Номер 2.109, страница 73 - гдз по алгебре 7 класс учебник Арефьева, Пирютко

Алгебра, 7 класс Учебник, авторы: Арефьева Ирина Глебовна, Пирютко Ольга Николаевна, издательство Народная асвета, Минск, 2022, зелёного цвета

Авторы: Арефьева И. Г., Пирютко О. Н.

Тип: Учебник

Издательство: Народная асвета

Год издания: 2022 - 2025

Цвет обложки: зелёный с графиком

ISBN: ISBN 978-985-03-3770-2

Допущено Министерством образования Республики Беларусь

Популярные ГДЗ в 7 классе

Глава 2. Выражения и их преобразования. Параграф 7. Действия с одночленами - номер 2.109, страница 73.

№2.109 (с. 73)
Условие. №2.109 (с. 73)
скриншот условия
Алгебра, 7 класс Учебник, авторы: Арефьева Ирина Глебовна, Пирютко Ольга Николаевна, издательство Народная асвета, Минск, 2022, зелёного цвета, страница 73, номер 2.109, Условие

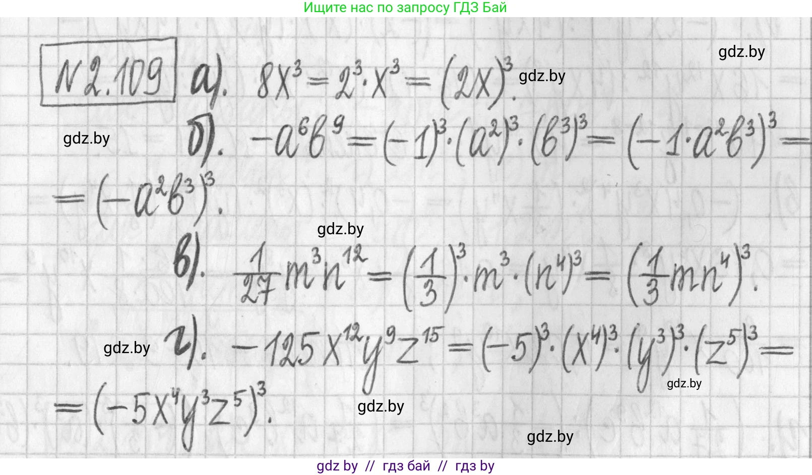
2.109. Представьте в виде куба одночлена выражение:

а) $8x^3$;

б) $-a^6b^9$;

в) $\frac{1}{27}m^3n^{12}$;

г) $-125x^{12}y^9z^{15}$.

Решение. №2.109 (с. 73)
Алгебра, 7 класс Учебник, авторы: Арефьева Ирина Глебовна, Пирютко Ольга Николаевна, издательство Народная асвета, Минск, 2022, зелёного цвета, страница 73, номер 2.109, Решение
Решение 2. №2.109 (с. 73)

Для того чтобы представить выражение в виде куба одночлена, необходимо найти такой одночлен, который при возведении в третью степень (в куб) даст исходное выражение. Для этого нужно извлечь кубический корень из коэффициента и каждого переменного множителя. Будем использовать свойство степени $(a^m)^n = a^{m \cdot n}$.

а) $8x^3$

Представим каждый множитель в виде куба:

  • Числовой коэффициент: $8 = 2^3$.
  • Переменная: $x^3 = (x^1)^3 = (x)^3$.

Следовательно, объединив основания степеней, получаем: $8x^3 = 2^3 \cdot x^3 = (2x)^3$.

Ответ: $(2x)^3$.

б) $-a^6b^9$

Представим каждый множитель в виде куба:

  • Числовой коэффициент: $-1 = (-1)^3$.
  • Переменная $a$: $a^6 = a^{2 \cdot 3} = (a^2)^3$.
  • Переменная $b$: $b^9 = b^{3 \cdot 3} = (b^3)^3$.

Следовательно, объединив основания степеней, получаем: $-a^6b^9 = (-1)^3 \cdot (a^2)^3 \cdot (b^3)^3 = (-a^2b^3)^3$.

Ответ: $(-a^2b^3)^3$.

в) $\frac{1}{27}m^3n^{12}$

Представим каждый множитель в виде куба:

  • Числовой коэффициент: $\frac{1}{27} = \frac{1^3}{3^3} = (\frac{1}{3})^3$.
  • Переменная $m$: $m^3 = (m^1)^3 = (m)^3$.
  • Переменная $n$: $n^{12} = n^{4 \cdot 3} = (n^4)^3$.

Следовательно, объединив основания степеней, получаем: $\frac{1}{27}m^3n^{12} = (\frac{1}{3})^3 \cdot m^3 \cdot (n^4)^3 = (\frac{1}{3}mn^4)^3$.

Ответ: $(\frac{1}{3}mn^4)^3$.

г) $-125x^{12}y^9z^{15}$

Представим каждый множитель в виде куба:

  • Числовой коэффициент: $-125 = (-5)^3$.
  • Переменная $x$: $x^{12} = x^{4 \cdot 3} = (x^4)^3$.
  • Переменная $y$: $y^9 = y^{3 \cdot 3} = (y^3)^3$.
  • Переменная $z$: $z^{15} = z^{5 \cdot 3} = (z^5)^3$.

Следовательно, объединив основания степеней, получаем: $-125x^{12}y^9z^{15} = (-5)^3 \cdot (x^4)^3 \cdot (y^3)^3 \cdot (z^5)^3 = (-5x^4y^3z^5)^3$.

Ответ: $(-5x^4y^3z^5)^3$.

Помогло решение? Оставьте отзыв в комментариях ниже.

Присоединяйтесь к Телеграм-группе @gdz_by_belarus

Присоединиться

Мы подготовили для вас ответ c подробным объяснением домашего задания по алгебре за 7 класс, для упражнения номер 2.109 расположенного на странице 73 к учебнику 2022 года издания для учащихся школ и гимназий.

Теперь на нашем сайте ГДЗ.ТОП вы всегда легко и бесплатно найдёте условие с правильным ответом на вопрос «Как решить ДЗ» и «Как сделать» задание по алгебре к упражнению №2.109 (с. 73), авторов: Арефьева (Ирина Глебовна), Пирютко (Ольга Николаевна), учебного пособия издательства Народная асвета.