3x + 4 - x^2}}$ подкоренное выражение в знаменателе должно быть строго положительным: $3x + 4 - x^2 > 0$. Умножим неравенство на $-1$ и сменим знак: $x^2 - 3x - 4 < 0$. Найдем корни уравнения $x^2 - 3x - 4 = 0$. Корнями являются $x_1 = -1$ и $x_2 = 4$. Так как это парабола с ветвями вверх, неравенство выполняется на интервале между корнями.
Ответ: $D(y) = (-1, 4)$.

Помогло решение? Оставьте отзыв в комментариях ниже.

Присоединяйтесь к Телеграм-группе @gdz_by_belarus

Присоединиться

Мы подготовили для вас ответ c подробным объяснением домашего задания по алгебре за 7-9 класс, для упражнения номер 35.14 расположенного на странице 173 к сборнику задач 2020 года издания для учащихся школ и гимназий.

Теперь на нашем сайте ГДЗ.ТОП вы всегда легко и бесплатно найдёте условие с правильным ответом на вопрос «Как решить ДЗ» и «Как сделать» задание по алгебре к упражнению №35.14 (с. 173), авторов: Арефьева (Ирина Глебовна), Пирютко (Ольга Николаевна), учебного пособия издательства Народная асвета.