Номер 35.15, страница 173 - гдз по алгебре 7-9 класс сборник задач Арефьева, Пирютко

Алгебра, 7-9 класс Сборник задач, авторы: Арефьева Ирина Глебовна, Пирютко Ольга Николаевна, издательство Народная асвета, Минск, 2020

Авторы: Арефьева И. Г., Пирютко О. Н.

Тип: Сборник задач

Издательство: Народная асвета

Год издания: 2020 - 2025

Цвет обложки: синий с графиками

Допущено Министерством образования Республики Беларусь

Популярные ГДЗ в 7 классе

9 класс. Параграф 35. Функции - номер 35.15, страница 173.

№35.15 (с. 173)
Условие. №35.15 (с. 173)
скриншот условия
Алгебра, 7-9 класс Сборник задач, авторы: Арефьева Ирина Глебовна, Пирютко Ольга Николаевна, издательство Народная асвета, Минск, 2020, страница 173, номер 35.15, Условие Алгебра, 7-9 класс Сборник задач, авторы: Арефьева Ирина Глебовна, Пирютко Ольга Николаевна, издательство Народная асвета, Минск, 2020, страница 173, номер 35.15, Условие (продолжение 2)

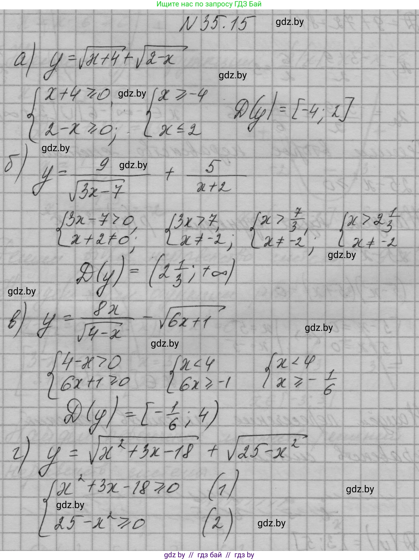
35.15. Найдите область определения функции:

а) $y = \sqrt{x + 4} + \sqrt{2 - x};$

б) $y = \frac{9}{\sqrt{3x - 7}} + \frac{5}{x + 2};$

в) $y = \frac{8x}{\sqrt{4 - x}} - \sqrt{6x + 1};$

г) $y = \sqrt{x^2 + 3x - 18} + \sqrt{25 - x^2};$

д) $y = \sqrt{x^2 - x - 6} + \sqrt{9 - x^2};$

е) $y = \frac{3}{\sqrt{4x - x^2}} - \sqrt{x^2 - x}.$

Решение. №35.15 (с. 173)
Алгебра, 7-9 класс Сборник задач, авторы: Арефьева Ирина Глебовна, Пирютко Ольга Николаевна, издательство Народная асвета, Минск, 2020, страница 173, номер 35.15, Решение Алгебра, 7-9 класс Сборник задач, авторы: Арефьева Ирина Глебовна, Пирютко Ольга Николаевна, издательство Народная асвета, Минск, 2020, страница 173, номер 35.15, Решение (продолжение 2) Алгебра, 7-9 класс Сборник задач, авторы: Арефьева Ирина Глебовна, Пирютко Ольга Николаевна, издательство Народная асвета, Минск, 2020, страница 173, номер 35.15, Решение (продолжение 3) Алгебра, 7-9 класс Сборник задач, авторы: Арефьева Ирина Глебовна, Пирютко Ольга Николаевна, издательство Народная асвета, Минск, 2020, страница 173, номер 35.15, Решение (продолжение 4)
Решение 2. №35.15 (с. 173)

а) Область определения функции $y = \sqrt{x+4} + \sqrt{2-x}$ находится из условия, что подкоренные выражения должны быть неотрицательными. Это приводит к системе неравенств:
$\begin{cases} x+4 \ge 0 \\ 2-x \ge 0 \end{cases}$
Решая систему, получаем:
$\begin{cases} x \ge -4 \\ x \le 2 \end{cases}$
Пересечением этих двух условий является промежуток $[-4; 2]$.
Ответ: $x \in [-4; 2]$.

б) Для функции $y = \frac{9}{\sqrt{3x-7}} + \frac{5}{x+2}$ должны выполняться два условия: выражение под корнем в знаменателе должно быть строго больше нуля, и знаменатель второй дроби не должен быть равен нулю. Составляем систему:
$\begin{cases} 3x-7 > 0 \\ x+2 \ne 0 \end{cases}$
Решаем ее:
$\begin{cases} 3x > 7 \\ x \ne -2 \end{cases} \implies \begin{cases} x > \frac{7}{3} \\ x \ne -2 \end{cases}$
Условие $x \ne -2$ уже содержится в условии $x > \frac{7}{3}$, так как $\frac{7}{3} \approx 2.33$, что больше -2. Таким образом, область определения задается неравенством $x > \frac{7}{3}$.
Ответ: $x \in (\frac{7}{3}; +\infty)$.

