Номер 21.24, страница 98 - гдз по алгебре 7-9 класс сборник задач Арефьева, Пирютко

Алгебра, 7-9 класс Сборник задач, авторы: Арефьева Ирина Глебовна, Пирютко Ольга Николаевна, издательство Народная асвета, Минск, 2020

Авторы: Арефьева И. Г., Пирютко О. Н.

Тип: Сборник задач

Издательство: Народная асвета

Год издания: 2020 - 2025

Цвет обложки: синий с графиками

Допущено Министерством образования Республики Беларусь

Популярные ГДЗ в 7 классе

8 класс. Параграф 21. Арифметический квадратный корень. Множество действительных чисел - номер 21.24, страница 98.

№21.24 (с. 98)
Условие. №21.24 (с. 98)
скриншот условия
Алгебра, 7-9 класс Сборник задач, авторы: Арефьева Ирина Глебовна, Пирютко Ольга Николаевна, издательство Народная асвета, Минск, 2020, страница 98, номер 21.24, Условие

21.24*. Найдите значение выражения:

а) $\sqrt{81}$;

б) $\sqrt{625}$;

в) $\sqrt{5\frac{1}{16}}$;

г) $\sqrt{123\frac{37}{81}}$;

д) $\sqrt{44+\sqrt{25}}$;

е) $\sqrt{169-\sqrt{144}}$;

ж) $\sqrt{\frac{16+0,16^0}{0,2}}$;

з) $\sqrt{21+\sqrt{23-\sqrt{49}}}$;

и) $\sqrt{5\sqrt{1+2\sqrt{144}}}$.

Решение. №21.24 (с. 98)
Алгебра, 7-9 класс Сборник задач, авторы: Арефьева Ирина Глебовна, Пирютко Ольга Николаевна, издательство Народная асвета, Минск, 2020, страница 98, номер 21.24, Решение Алгебра, 7-9 класс Сборник задач, авторы: Арефьева Ирина Глебовна, Пирютко Ольга Николаевна, издательство Народная асвета, Минск, 2020, страница 98, номер 21.24, Решение (продолжение 2)
Решение 2. №21.24 (с. 98)

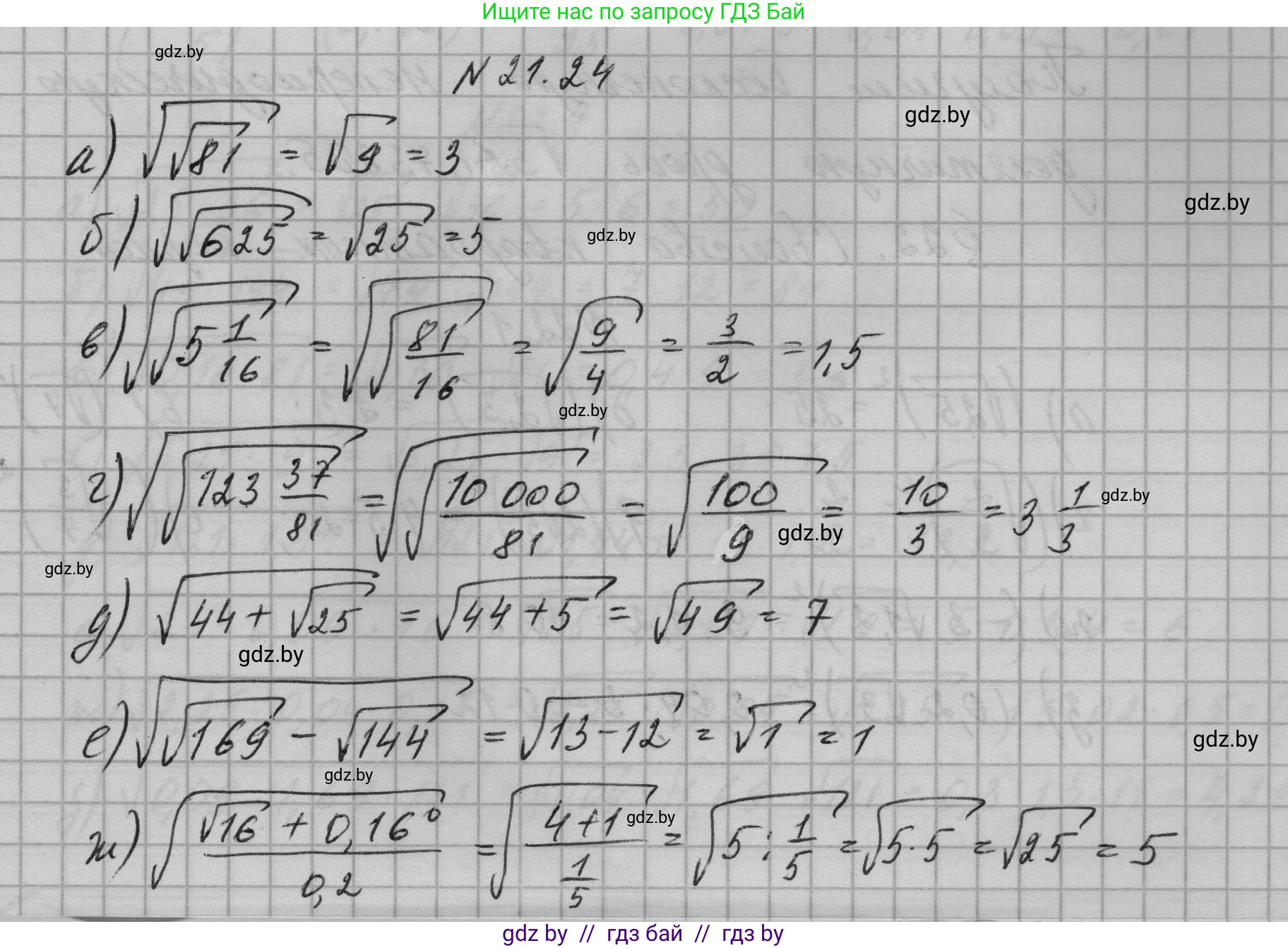
а) Для вычисления значения выражения $\sqrt{\sqrt{81}}$ сначала найдем значение внутреннего корня, а затем внешнего.

