Номер 20.15, страница 90 - гдз по алгебре 7-9 класс сборник задач Арефьева, Пирютко

Алгебра, 7-9 класс Сборник задач, авторы: Арефьева Ирина Глебовна, Пирютко Ольга Николаевна, издательство Народная асвета, Минск, 2020

Авторы: Арефьева И. Г., Пирютко О. Н.

Тип: Сборник задач

Издательство: Народная асвета

Год издания: 2020 - 2025

Цвет обложки: синий с графиками

Допущено Министерством образования Республики Беларусь

Популярные ГДЗ в 7 классе

7 класс. Параграф 20. Способы решения системы линейных уравнений с двумя переменными. Решение текстовых задач с помощью системы линейных уравнений - номер 20.15, страница 90.

№20.15 (с. 90)
Условие. №20.15 (с. 90)
скриншот условия
Алгебра, 7-9 класс Сборник задач, авторы: Арефьева Ирина Глебовна, Пирютко Ольга Николаевна, издательство Народная асвета, Минск, 2020, страница 90, номер 20.15, Условие Алгебра, 7-9 класс Сборник задач, авторы: Арефьева Ирина Глебовна, Пирютко Ольга Николаевна, издательство Народная асвета, Минск, 2020, страница 90, номер 20.15, Условие (продолжение 2)

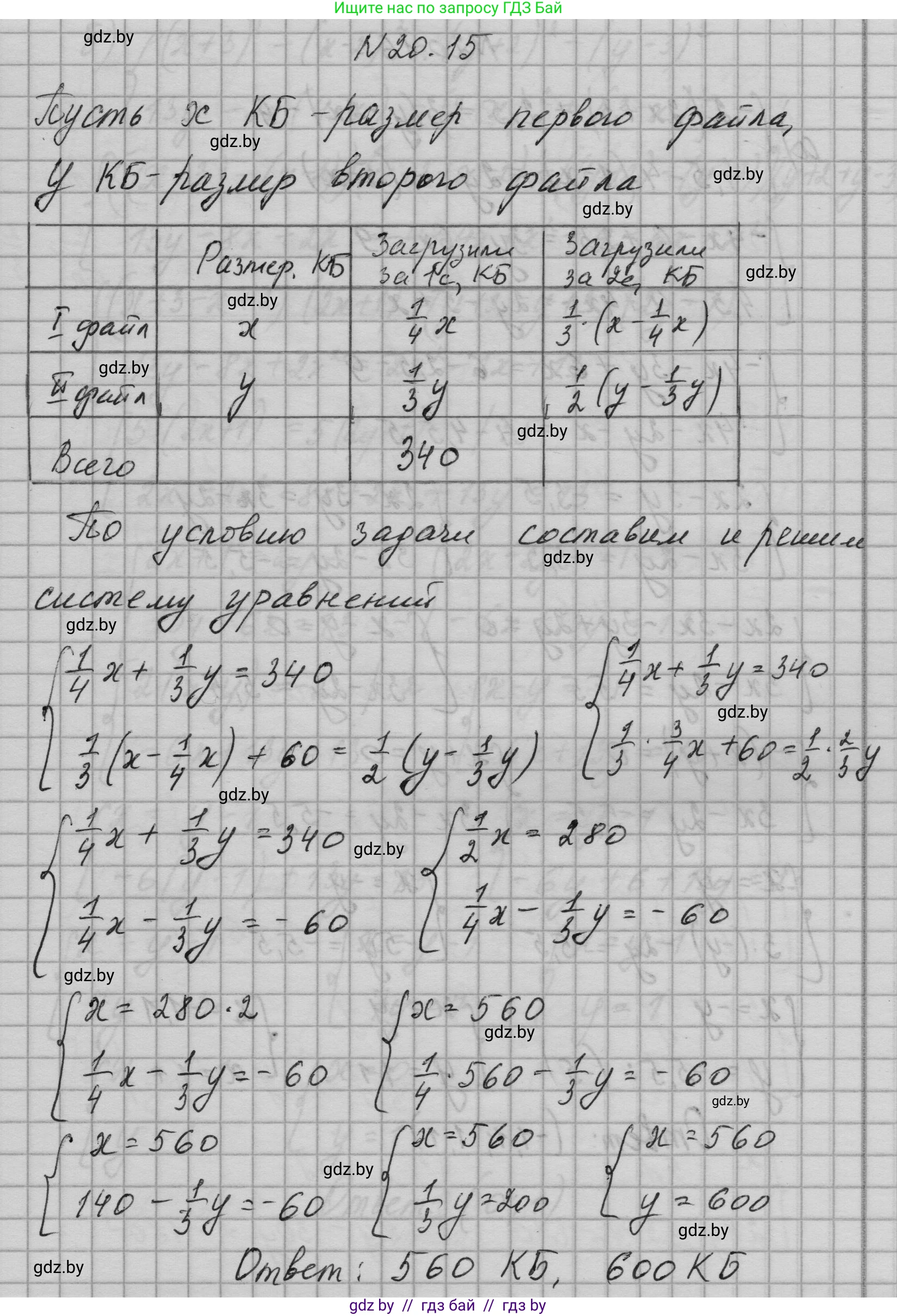
20.15. Ученик из Интернета загружает на компьютер два текстовых файла. За первую секунду загрузилась $\frac{1}{4}$ первого файла и $\frac{1}{3}$ второго файла, что составило 340 КБ. За вторую секунду загрузилась $\frac{1}{3}$ оставшейся части первого файла, что на 60 КБ меньше половины оставшейся части второго файла. Найдите размер каждого файла.