в) Для функции $y = \frac{8x}{\sqrt{4-x}} - \sqrt{6x+1}$ должны выполняться условия: выражение под корнем в знаменателе должно быть строго больше нуля, и выражение под вторым корнем должно быть неотрицательным. Это задается системой неравенств:
$\begin{cases} 4-x > 0 \\ 6x+1 \ge 0 \end{cases}$
Решаем ее:
$\begin{cases} x < 4 \\ 6x \ge -1 \end{cases} \implies \begin{cases} x < 4 \\ x \ge -\frac{1}{6} \end{cases}$
Пересечением этих условий является промежуток $[-\frac{1}{6}; 4)$.
Ответ: $x \in [-\frac{1}{6}; 4)$.

г) Для функции $y = \sqrt{x^2+3x-18} + \sqrt{25-x^2}$ оба подкоренных выражения должны быть неотрицательными, что приводит к системе:
$\begin{cases} x^2+3x-18 \ge 0 \\ 25-x^2 \ge 0 \end{cases}$
1. Решаем первое неравенство: $x^2+3x-18 \ge 0$. Корни соответствующего уравнения $x^2+3x-18=0$ равны $x_1=-6$ и $x_2=3$. Так как ветви параболы направлены вверх, решение неравенства: $x \in (-\infty; -6] \cup [3; +\infty)$.
2. Решаем второе неравенство: $25-x^2 \ge 0 \implies x^2 \le 25 \implies -5 \le x \le 5$, то есть $x \in [-5; 5]$.
3. Находим пересечение множеств $(-\infty; -6] \cup [3; +\infty)$ и $[-5; 5]$. Пересечением является промежуток $[3; 5]$.
Ответ: $x \in [3; 5]$.

д) Для функции $y = \sqrt{x^2-x-6} + \sqrt{9-x^2}$ оба подкоренных выражения должны быть неотрицательными, что приводит к системе:
$\begin{cases} x^2-x-6 \ge 0 \\ 9-x^2 \ge 0 \end{cases}$
1. Решаем первое неравенство $x^2-x-6 \ge 0$. Корни уравнения $x^2-x-6=0$ равны $x_1=-2$ и $x_2=3$. Так как ветви параболы направлены вверх, решение: $x \in (-\infty; -2] \cup [3; +\infty)$.
2. Решаем второе неравенство $9-x^2 \ge 0 \implies x^2 \le 9 \implies -3 \le x \le 3$, то есть $x \in [-3; 3]$.
3. Находим пересечение множеств $(-\infty; -2] \cup [3; +\infty)$ и $[-3; 3]$. Пересечение $(-\infty; -2]$ с $[-3; 3]$ дает отрезок $[-3; -2]$. Пересечение $[3; +\infty)$ с $[-3; 3]$ дает точку $\{3\}$. Объединяя эти результаты, получаем область определения.
Ответ: $x \in [-3; -2] \cup \{3\}$.

е) Для функции $y = \frac{3}{\sqrt{4x-x^2}} - \sqrt{x^2-x}$ должны выполняться условия: выражение под корнем в знаменателе должно быть строго положительным, а выражение под вторым корнем — неотрицательным. Это приводит к системе:
$\begin{cases} 4x-x^2 > 0 \\ x^2-x \ge 0 \end{cases}$
1. Решаем первое неравенство $4x-x^2 > 0 \implies x(4-x) > 0$. Корни $x=0, x=4$. Ветви параболы направлены вниз, поэтому решение: $x \in (0; 4)$.
2. Решаем второе неравенство $x^2-x \ge 0 \implies x(x-1) \ge 0$. Корни $x=0, x=1$. Ветви параболы направлены вверх, поэтому решение: $x \in (-\infty; 0] \cup [1; +\infty)$.
3. Находим пересечение множеств $(0; 4)$ и $(-\infty; 0] \cup [1; +\infty)$, что дает нам промежуток $[1; 4)$.
Ответ: $x \in [1; 4)$.

Помогло решение? Оставьте отзыв в комментариях ниже.

Присоединяйтесь к Телеграм-группе @gdz_by_belarus

Присоединиться

Мы подготовили для вас ответ c подробным объяснением домашего задания по алгебре за 7-9 класс, для упражнения номер 35.15 расположенного на странице 173 к сборнику задач 2020 года издания для учащихся школ и гимназий.

Теперь на нашем сайте ГДЗ.ТОП вы всегда легко и бесплатно найдёте условие с правильным ответом на вопрос «Как решить ДЗ» и «Как сделать» задание по алгебре к упражнению №35.15 (с. 173), авторов: Арефьева (Ирина Глебовна), Пирютко (Ольга Николаевна), учебного пособия издательства Народная асвета.