1. $\sqrt{81} = 9$

2. $\sqrt{9} = 3$

Таким образом, $\sqrt{\sqrt{81}} = \sqrt{9} = 3$.

Ответ: 3.

б) Для вычисления значения выражения $\sqrt{\sqrt{625}}$ сначала найдем значение внутреннего корня, а затем внешнего.

1. $\sqrt{625} = 25$

2. $\sqrt{25} = 5$

Таким образом, $\sqrt{\sqrt{625}} = \sqrt{25} = 5$.

Ответ: 5.

в) Для вычисления значения выражения $\sqrt{\sqrt{5\frac{1}{16}}}$ сначала преобразуем смешанное число в неправильную дробь.

1. $5\frac{1}{16} = \frac{5 \cdot 16 + 1}{16} = \frac{80 + 1}{16} = \frac{81}{16}$

2. Теперь вычислим внутренний корень: $\sqrt{\frac{81}{16}} = \frac{\sqrt{81}}{\sqrt{16}} = \frac{9}{4}$

3. Вычислим внешний корень: $\sqrt{\frac{9}{4}} = \frac{\sqrt{9}}{\sqrt{4}} = \frac{3}{2}$

Таким образом, $\sqrt{\sqrt{5\frac{1}{16}}} = \sqrt{\sqrt{\frac{81}{16}}} = \sqrt{\frac{9}{4}} = \frac{3}{2}$.

Ответ: $\frac{3}{2}$.

г) Для вычисления значения выражения $\sqrt{\sqrt{123\frac{37}{81}}}$ сначала преобразуем смешанное число в неправильную дробь.

1. $123\frac{37}{81} = \frac{123 \cdot 81 + 37}{81} = \frac{9963 + 37}{81} = \frac{10000}{81}$

2. Теперь вычислим внутренний корень: $\sqrt{\frac{10000}{81}} = \frac{\sqrt{10000}}{\sqrt{81}} = \frac{100}{9}$

3. Вычислим внешний корень: $\sqrt{\frac{100}{9}} = \frac{\sqrt{100}}{\sqrt{9}} = \frac{10}{3}$

Таким образом, $\sqrt{\sqrt{123\frac{37}{81}}} = \sqrt{\sqrt{\frac{10000}{81}}} = \sqrt{\frac{100}{9}} = \frac{10}{3}$.

