Номер 26.12, страница 126 - гдз по алгебре 7-9 класс сборник задач Арефьева, Пирютко

Алгебра, 7-9 класс Сборник задач, авторы: Арефьева Ирина Глебовна, Пирютко Ольга Николаевна, издательство Народная асвета, Минск, 2020

Авторы: Арефьева И. Г., Пирютко О. Н.

Тип: Сборник задач

Издательство: Народная асвета

Год издания: 2020 - 2025

Цвет обложки: синий с графиками

Допущено Министерством образования Республики Беларусь

Популярные ГДЗ в 7 классе

8 класс. Параграф 26. Теорема Виета - номер 26.12, страница 126.

№26.12 (с. 126)
Условие. №26.12 (с. 126)
скриншот условия
Алгебра, 7-9 класс Сборник задач, авторы: Арефьева Ирина Глебовна, Пирютко Ольга Николаевна, издательство Народная асвета, Минск, 2020, страница 126, номер 26.12, Условие

26.12*. Найдите корни уравнения, не используя формулу корней квадратного уравнения:

a) $x^2 - (\sqrt{5} + 1)x + \sqrt{5} = 0;$

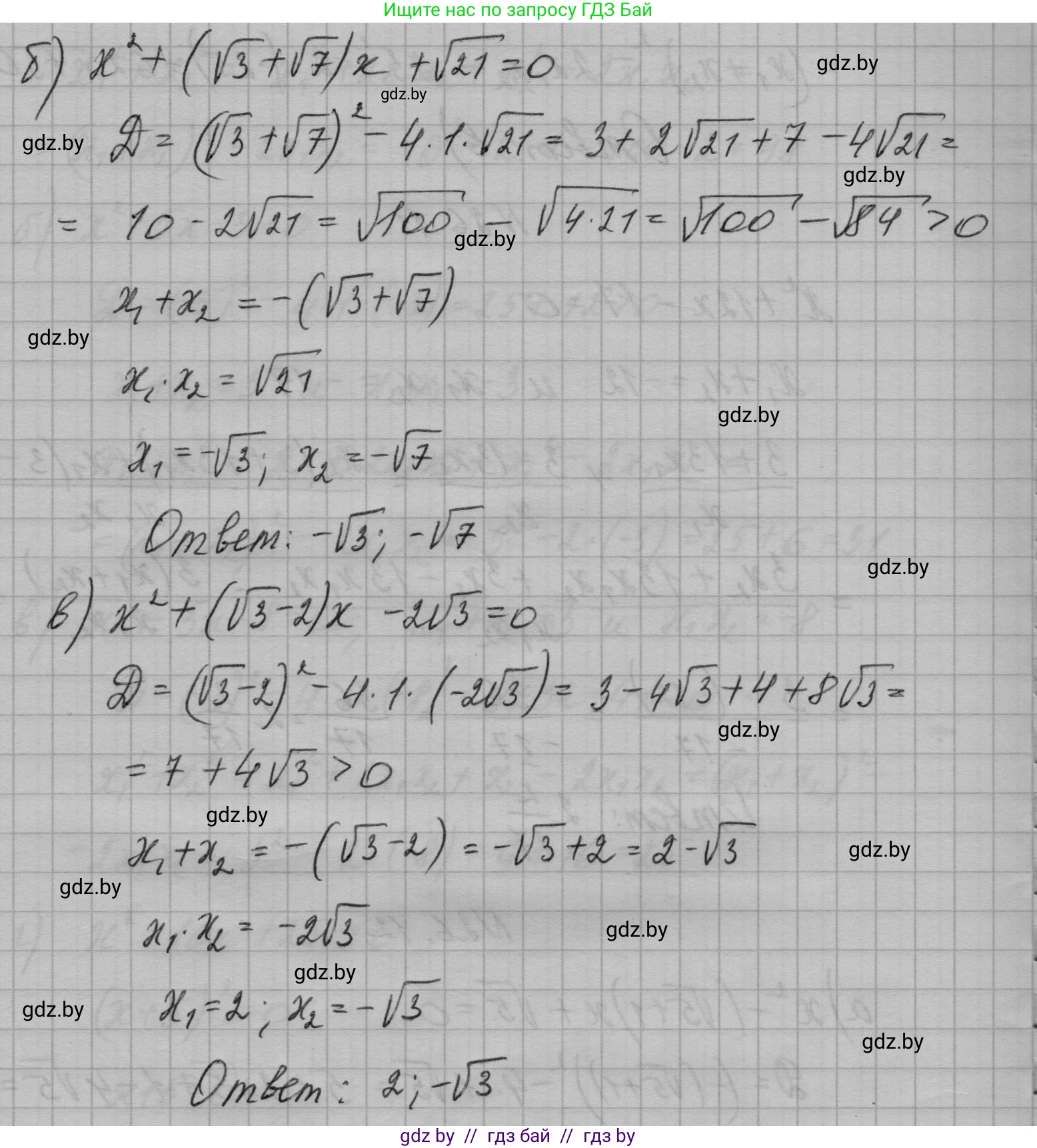
б) $x^2 + (\sqrt{3} + \sqrt{7})x + \sqrt{21} = 0;$

