Номер 2.118, страница 75 - гдз по алгебре 7 класс учебник Арефьева, Пирютко

Алгебра, 7 класс Учебник, авторы: Арефьева Ирина Глебовна, Пирютко Ольга Николаевна, издательство Народная асвета, Минск, 2022, зелёного цвета

Авторы: Арефьева И. Г., Пирютко О. Н.

Тип: Учебник

Издательство: Народная асвета

Год издания: 2022 - 2025

Цвет обложки: зелёный с графиком

ISBN: ISBN 978-985-03-3770-2

Допущено Министерством образования Республики Беларусь

Популярные ГДЗ в 7 классе

Глава 2. Выражения и их преобразования. Параграф 7. Действия с одночленами - номер 2.118, страница 75.

№2.118 (с. 75)
Условие. №2.118 (с. 75)
скриншот условия
Алгебра, 7 класс Учебник, авторы: Арефьева Ирина Глебовна, Пирютко Ольга Николаевна, издательство Народная асвета, Минск, 2022, зелёного цвета, страница 75, номер 2.118, Условие

2.118. Упростите выражение:

а) $12a^2b - 5a^2b + 3a^2b$;

б) $7x^3y^2 + 2x^3y^2 - 8x^3y^2$;

в) $13m^5n^3 - m^5n^3 - 9m^5n^3$;

г) $0.2a^6b^2 - 8.9a^6b^2 + 2a^6b^2$;

д) $-0.1a^2bc - 0.4a^2bc - 0.5a^2bc$;

е) $8.5xy - 7.5xy - xy$.

Решение. №2.118 (с. 75)
Алгебра, 7 класс Учебник, авторы: Арефьева Ирина Глебовна, Пирютко Ольга Николаевна, издательство Народная асвета, Минск, 2022, зелёного цвета, страница 75, номер 2.118, Решение
Решение 2. №2.118 (с. 75)

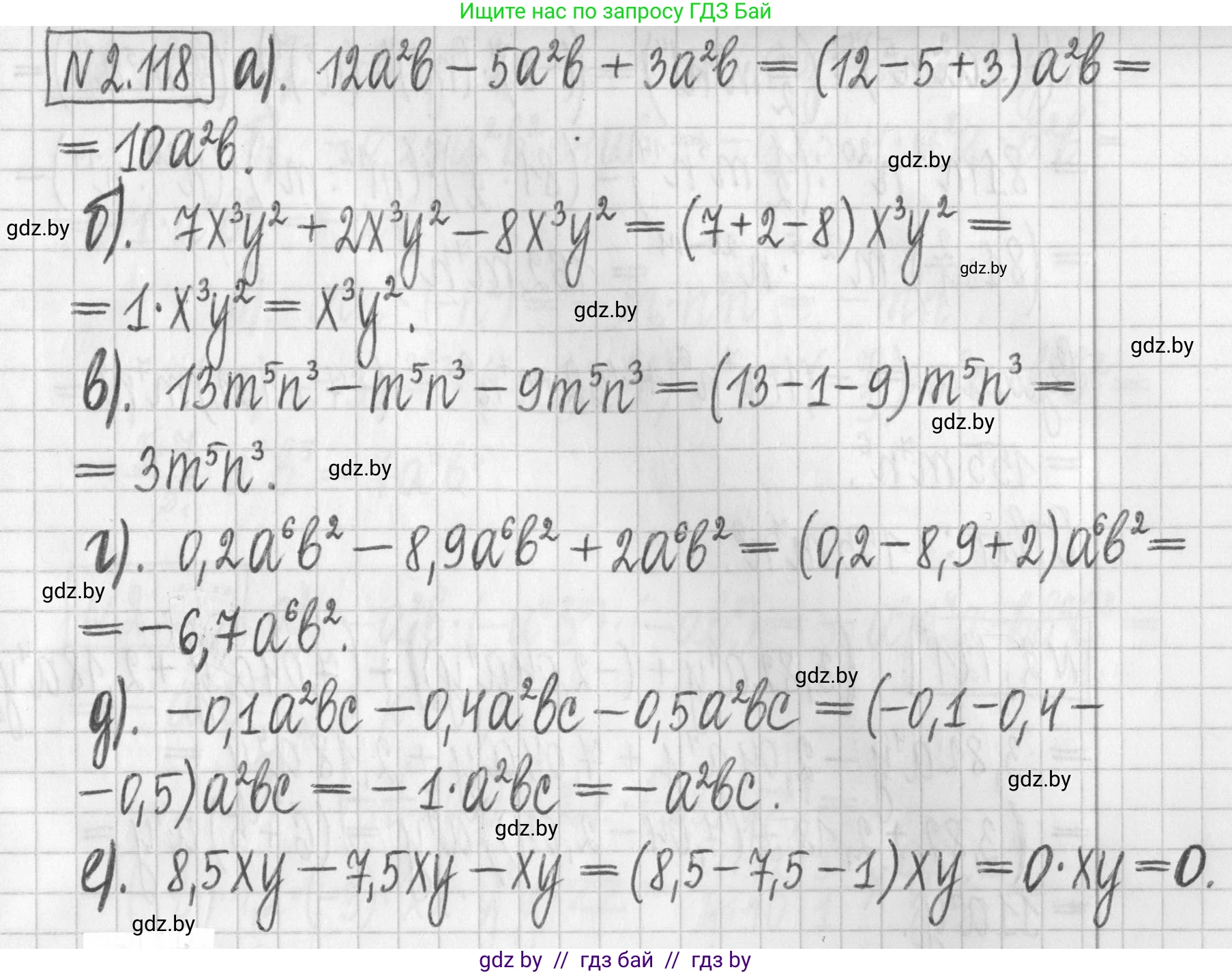
а) В выражении $12a^2b - 5a^2b + 3a^2b$ все члены являются подобными слагаемыми, так как у них одинаковая буквенная часть $a^2b$. Чтобы упростить выражение, нужно сложить их коэффициенты:
$12 - 5 + 3 = 7 + 3 = 10$.
Результатом будет одночлен с тем же буквенным выражением и новым коэффициентом.
Ответ: $10a^2b$.