Ответ: $\frac{10}{3}$.

д) Для вычисления значения выражения $\sqrt{44 + \sqrt{25}}$ сначала вычислим значение корня внутри, а затем выполним сложение и извлечем внешний корень.

1. $\sqrt{25} = 5$

2. $\sqrt{44 + 5} = \sqrt{49}$

3. $\sqrt{49} = 7$

Таким образом, $\sqrt{44 + \sqrt{25}} = \sqrt{44 + 5} = \sqrt{49} = 7$.

Ответ: 7.

е) Для вычисления значения выражения $\sqrt{\sqrt{169} - \sqrt{144}}$ сначала вычислим значения корней внутри, а затем выполним вычитание и извлечем внешний корень.

1. $\sqrt{169} = 13$

2. $\sqrt{144} = 12$

3. $\sqrt{13 - 12} = \sqrt{1}$

4. $\sqrt{1} = 1$

Таким образом, $\sqrt{\sqrt{169} - \sqrt{144}} = \sqrt{13 - 12} = \sqrt{1} = 1$.

Ответ: 1.

ж) Для вычисления значения выражения $\sqrt{\frac{\sqrt{16} + 0,16^0}{0,2}}$ сначала упростим числитель дроби.

1. $\sqrt{16} = 4$

2. Любое ненулевое число в степени 0 равно 1, поэтому $0,16^0 = 1$.

3. Числитель равен $4 + 1 = 5$.

4. Выражение принимает вид $\sqrt{\frac{5}{0,2}}$.

5. $\frac{5}{0,2} = \frac{5}{1/5} = 5 \cdot 5 = 25$.

6. $\sqrt{25} = 5$.

Таким образом, $\sqrt{\frac{\sqrt{16} + 0,16^0}{0,2}} = \sqrt{\frac{4+1}{0,2}} = \sqrt{\frac{5}{0,2}} = \sqrt{25} = 5$.

Ответ: 5.

з) Для вычисления значения выражения $\sqrt{21 + \sqrt{23 - \sqrt{49}}}$ вычисления производятся, начиная с самого внутреннего корня.

1. $\sqrt{49} = 7$

2. Выражение упрощается до $\sqrt{21 + \sqrt{23 - 7}} = \sqrt{21 + \sqrt{16}}$.

3. $\sqrt{16} = 4$

4. Выражение упрощается до $\sqrt{21 + 4} = \sqrt{25}$.

5. $\sqrt{25} = 5$.

Таким образом, $\sqrt{21 + \sqrt{23 - \sqrt{49}}} = \sqrt{21 + \sqrt{16}} = \sqrt{21+4} = \sqrt{25} = 5$.

Ответ: 5.

и) Для вычисления значения выражения $\sqrt{5\sqrt{1+2\sqrt{144}}}$ вычисления производятся, начиная с самого внутреннего корня.

1. $\sqrt{144} = 12$

2. Выражение упрощается до $\sqrt{5\sqrt{1+2 \cdot 12}} = \sqrt{5\sqrt{1+24}} = \sqrt{5\sqrt{25}}$.

3. $\sqrt{25} = 5$

4. Выражение упрощается до $\sqrt{5 \cdot 5} = \sqrt{25}$.

5. $\sqrt{25} = 5$.

Таким образом, $\sqrt{5\sqrt{1+2\sqrt{144}}} = \sqrt{5\sqrt{25}} = \sqrt{5 \cdot 5} = \sqrt{25} = 5$.

Ответ: 5.

Помогло решение? Оставьте отзыв в комментариях ниже.

Присоединяйтесь к Телеграм-группе @gdz_by_belarus

Присоединиться

Мы подготовили для вас ответ c подробным объяснением домашего задания по алгебре за 7-9 класс, для упражнения номер 21.24 расположенного на странице 98 к сборнику задач 2020 года издания для учащихся школ и гимназий.

Теперь на нашем сайте ГДЗ.ТОП вы всегда легко и бесплатно найдёте условие с правильным ответом на вопрос «Как решить ДЗ» и «Как сделать» задание по алгебре к упражнению №21.24 (с. 98), авторов: Арефьева (Ирина Глебовна), Пирютко (Ольга Николаевна), учебного пособия издательства Народная асвета.