Номер 26.9, страница 126 - гдз по алгебре 7-9 класс сборник задач Арефьева, Пирютко

Алгебра, 7-9 класс Сборник задач, авторы: Арефьева Ирина Глебовна, Пирютко Ольга Николаевна, издательство Народная асвета, Минск, 2020

Авторы: Арефьева И. Г., Пирютко О. Н.

Тип: Сборник задач

Издательство: Народная асвета

Год издания: 2020 - 2025

Цвет обложки: синий с графиками

Допущено Министерством образования Республики Беларусь

Популярные ГДЗ в 7 классе

8 класс. Параграф 26. Теорема Виета - номер 26.9, страница 126.

№26.9 (с. 126)
Условие. №26.9 (с. 126)
скриншот условия
Алгебра, 7-9 класс Сборник задач, авторы: Арефьева Ирина Глебовна, Пирютко Ольга Николаевна, издательство Народная асвета, Минск, 2020, страница 126, номер 26.9, Условие

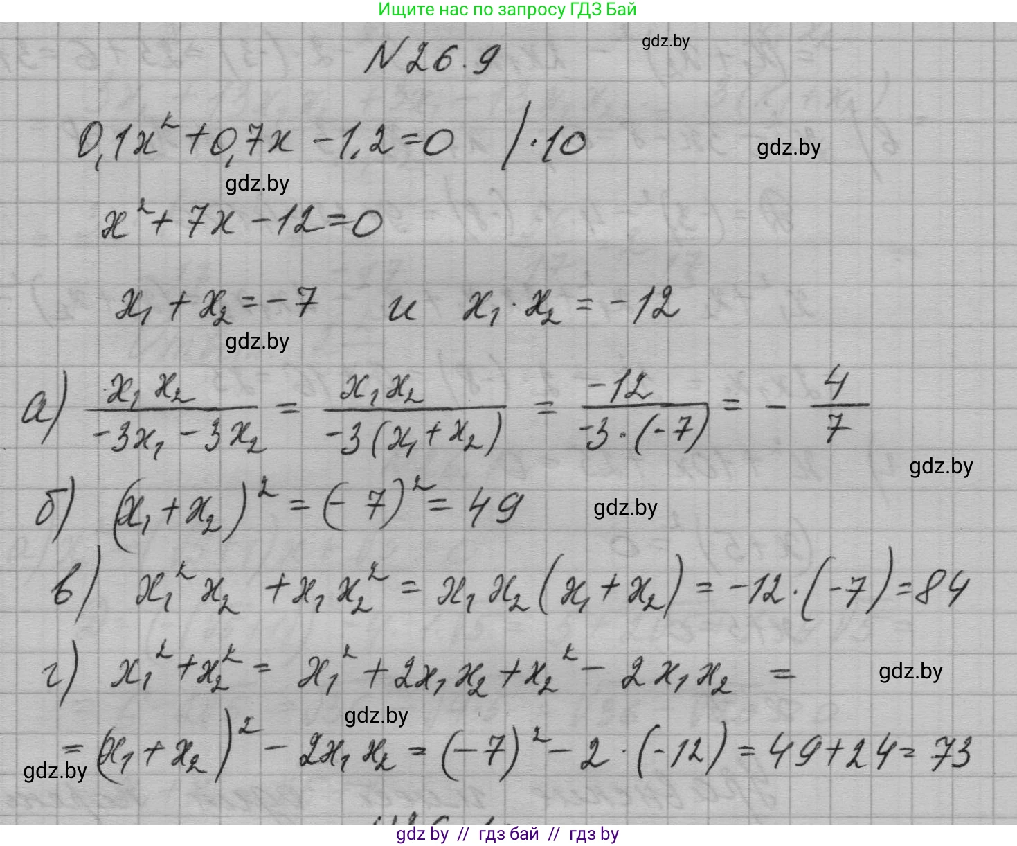
26.9. Известно, что $x_1$ и $x_2$ — корни уравнения $0.1x^2 + 0.7x - 1.2 = 0$. Найдите значение выражения:

а) $\frac{x_1x_2}{-3x_1 - 3x_2}$;

б) $(x_1 + x_2)^2$;

в) $x_1^2 x_2 + x_1 x_2^2$;

г) $x_1^2 + x_2^2$.

