Номер 2.116, страница 75 - гдз по алгебре 7 класс учебник Арефьева, Пирютко

Алгебра, 7 класс Учебник, авторы: Арефьева Ирина Глебовна, Пирютко Ольга Николаевна, издательство Народная асвета, Минск, 2022, зелёного цвета

Авторы: Арефьева И. Г., Пирютко О. Н.

Тип: Учебник

Издательство: Народная асвета

Год издания: 2022 - 2025

Цвет обложки: зелёный с графиком

ISBN: ISBN 978-985-03-3770-2

Допущено Министерством образования Республики Беларусь

Популярные ГДЗ в 7 классе

Глава 2. Выражения и их преобразования. Параграф 7. Действия с одночленами - номер 2.116, страница 75.

№2.116 (с. 75)
Условие. №2.116 (с. 75)
скриншот условия
Алгебра, 7 класс Учебник, авторы: Арефьева Ирина Глебовна, Пирютко Ольга Николаевна, издательство Народная асвета, Минск, 2022, зелёного цвета, страница 75, номер 2.116, Условие

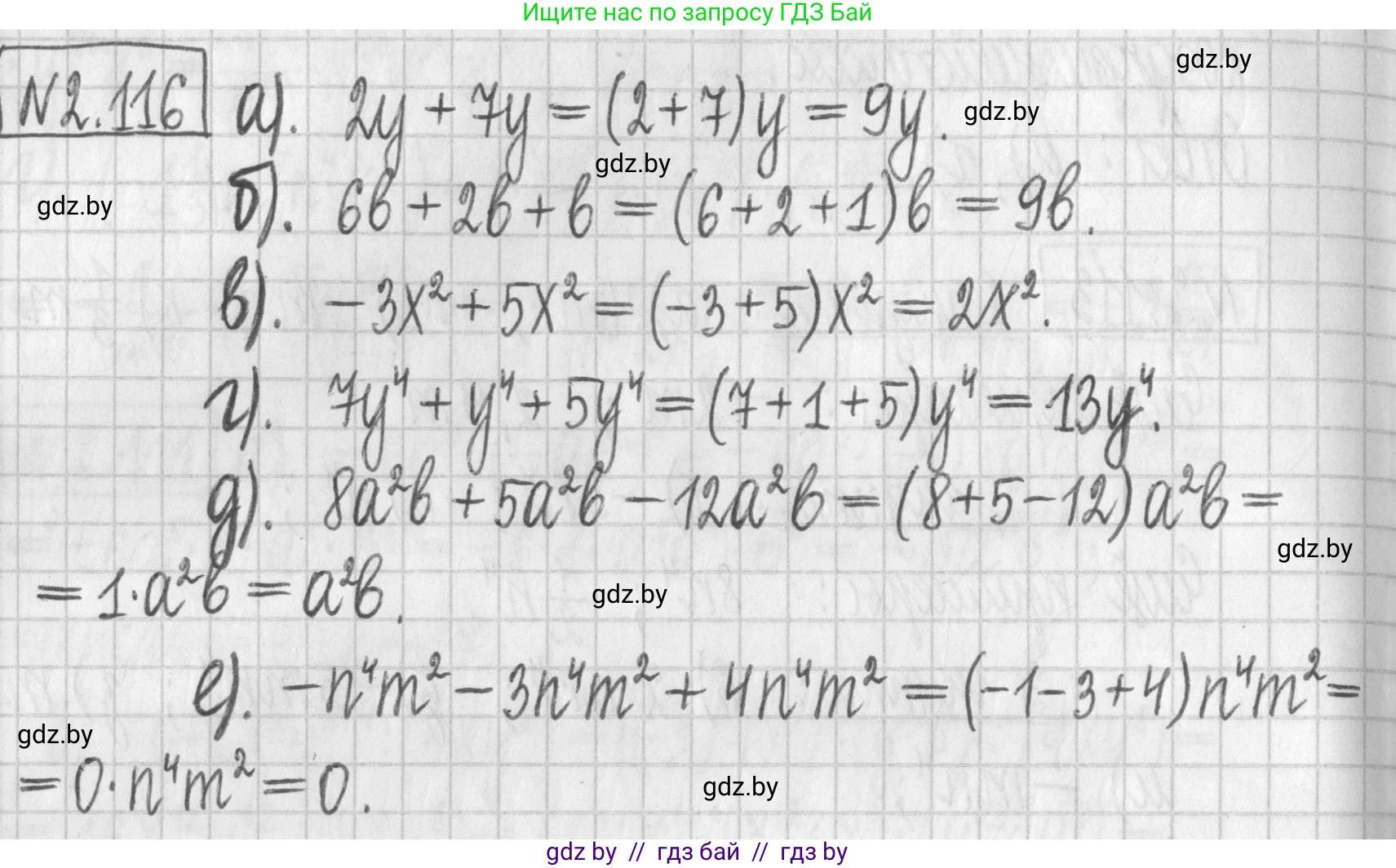
2.116. Выполните сложение подобных одночленов:

