Номер 5, страница 209 - гдз по алгебре 7-9 класс сборник задач Арефьева, Пирютко

Алгебра, 7-9 класс Сборник задач, авторы: Арефьева Ирина Глебовна, Пирютко Ольга Николаевна, издательство Народная асвета, Минск, 2020

Авторы: Арефьева И. Г., Пирютко О. Н.

Тип: Сборник задач

Издательство: Народная асвета

Год издания: 2020 - 2025

Цвет обложки: синий с графиками

Допущено Министерством образования Республики Беларусь

Популярные ГДЗ в 7 классе

Итоговые тесты. 9 класс - номер 5, страница 209.

№5 (с. 209)
Условие. №5 (с. 209)
скриншот условия
Алгебра, 7-9 класс Сборник задач, авторы: Арефьева Ирина Глебовна, Пирютко Ольга Николаевна, издательство Народная асвета, Минск, 2020, страница 209, номер 5, Условие

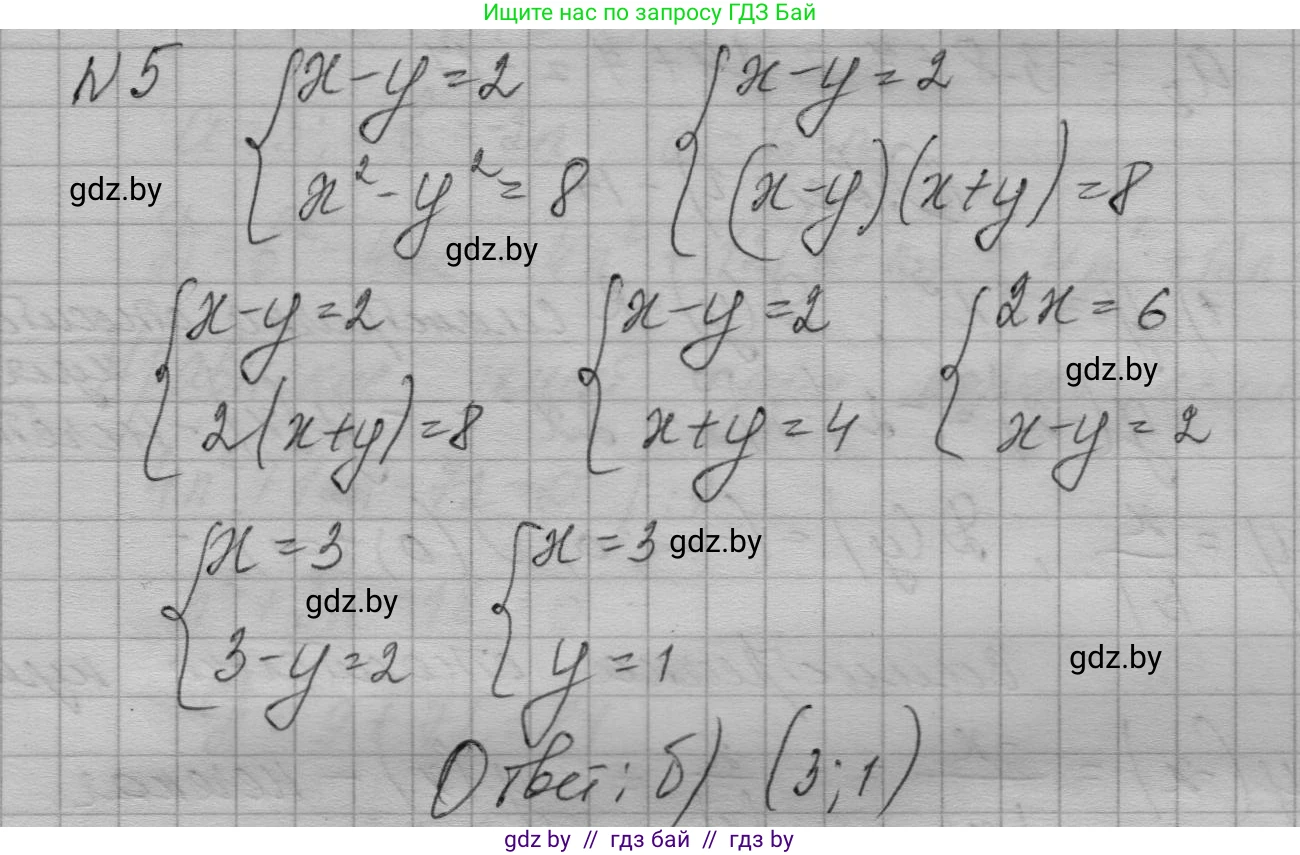
5. Решите систему уравнений $\begin{cases} x - y = 2, \\ x^2 - y^2 = 8. \end{cases}$

а) (1; 3);

б) (3; 1);

в) (4; 2);

г) (-4; -2);

д) (-1; -3).

Решение. №5 (с. 209)
Алгебра, 7-9 класс Сборник задач, авторы: Арефьева Ирина Глебовна, Пирютко Ольга Николаевна, издательство Народная асвета, Минск, 2020, страница 209, номер 5, Решение
Решение 2. №5 (с. 209)

Дана система уравнений: $$ \begin{cases} x - y = 2, \\ x^2 - y^2 = 8. \end{cases} $$

Для решения этой системы воспользуемся формулой разности квадратов для второго уравнения: $a^2 - b^2 = (a - b)(a + b)$. Применив эту формулу к уравнению $x^2 - y^2 = 8$, получим: $$ (x - y)(x + y) = 8 $$

Из первого уравнения системы нам известно, что $x - y = 2$. Подставим это значение в преобразованное второе уравнение: $$ 2 \cdot (x + y) = 8 $$

Теперь разделим обе части уравнения на 2, чтобы найти значение выражения $(x + y)$: $$ x + y = \frac{8}{2} $$ $$ x + y = 4 $$

Таким образом, исходная система уравнений эквивалентна следующей системе линейных уравнений: $$ \begin{cases} x - y = 2, \\ x + y = 4. \end{cases} $$

Сложим два уравнения этой новой системы, чтобы исключить переменную $y$: $$ (x - y) + (x + y) = 2 + 4 $$ $$ 2x = 6 $$

Найдем значение $x$: $$ x = \frac{6}{2} $$ $$ x = 3 $$

Теперь подставим найденное значение $x = 3$ в любое из уравнений простой системы, например, в $x + y = 4$: $$ 3 + y = 4 $$

Найдем значение $y$: $$ y = 4 - 3 $$ $$ y = 1 $$

Решением системы является пара чисел $(3; 1)$. Проверим, подставив значения в исходные уравнения:
$3 - 1 = 2$ (верно)
$3^2 - 1^2 = 9 - 1 = 8$ (верно)
Решение найдено правильно. Среди предложенных вариантов ответа эта пара соответствует пункту б).

Ответ: б) (3; 1)

Помогло решение? Оставьте отзыв в комментариях ниже.

Присоединяйтесь к Телеграм-группе @gdz_by_belarus

Присоединиться

Мы подготовили для вас ответ c подробным объяснением домашего задания по алгебре за 7-9 класс, для упражнения номер 5 расположенного на странице 209 к сборнику задач 2020 года издания для учащихся школ и гимназий.

Теперь на нашем сайте ГДЗ.ТОП вы всегда легко и бесплатно найдёте условие с правильным ответом на вопрос «Как решить ДЗ» и «Как сделать» задание по алгебре к упражнению №5 (с. 209), авторов: Арефьева (Ирина Глебовна), Пирютко (Ольга Николаевна), учебного пособия издательства Народная асвета.