Номер 26.7, страница 125 - гдз по алгебре 7-9 класс сборник задач Арефьева, Пирютко
Авторы: Арефьева И. Г., Пирютко О. Н.
Тип: Сборник задач
Издательство: Народная асвета
Год издания: 2020 - 2025
Цвет обложки: синий с графиками
Допущено Министерством образования Республики Беларусь
Популярные ГДЗ в 7 классе
8 класс. Параграф 26. Теорема Виета - номер 26.7, страница 125.
№26.7 (с. 125)
Условие. №26.7 (с. 125)
скриншот условия
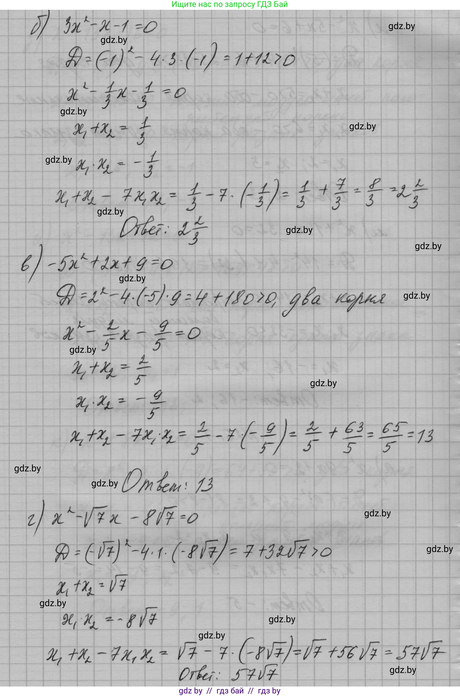
26.7. Найдите значение выражения $x_1 + x_2 - 7x_1x_2$, если $x_1$ и $x_2$ — корни уравнения:
а) $x^2 - 9x + 2 = 0;$
б) $3x^2 - x - 1 = 0;$
в) $-5x^2 + 2x + 9 = 0;$
г) $x^2 - \sqrt{7}x - 8\sqrt{7} = 0.$
Решение. №26.7 (с. 125)
Решение 2. №26.7 (с. 125)
Для нахождения значения выражения $x_1 + x_2 - 7x_1x_2$, не вычисляя сами корни $x_1$ и $x_2$, воспользуемся теоремой Виета. Для квадратного уравнения общего вида $ax^2 + bx + c = 0$ теорема Виета устанавливает следующую связь между его корнями и коэффициентами:
- Сумма корней: $x_1 + x_2 = -b/a$
- Произведение корней: $x_1x_2 = c/a$
Таким образом, мы можем выразить искомое выражение через коэффициенты каждого конкретного уравнения: $x_1 + x_2 - 7x_1x_2 = (-b/a) - 7(c/a)$.
а) Для уравнения $x^2 - 9x + 2 = 0$ коэффициенты равны: $a = 1$, $b = -9$, $c = 2$.
По теореме Виета:
Сумма корней: $x_1 + x_2 = -(-9)/1 = 9$.
Произведение корней: $x_1x_2 = 2/1 = 2$.
Теперь подставим эти значения в выражение:
$x_1 + x_2 - 7x_1x_2 = 9 - 7 \cdot 2 = 9 - 14 = -5$.
Ответ: -5.
б) Для уравнения $3x^2 - x - 1 = 0$ коэффициенты равны: $a = 3$, $b = -1$, $c = -1$.
По теореме Виета:
Сумма корней: $x_1 + x_2 = -(-1)/3 = 1/3$.
Произведение корней: $x_1x_2 = -1/3$.
Подставляем эти значения в выражение:
$x_1 + x_2 - 7x_1x_2 = 1/3 - 7 \cdot (-1/3) = 1/3 + 7/3 = 8/3$.
Ответ: $8/3$.
в) Для уравнения $-5x^2 + 2x + 9 = 0$ коэффициенты равны: $a = -5$, $b = 2$, $c = 9$.
По теореме Виета:
Сумма корней: $x_1 + x_2 = -2/(-5) = 2/5$.
Произведение корней: $x_1x_2 = 9/(-5) = -9/5$.
Подставляем эти значения в выражение:
$x_1 + x_2 - 7x_1x_2 = 2/5 - 7 \cdot (-9/5) = 2/5 + 63/5 = 65/5 = 13$.
Ответ: 13.
г) Для уравнения $x^2 - \sqrt{7}x - 8\sqrt{7} = 0$ коэффициенты равны: $a = 1$, $b = -\sqrt{7}$, $c = -8\sqrt{7}$.
По теореме Виета:
Сумма корней: $x_1 + x_2 = -(-\sqrt{7})/1 = \sqrt{7}$.
Произведение корней: $x_1x_2 = (-8\sqrt{7})/1 = -8\sqrt{7}$.
Подставляем эти значения в выражение:
$x_1 + x_2 - 7x_1x_2 = \sqrt{7} - 7 \cdot (-8\sqrt{7}) = \sqrt{7} + 56\sqrt{7} = 57\sqrt{7}$.
Ответ: $57\sqrt{7}$.
Другие задания:
Помогло решение? Оставьте отзыв в комментариях ниже.
Присоединяйтесь к Телеграм-группе @gdz_by_belarus
ПрисоединитьсяМы подготовили для вас ответ c подробным объяснением домашего задания по алгебре за 7-9 класс, для упражнения номер 26.7 расположенного на странице 125 к сборнику задач 2020 года издания для учащихся школ и гимназий.
Теперь на нашем сайте ГДЗ.ТОП вы всегда легко и бесплатно найдёте условие с правильным ответом на вопрос «Как решить ДЗ» и «Как сделать» задание по алгебре к упражнению №26.7 (с. 125), авторов: Арефьева (Ирина Глебовна), Пирютко (Ольга Николаевна), учебного пособия издательства Народная асвета.