а) $2y + 7y;$

б) $6b + 2b + b;$

в) $-3x^2 + 5x^2;$

г) $7y^4 + y^4 + 5y^4;$

д) $8a^2b + 5a^2b - 12a^2b;$

е) $-n^4m^2 - 3n^4m^2 + 4n^4m^2.$

Решение. №2.116 (с. 75)
Алгебра, 7 класс Учебник, авторы: Арефьева Ирина Глебовна, Пирютко Ольга Николаевна, издательство Народная асвета, Минск, 2022, зелёного цвета, страница 75, номер 2.116, Решение
Решение 2. №2.116 (с. 75)

2.116. Выполните сложение подобных одночленов:

а) Подобные одночлены — это одночлены, которые имеют одинаковую буквенную часть. В данном случае это $y$. Чтобы их сложить, нужно сложить их коэффициенты (числа перед буквой), а буквенную часть оставить без изменений.
$2y + 7y = (2 + 7)y = 9y$.
Ответ: $9y$.

б) Все три члена $6b$, $2b$ и $b$ являются подобными, так как имеют одинаковую буквенную часть $b$. Коэффициент одночлена $b$ равен $1$. Складываем коэффициенты:
$6b + 2b + b = (6 + 2 + 1)b = 9b$.
Ответ: $9b$.

в) Одночлены $-3x^2$ и $5x^2$ являются подобными, так как у них одинаковая буквенная часть $x^2$. Складываем их коэффициенты:
$-3x^2 + 5x^2 = (-3 + 5)x^2 = 2x^2$.
Ответ: $2x^2$.

г) Все три члена $7y^4$, $y^4$ и $5y^4$ являются подобными. Их общая буквенная часть — $y^4$. Коэффициент одночлена $y^4$ равен $1$. Складываем коэффициенты:
$7y^4 + y^4 + 5y^4 = (7 + 1 + 5)y^4 = 13y^4$.
Ответ: $13y^4$.

д) Буквенная часть всех трех одночленов одинакова и равна $a^2b$. Следовательно, они подобны. Выполним действия с их коэффициентами:
$8a^2b + 5a^2b - 12a^2b = (8 + 5 - 12)a^2b = (13 - 12)a^2b = 1 \cdot a^2b = a^2b$.
Ответ: $a^2b$.

е) Все три одночлена подобны, так как имеют одинаковую буквенную часть $n^4m^2$. Коэффициент первого члена $-n^4m^2$ равен $-1$. Сложим коэффициенты:
$-n^4m^2 - 3n^4m^2 + 4n^4m^2 = (-1 - 3 + 4)n^4m^2 = (-4 + 4)n^4m^2 = 0 \cdot n^4m^2 = 0$.
Ответ: $0$.

Помогло решение? Оставьте отзыв в комментариях ниже.

Присоединяйтесь к Телеграм-группе @gdz_by_belarus

Присоединиться

Мы подготовили для вас ответ c подробным объяснением домашего задания по алгебре за 7 класс, для упражнения номер 2.116 расположенного на странице 75 к учебнику 2022 года издания для учащихся школ и гимназий.

Теперь на нашем сайте ГДЗ.ТОП вы всегда легко и бесплатно найдёте условие с правильным ответом на вопрос «Как решить ДЗ» и «Как сделать» задание по алгебре к упражнению №2.116 (с. 75), авторов: Арефьева (Ирина Глебовна), Пирютко (Ольга Николаевна), учебного пособия издательства Народная асвета.