б) В выражении $7x^3y^2 + 2x^3y^2 - 8x^3y^2$ все слагаемые являются подобными с общей буквенной частью $x^3y^2$. Выполним действия с коэффициентами:
$7 + 2 - 8 = 9 - 8 = 1$.
Получаем $1 \cdot x^3y^2$, что принято записывать без коэффициента 1.
Ответ: $x^3y^2$.

в) Упростим выражение $13m^5n^3 - m^5n^3 - 9m^5n^3$. Подобные слагаемые имеют общую часть $m^5n^3$. Коэффициент у второго члена $-m^5n^3$ равен -1. Сложим коэффициенты:
$13 - 1 - 9 = 12 - 9 = 3$.
Итоговое выражение: $3m^5n^3$.
Ответ: $3m^5n^3$.

г) В выражении $0,2a^6b^2 - 8,9a^6b^2 + 2a^6b^2$ общая буквенная часть у подобных слагаемых - $a^6b^2$. Складываем коэффициенты:
$0,2 - 8,9 + 2 = (0,2 + 2) - 8,9 = 2,2 - 8,9 = -6,7$.
Результат в виде десятичной дроби: $-6,7a^6b^2$.
Чтобы выделить целую часть, переведем десятичную дробь в смешанное число:
$-6,7 = -\frac{67}{10} = -6\frac{7}{10}$.
Ответ: $-6\frac{7}{10}a^6b^2$.

д) Для выражения $-0,1a^2bc - 0,4a^2bc - 0,5a^2bc$ приведем подобные слагаемые с общей частью $a^2bc$. Сложим коэффициенты:
$-0,1 - 0,4 - 0,5 = -0,5 - 0,5 = -1$.
Результат: $-1 \cdot a^2bc$, что записывается как $-a^2bc$.
Ответ: $-a^2bc$.

е) Упростим выражение $8,5xy - 7,5xy - xy$. Общая часть подобных слагаемых - $xy$. Коэффициент последнего члена $-xy$ равен -1. Сложим коэффициенты:
$8,5 - 7,5 - 1 = 1 - 1 = 0$.
При умножении любого выражения на 0 получается 0.
Ответ: $0$.

Помогло решение? Оставьте отзыв в комментариях ниже.

Присоединяйтесь к Телеграм-группе @gdz_by_belarus

Присоединиться

Мы подготовили для вас ответ c подробным объяснением домашего задания по алгебре за 7 класс, для упражнения номер 2.118 расположенного на странице 75 к учебнику 2022 года издания для учащихся школ и гимназий.

Теперь на нашем сайте ГДЗ.ТОП вы всегда легко и бесплатно найдёте условие с правильным ответом на вопрос «Как решить ДЗ» и «Как сделать» задание по алгебре к упражнению №2.118 (с. 75), авторов: Арефьева (Ирина Глебовна), Пирютко (Ольга Николаевна), учебного пособия издательства Народная асвета.