Номер 22.5, страница 99 - гдз по алгебре 7-9 класс сборник задач Арефьева, Пирютко

Алгебра, 7-9 класс Сборник задач, авторы: Арефьева Ирина Глебовна, Пирютко Ольга Николаевна, издательство Народная асвета, Минск, 2020

Авторы: Арефьева И. Г., Пирютко О. Н.

Тип: Сборник задач

Издательство: Народная асвета

Год издания: 2020 - 2025

Цвет обложки: синий с графиками

Допущено Министерством образования Республики Беларусь

Популярные ГДЗ в 7 классе

8 класс. Параграф 22. Свойства квадратных корней - номер 22.5, страница 99.

№22.5 (с. 99)
Условие. №22.5 (с. 99)
скриншот условия
Алгебра, 7-9 класс Сборник задач, авторы: Арефьева Ирина Глебовна, Пирютко Ольга Николаевна, издательство Народная асвета, Минск, 2020, страница 99, номер 22.5, Условие

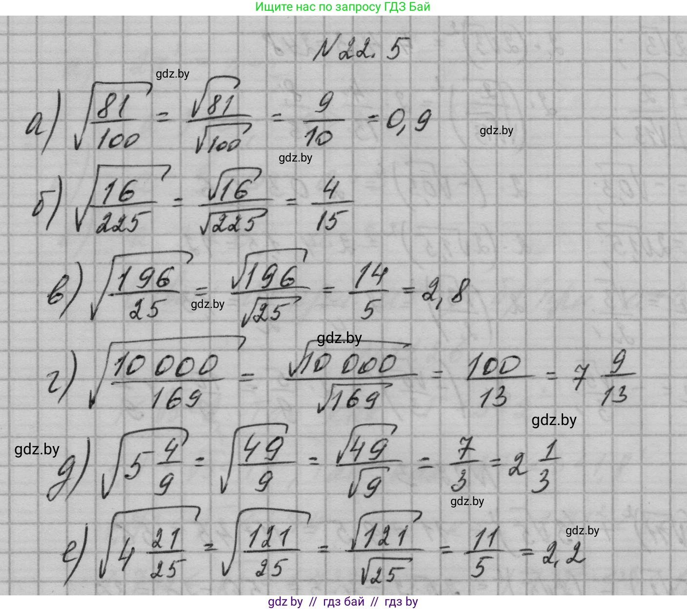
22.5. Найдите значение выражения, используя свойство квадратного корня из частного:

а) $\sqrt{\frac{81}{100}}$;

б) $\sqrt{\frac{16}{225}}$;

в) $\sqrt{\frac{196}{25}}$;

г) $\sqrt{\frac{10000}{169}}$;

д) $\sqrt{5\frac{4}{9}}$;

е) $\sqrt{4\frac{21}{25}}$;

Решение. №22.5 (с. 99)
Алгебра, 7-9 класс Сборник задач, авторы: Арефьева Ирина Глебовна, Пирютко Ольга Николаевна, издательство Народная асвета, Минск, 2020, страница 99, номер 22.5, Решение
Решение 2. №22.5 (с. 99)

а) Чтобы найти значение выражения $\sqrt{\frac{81}{100}}$, применим свойство квадратного корня из частного $\sqrt{\frac{a}{b}} = \frac{\sqrt{a}}{\sqrt{b}}$:

$\sqrt{\frac{81}{100}} = \frac{\sqrt{81}}{\sqrt{100}} = \frac{9}{10} = 0,9$.

Ответ: $0,9$.

б) Аналогично предыдущему пункту, используем свойство корня из частного для выражения $\sqrt{\frac{16}{225}}$:

$\sqrt{\frac{16}{225}} = \frac{\sqrt{16}}{\sqrt{225}} = \frac{4}{15}$.

Ответ: $\frac{4}{15}$.

в) Вычислим значение выражения $\sqrt{\frac{196}{25}}$:

$\sqrt{\frac{196}{25}} = \frac{\sqrt{196}}{\sqrt{25}} = \frac{14}{5}$.

Для удобства можно представить результат в виде смешанного числа или десятичной дроби:

$\frac{14}{5} = 2\frac{4}{5} = 2,8$.

Ответ: $2,8$.

г) Вычислим значение выражения $\sqrt{\frac{10000}{169}}$:

$\sqrt{\frac{10000}{169}} = \frac{\sqrt{10000}}{\sqrt{169}} = \frac{100}{13}$.

Представим результат в виде смешанного числа:

$\frac{100}{13} = 7\frac{9}{13}$.

Ответ: $7\frac{9}{13}$.

д) В выражении $\sqrt{5\frac{4}{9}}$ под корнем находится смешанное число. Сначала преобразуем его в неправильную дробь:

$5\frac{4}{9} = \frac{5 \cdot 9 + 4}{9} = \frac{45 + 4}{9} = \frac{49}{9}$.

Теперь извлечем корень:

$\sqrt{\frac{49}{9}} = \frac{\sqrt{49}}{\sqrt{9}} = \frac{7}{3} = 2\frac{1}{3}$.

Ответ: $2\frac{1}{3}$.

е) Аналогично пункту д), преобразуем смешанное число $4\frac{21}{25}$ в неправильную дробь:

$4\frac{21}{25} = \frac{4 \cdot 25 + 21}{25} = \frac{100 + 21}{25} = \frac{121}{25}$.

Теперь вычислим значение корня:

$\sqrt{\frac{121}{25}} = \frac{\sqrt{121}}{\sqrt{25}} = \frac{11}{5} = 2\frac{1}{5} = 2,2$.

Ответ: $2,2$.

Помогло решение? Оставьте отзыв в комментариях ниже.

Присоединяйтесь к Телеграм-группе @gdz_by_belarus

Присоединиться

Мы подготовили для вас ответ c подробным объяснением домашего задания по алгебре за 7-9 класс, для упражнения номер 22.5 расположенного на странице 99 к сборнику задач 2020 года издания для учащихся школ и гимназий.

Теперь на нашем сайте ГДЗ.ТОП вы всегда легко и бесплатно найдёте условие с правильным ответом на вопрос «Как решить ДЗ» и «Как сделать» задание по алгебре к упражнению №22.5 (с. 99), авторов: Арефьева (Ирина Глебовна), Пирютко (Ольга Николаевна), учебного пособия издательства Народная асвета.