Решение. №20.15 (с. 90)
Алгебра, 7-9 класс Сборник задач, авторы: Арефьева Ирина Глебовна, Пирютко Ольга Николаевна, издательство Народная асвета, Минск, 2020, страница 90, номер 20.15, Решение
Решение 2. №20.15 (с. 90)

Пусть $x$ КБ — размер первого файла, а $y$ КБ — размер второго файла.

Исходя из условия, что за первую секунду загрузилась $\frac{1}{4}$ первого файла и $\frac{1}{3}$ второго файла, что в сумме составило 340 КБ, мы можем составить первое уравнение:
$\frac{1}{4}x + \frac{1}{3}y = 340$

Далее, определим оставшиеся части файлов после первой секунды загрузки.
Оставшаяся часть первого файла: $x - \frac{1}{4}x = \frac{3}{4}x$.
Оставшаяся часть второго файла: $y - \frac{1}{3}y = \frac{2}{3}y$.

За вторую секунду загрузилась $\frac{1}{3}$ от оставшейся части первого файла. Вычислим этот объем:
$\frac{1}{3} \cdot \frac{3}{4}x = \frac{1}{4}x$ КБ.

Этот объем ($\frac{1}{4}x$) на 60 КБ меньше половины оставшейся части второго файла. Половина оставшейся части второго файла равна:
$\frac{1}{2} \cdot \frac{2}{3}y = \frac{1}{3}y$ КБ.
Отсюда получаем второе уравнение:
$\frac{1}{4}x = \frac{1}{3}y - 60$

Теперь у нас есть система из двух линейных уравнений с двумя переменными:
$ \begin{cases} \frac{1}{4}x + \frac{1}{3}y = 340 \\ \frac{1}{4}x = \frac{1}{3}y - 60 \end{cases} $

Для решения системы подставим выражение для $\frac{1}{4}x$ из второго уравнения в первое:
$(\frac{1}{3}y - 60) + \frac{1}{3}y = 340$
$\frac{2}{3}y - 60 = 340$
$\frac{2}{3}y = 340 + 60$
$\frac{2}{3}y = 400$
$y = 400 \cdot \frac{3}{2}$
$y = 600$
Таким образом, размер второго файла равен 600 КБ.

Теперь найдем размер первого файла, подставив найденное значение $y$ во второе уравнение:
$\frac{1}{4}x = \frac{1}{3}(600) - 60$
$\frac{1}{4}x = 200 - 60$
$\frac{1}{4}x = 140$
$x = 140 \cdot 4$
$x = 560$
Следовательно, размер первого файла равен 560 КБ.

Ответ: размер первого файла — 560 КБ, размер второго файла — 600 КБ.

Помогло решение? Оставьте отзыв в комментариях ниже.

Присоединяйтесь к Телеграм-группе @gdz_by_belarus

Присоединиться

Мы подготовили для вас ответ c подробным объяснением домашего задания по алгебре за 7-9 класс, для упражнения номер 20.15 расположенного на странице 90 к сборнику задач 2020 года издания для учащихся школ и гимназий.

Теперь на нашем сайте ГДЗ.ТОП вы всегда легко и бесплатно найдёте условие с правильным ответом на вопрос «Как решить ДЗ» и «Как сделать» задание по алгебре к упражнению №20.15 (с. 90), авторов: Арефьева (Ирина Глебовна), Пирютко (Ольга Николаевна), учебного пособия издательства Народная асвета.