Номер 2.111, страница 74 - гдз по алгебре 7 класс учебник Арефьева, Пирютко

Алгебра, 7 класс Учебник, авторы: Арефьева Ирина Глебовна, Пирютко Ольга Николаевна, издательство Народная асвета, Минск, 2022, зелёного цвета

Авторы: Арефьева И. Г., Пирютко О. Н.

Тип: Учебник

Издательство: Народная асвета

Год издания: 2022 - 2025

Цвет обложки: зелёный с графиком

ISBN: ISBN 978-985-03-3770-2

Допущено Министерством образования Республики Беларусь

Популярные ГДЗ в 7 классе

Глава 2. Выражения и их преобразования. Параграф 7. Действия с одночленами - номер 2.111, страница 74.

№2.111 (с. 74)
Условие. №2.111 (с. 74)
скриншот условия
Алгебра, 7 класс Учебник, авторы: Арефьева Ирина Глебовна, Пирютко Ольга Николаевна, издательство Народная асвета, Минск, 2022, зелёного цвета, страница 74, номер 2.111, Условие

2.111. Упростите выражение:

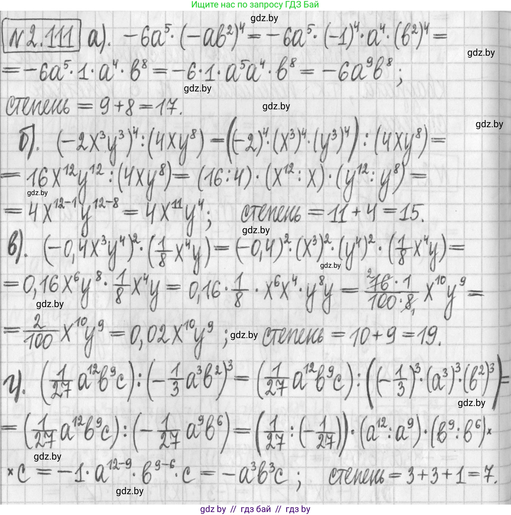
а) $-6a^5 \cdot (-ab^2)^4$;

б) $(-2x^3 y^3)^4 : (4xy^8)$;

в) $(-0.4x^3 y^4)^2 \cdot (\frac{1}{8}x^4 y)$;

г) $(\frac{1}{27}a^{12}b^9 c) : (-\frac{1}{3}a^3 b^2)^3$.

Определите степень результата.

Решение. №2.111 (с. 74)
Алгебра, 7 класс Учебник, авторы: Арефьева Ирина Глебовна, Пирютко Ольга Николаевна, издательство Народная асвета, Минск, 2022, зелёного цвета, страница 74, номер 2.111, Решение
Решение 2. №2.111 (с. 74)

а) $-6a^5 \cdot (-ab^2)^4$

Для упрощения выражения необходимо выполнить следующие шаги:

  1. Возвести второй множитель $(-ab^2)$ в четвертую степень. При возведении отрицательного числа в четную степень результат будет положительным. Показатели степеней переменных умножаются на степень, в которую возводится выражение.

    $(-ab^2)^4 = (-1)^4 \cdot a^4 \cdot (b^2)^4 = 1 \cdot a^4 \cdot b^{2 \cdot 4} = a^4b^8$

  2. Умножить полученный результат на первый множитель $-6a^5$. При умножении одночленов их коэффициенты перемножаются, а показатели степеней одинаковых переменных складываются.

    $-6a^5 \cdot a^4b^8 = -6 \cdot a^{5+4} \cdot b^8 = -6a^9b^8$

  3. Определить степень результата. Степень одночлена — это сумма показателей степеней всех его переменных.

    Степень = $9 + 8 = 17$

Ответ: $-6a^9b^8$, степень 17.

б) $(-2x^3y^3)^4 : (4xy^8)$

Для упрощения выражения выполним следующие действия:

  1. Возведем делимое $(-2x^3y^3)$ в четвертую степень.

    $(-2x^3y^3)^4 = (-2)^4 \cdot (x^3)^4 \cdot (y^3)^4 = 16x^{12}y^{12}$

  2. Разделим полученное выражение на делитель $(4xy^8)$. При делении одночленов их коэффициенты делятся, а показатели степеней одинаковых переменных вычитаются.

    $16x^{12}y^{12} : (4xy^8) = \frac{16}{4} \cdot x^{12-1} \cdot y^{12-8} = 4x^{11}y^4$

  3. Определим степень полученного одночлена.

    Степень = $11 + 4 = 15$

Ответ: $4x^{11}y^4$, степень 15.

в) $(-0,4x^3y^4)^2 \cdot (\frac{1}{8}x^4y)$

Упростим выражение по шагам:

  1. Возведем первый множитель $(-0,4x^3y^4)$ во вторую степень.

    $(-0,4x^3y^4)^2 = (-0,4)^2 \cdot (x^3)^2 \cdot (y^4)^2 = 0,16x^6y^8$

  2. Умножим результат на второй множитель $(\frac{1}{8}x^4y)$.

    $0,16x^6y^8 \cdot \frac{1}{8}x^4y = (0,16 \cdot \frac{1}{8}) \cdot (x^6 \cdot x^4) \cdot (y^8 \cdot y)$

    Вычислим коэффициент: $0,16 \cdot \frac{1}{8} = 0,02$.

    Перемножим переменные: $x^{6+4} \cdot y^{8+1} = x^{10}y^9$.

    Итоговое выражение: $0,02x^{10}y^9$.

  3. Определим степень результата.

    Степень = $10 + 9 = 19$

Ответ: $0,02x^{10}y^9$, степень 19.

г) $(\frac{1}{27}a^{12}b^9c) : (-\frac{1}{3}a^3b^2)^3$

Для упрощения выполним следующие шаги:

  1. Возведем делитель $(-\frac{1}{3}a^3b^2)$ в третью степень. При возведении отрицательного числа в нечетную степень результат будет отрицательным.

    $(-\frac{1}{3}a^3b^2)^3 = (-\frac{1}{3})^3 \cdot (a^3)^3 \cdot (b^2)^3 = -\frac{1}{27}a^9b^6$

  2. Выполним деление делимого $(\frac{1}{27}a^{12}b^9c)$ на полученный результат.

    $(\frac{1}{27}a^{12}b^9c) : (-\frac{1}{27}a^9b^6) = \frac{\frac{1}{27}}{-\frac{1}{27}} \cdot a^{12-9} \cdot b^{9-6} \cdot c = -1 \cdot a^3b^3c = -a^3b^3c$

  3. Определим степень итогового одночлена.

    Степень = $3 + 3 + 1 = 7$

Ответ: $-a^3b^3c$, степень 7.

Помогло решение? Оставьте отзыв в комментариях ниже.

Присоединяйтесь к Телеграм-группе @gdz_by_belarus

Присоединиться

Мы подготовили для вас ответ c подробным объяснением домашего задания по алгебре за 7 класс, для упражнения номер 2.111 расположенного на странице 74 к учебнику 2022 года издания для учащихся школ и гимназий.

Теперь на нашем сайте ГДЗ.ТОП вы всегда легко и бесплатно найдёте условие с правильным ответом на вопрос «Как решить ДЗ» и «Как сделать» задание по алгебре к упражнению №2.111 (с. 74), авторов: Арефьева (Ирина Глебовна), Пирютко (Ольга Николаевна), учебного пособия издательства Народная асвета.