Номер 2.203, страница 95 - гдз по алгебре 7 класс учебник Арефьева, Пирютко

Алгебра, 7 класс Учебник, авторы: Арефьева Ирина Глебовна, Пирютко Ольга Николаевна, издательство Народная асвета, Минск, 2022, зелёного цвета

Авторы: Арефьева И. Г., Пирютко О. Н.

Тип: Учебник

Издательство: Народная асвета

Год издания: 2022 - 2025

Цвет обложки: зелёный с графиком

ISBN: ISBN 978-985-03-3770-2

Допущено Министерством образования Республики Беларусь

Популярные ГДЗ в 7 классе

Глава 2. Выражения и их преобразования. Параграф 10. Умножение и деление многочлена на одночлен - номер 2.203, страница 95.

№2.203 (с. 95)
Условие. №2.203 (с. 95)
скриншот условия
Алгебра, 7 класс Учебник, авторы: Арефьева Ирина Глебовна, Пирютко Ольга Николаевна, издательство Народная асвета, Минск, 2022, зелёного цвета, страница 95, номер 2.203, Условие

2.203. Преобразуйте выражение в многочлен стандартного вида:

а) $3a(a^2 - 1) - 2a(a^2 - 2);$

б) $(4a^2 - 3b)2b - (-3a^2 - 4b)3b;$

в) $ab(3a + 2b) - 3ab^2(a - 4);$

г) $2mn(n - m) - 3mn(n + m) + mn^2.$

Определите степень полученного многочлена.

Решение. №2.203 (с. 95)
Алгебра, 7 класс Учебник, авторы: Арефьева Ирина Глебовна, Пирютко Ольга Николаевна, издательство Народная асвета, Минск, 2022, зелёного цвета, страница 95, номер 2.203, Решение Алгебра, 7 класс Учебник, авторы: Арефьева Ирина Глебовна, Пирютко Ольга Николаевна, издательство Народная асвета, Минск, 2022, зелёного цвета, страница 95, номер 2.203, Решение (продолжение 2)
Решение 2. №2.203 (с. 95)

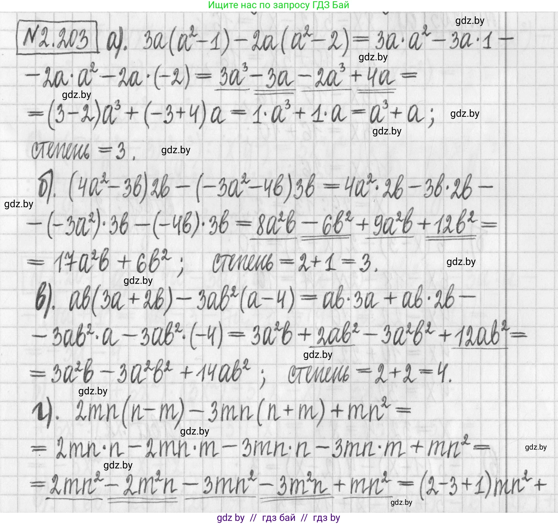
а) $3a(a^2 - 1) - 2a(a^2 - 2)$

Для преобразования выражения в многочлен стандартного вида необходимо раскрыть скобки и привести подобные слагаемые.

1. Раскрываем скобки:

$3a(a^2 - 1) - 2a(a^2 - 2) = (3a \cdot a^2 - 3a \cdot 1) - (2a \cdot a^2 - 2a \cdot 2) = 3a^3 - 3a - 2a^3 + 4a$

2. Приводим подобные слагаемые:

$(3a^3 - 2a^3) + (-3a + 4a) = a^3 + a$

Полученный многочлен: $a^3 + a$.

Степень многочлена — это наибольшая из степеней его одночленов. Степень члена $a^3$ равна 3, степень члена $a$ равна 1. Следовательно, степень многочлена равна 3.

Ответ: $a^3 + a$, степень многочлена 3.

б) $(4a^2 - 3b)2b - (-3a^2 - 4b)3b$

1. Раскрываем скобки:

$(4a^2 \cdot 2b - 3b \cdot 2b) - ((-3a^2) \cdot 3b - 4b \cdot 3b) = (8a^2b - 6b^2) - (-9a^2b - 12b^2) = 8a^2b - 6b^2 + 9a^2b + 12b^2$

2. Приводим подобные слагаемые:

$(8a^2b + 9a^2b) + (-6b^2 + 12b^2) = 17a^2b + 6b^2$

Полученный многочлен: $17a^2b + 6b^2$.

Степень члена $17a^2b$ равна $2+1=3$. Степень члена $6b^2$ равна 2. Наибольшая степень равна 3.

Ответ: $17a^2b + 6b^2$, степень многочлена 3.

в) $ab(3a + 2b) - 3ab^2(a - 4)$

1. Раскрываем скобки:

$(ab \cdot 3a + ab \cdot 2b) - (3ab^2 \cdot a - 3ab^2 \cdot 4) = 3a^2b + 2ab^2 - 3a^2b^2 + 12ab^2$

2. Приводим подобные слагаемые и упорядочиваем члены по убыванию степени:

$-3a^2b^2 + 3a^2b + (2ab^2 + 12ab^2) = -3a^2b^2 + 3a^2b + 14ab^2$

Полученный многочлен: $-3a^2b^2 + 3a^2b + 14ab^2$.

Степень члена $-3a^2b^2$ равна $2+2=4$. Степень члена $3a^2b$ равна $2+1=3$. Степень члена $14ab^2$ равна $1+2=3$. Наибольшая степень равна 4.

Ответ: $-3a^2b^2 + 3a^2b + 14ab^2$, степень многочлена 4.

г) $2mn(n - m) - 3mn(n + m) + mn^2$

1. Раскрываем скобки:

$(2mn \cdot n - 2mn \cdot m) - (3mn \cdot n + 3mn \cdot m) + mn^2 = 2mn^2 - 2m^2n - 3mn^2 - 3m^2n + mn^2$

2. Приводим подобные слагаемые:

$(2mn^2 - 3mn^2 + mn^2) + (-2m^2n - 3m^2n) = (2 - 3 + 1)mn^2 + (-2 - 3)m^2n = 0 \cdot mn^2 - 5m^2n = -5m^2n$

Полученный многочлен: $-5m^2n$.

Степень одночлена $-5m^2n$ равна сумме степеней переменных $2+1=3$.

Ответ: $-5m^2n$, степень многочлена 3.

Помогло решение? Оставьте отзыв в комментариях ниже.

Присоединяйтесь к Телеграм-группе @gdz_by_belarus

Присоединиться

Мы подготовили для вас ответ c подробным объяснением домашего задания по алгебре за 7 класс, для упражнения номер 2.203 расположенного на странице 95 к учебнику 2022 года издания для учащихся школ и гимназий.

Теперь на нашем сайте ГДЗ.ТОП вы всегда легко и бесплатно найдёте условие с правильным ответом на вопрос «Как решить ДЗ» и «Как сделать» задание по алгебре к упражнению №2.203 (с. 95), авторов: Арефьева (Ирина Глебовна), Пирютко (Ольга Николаевна), учебного пособия издательства Народная асвета.