Решение. №26.9 (с. 126)
Алгебра, 7-9 класс Сборник задач, авторы: Арефьева Ирина Глебовна, Пирютко Ольга Николаевна, издательство Народная асвета, Минск, 2020, страница 126, номер 26.9, Решение
Решение 2. №26.9 (с. 126)

Для решения данной задачи не обязательно находить сами корни уравнения $x_1$ и $x_2$. Достаточно воспользоваться теоремой Виета, которая связывает корни квадратного уравнения $ax^2 + bx + c = 0$ с его коэффициентами.

Согласно теореме Виета:

  • Сумма корней: $x_1 + x_2 = -\frac{b}{a}$
  • Произведение корней: $x_1x_2 = \frac{c}{a}$

Для нашего уравнения $0,1x^2 + 0,7x - 1,2 = 0$ коэффициенты равны:

$a = 0,1$, $b = 0,7$, $c = -1,2$.

Найдем сумму и произведение корней:

Сумма корней: $x_1 + x_2 = -\frac{0,7}{0,1} = -7$.

Произведение корней: $x_1x_2 = \frac{-1,2}{0,1} = -12$.

Теперь, имея эти значения, мы можем вычислить значения требуемых выражений.

а) $\frac{x_1x_2}{-3x_1 - 3x_2}$

Сначала преобразуем знаменатель, вынеся за скобки общий множитель $-3$:

$-3x_1 - 3x_2 = -3(x_1 + x_2)$

Таким образом, выражение принимает вид:

$\frac{x_1x_2}{-3(x_1 + x_2)}$

Подставим известные значения $x_1x_2 = -12$ и $x_1 + x_2 = -7$:

$\frac{-12}{-3(-7)} = \frac{-12}{21} = -\frac{4}{7}$

Ответ: $-\frac{4}{7}$.

б) $(x_1 + x_2)^2$

Нам известно, что сумма корней $x_1 + x_2 = -7$. Нужно просто возвести это значение в квадрат.

$(-7)^2 = 49$

Ответ: $49$.

в) $x_1^2x_2 + x_1x_2^2$

Вынесем за скобки общий множитель $x_1x_2$:

$x_1x_2(x_1 + x_2)$

Теперь подставим известные значения произведения корней ($x_1x_2 = -12$) и их суммы ($x_1 + x_2 = -7$):

$(-12) \cdot (-7) = 84$

Ответ: $84$.

г) $x_1^2 + x_2^2$

Чтобы найти сумму квадратов корней, воспользуемся формулой квадрата суммы: $(x_1 + x_2)^2 = x_1^2 + 2x_1x_2 + x_2^2$.

Выразим из нее $x_1^2 + x_2^2$:

$x_1^2 + x_2^2 = (x_1 + x_2)^2 - 2x_1x_2$

Подставим известные нам значения:

$(-7)^2 - 2(-12) = 49 + 24 = 73$

Ответ: $73$.

Помогло решение? Оставьте отзыв в комментариях ниже.

Присоединяйтесь к Телеграм-группе @gdz_by_belarus

Присоединиться

Мы подготовили для вас ответ c подробным объяснением домашего задания по алгебре за 7-9 класс, для упражнения номер 26.9 расположенного на странице 126 к сборнику задач 2020 года издания для учащихся школ и гимназий.

Теперь на нашем сайте ГДЗ.ТОП вы всегда легко и бесплатно найдёте условие с правильным ответом на вопрос «Как решить ДЗ» и «Как сделать» задание по алгебре к упражнению №26.9 (с. 126), авторов: Арефьева (Ирина Глебовна), Пирютко (Ольга Николаевна), учебного пособия издательства Народная асвета.