в) $x^2 + (\sqrt{3} - 2)x - 2\sqrt{3} = 0.$

Решение. №26.12 (с. 126)
Алгебра, 7-9 класс Сборник задач, авторы: Арефьева Ирина Глебовна, Пирютко Ольга Николаевна, издательство Народная асвета, Минск, 2020, страница 126, номер 26.12, Решение Алгебра, 7-9 класс Сборник задач, авторы: Арефьева Ирина Глебовна, Пирютко Ольга Николаевна, издательство Народная асвета, Минск, 2020, страница 126, номер 26.12, Решение (продолжение 2)
Решение 2. №26.12 (с. 126)

а) $x^2 - (\sqrt{5} + 1)x + \sqrt{5} = 0$

Данное уравнение является приведенным квадратным уравнением вида $x^2 + px + q = 0$. Согласно теореме Виета, для его корней $x_1$ и $x_2$ справедливы следующие соотношения:

$x_1 + x_2 = -p$

$x_1 \cdot x_2 = q$

В нашем случае коэффициенты равны $p = -(\sqrt{5} + 1)$ и $q = \sqrt{5}$.

Тогда система для корней выглядит так:

$x_1 + x_2 = -(-(\sqrt{5} + 1)) = \sqrt{5} + 1$

$x_1 \cdot x_2 = \sqrt{5}$

Методом подбора легко найти, что этим условиям удовлетворяют числа $\sqrt{5}$ и $1$.

Проверим:
Сумма: $\sqrt{5} + 1$. Условие выполняется.
Произведение: $\sqrt{5} \cdot 1 = \sqrt{5}$. Условие выполняется.

Следовательно, корнями уравнения являются $1$ и $\sqrt{5}$.

Ответ: $1; \sqrt{5}$.

б) $x^2 + (\sqrt{3} + \sqrt{7})x + \sqrt{21} = 0$

Это приведенное квадратное уравнение. Применим теорему Виета. Коэффициенты здесь равны $p = \sqrt{3} + \sqrt{7}$ и $q = \sqrt{21}$.

Система уравнений для корней $x_1$ и $x_2$:

$x_1 + x_2 = -p = -(\sqrt{3} + \sqrt{7})$

$x_1 \cdot x_2 = q = \sqrt{21}$

Заметим, что произведение корней можно представить как $\sqrt{21} = \sqrt{3} \cdot \sqrt{7}$. Исходя из этого и из уравнения для суммы корней, можно предположить, что корнями являются числа $-\sqrt{3}$ и $-\sqrt{7}$.

Проверим:
Сумма: $(-\sqrt{3}) + (-\sqrt{7}) = -\sqrt{3} - \sqrt{7} = -(\sqrt{3} + \sqrt{7})$. Условие выполняется.
Произведение: $(-\sqrt{3}) \cdot (-\sqrt{7}) = \sqrt{3 \cdot 7} = \sqrt{21}$. Условие выполняется.

Таким образом, корни уравнения: $-\sqrt{3}$ и $-\sqrt{7}$.

Ответ: $-\sqrt{3}; -\sqrt{7}$.

в) $x^2 + (\sqrt{3} - 2)x - 2\sqrt{3} = 0$

Это также приведенное квадратное уравнение. Воспользуемся теоремой Виета. Коэффициенты равны $p = \sqrt{3} - 2$ и $q = -2\sqrt{3}$.

Составим систему для корней $x_1$ и $x_2$:

$x_1 + x_2 = -p = -(\sqrt{3} - 2) = 2 - \sqrt{3}$

$x_1 \cdot x_2 = q = -2\sqrt{3}$

Из уравнения для произведения видно, что корни имеют разные знаки. Попробуем в качестве корней числа $\sqrt{3}$ и $-2$.
Их произведение: $\sqrt{3} \cdot (-2) = -2\sqrt{3}$. Это соответствует значению $q$.
Их сумма: $\sqrt{3} + (-2) = \sqrt{3} - 2$. Это не соответствует значению $-p$.

Попробуем другую пару чисел: $-\sqrt{3}$ и $2$.
Проверим их произведение: $(-\sqrt{3}) \cdot 2 = -2\sqrt{3}$. Соответствует $q$.
Проверим их сумму: $-\sqrt{3} + 2 = 2 - \sqrt{3}$. Соответствует $-p$.

Следовательно, корни уравнения: $2$ и $-\sqrt{3}$.

Ответ: $2; -\sqrt{3}$.

Помогло решение? Оставьте отзыв в комментариях ниже.

Присоединяйтесь к Телеграм-группе @gdz_by_belarus

Присоединиться

Мы подготовили для вас ответ c подробным объяснением домашего задания по алгебре за 7-9 класс, для упражнения номер 26.12 расположенного на странице 126 к сборнику задач 2020 года издания для учащихся школ и гимназий.

Теперь на нашем сайте ГДЗ.ТОП вы всегда легко и бесплатно найдёте условие с правильным ответом на вопрос «Как решить ДЗ» и «Как сделать» задание по алгебре к упражнению №26.12 (с. 126), авторов: Арефьева (Ирина Глебовна), Пирютко (Ольга Николаевна), учебного пособия издательства Народная асвета.