Номер 2.210, страница 96 - гдз по алгебре 7 класс учебник Арефьева, Пирютко

Алгебра, 7 класс Учебник, авторы: Арефьева Ирина Глебовна, Пирютко Ольга Николаевна, издательство Народная асвета, Минск, 2022, зелёного цвета

Авторы: Арефьева И. Г., Пирютко О. Н.

Тип: Учебник

Издательство: Народная асвета

Год издания: 2022 - 2025

Цвет обложки: зелёный с графиком

ISBN: ISBN 978-985-03-3770-2

Допущено Министерством образования Республики Беларусь

Популярные ГДЗ в 7 классе

Глава 2. Выражения и их преобразования. Параграф 10. Умножение и деление многочлена на одночлен - номер 2.210, страница 96.

№2.210 (с. 96)
Условие. №2.210 (с. 96)
скриншот условия
Алгебра, 7 класс Учебник, авторы: Арефьева Ирина Глебовна, Пирютко Ольга Николаевна, издательство Народная асвета, Минск, 2022, зелёного цвета, страница 96, номер 2.210, Условие

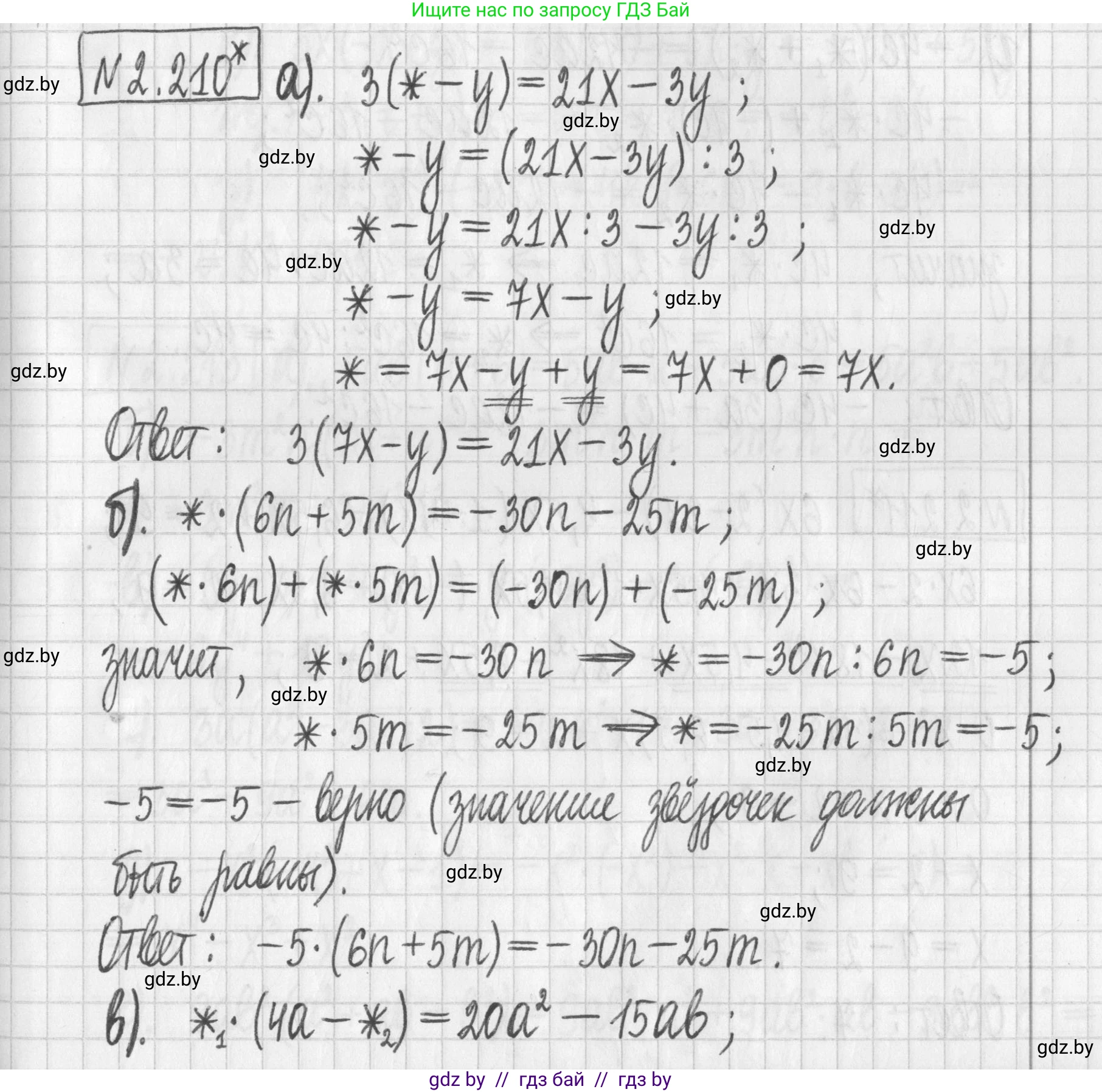
2.210*. Восстановите равенство, вписав вместо знаков * необходимые члены:

а) $3(*-y) = 21x - 3y;$

б) $* \cdot (6n + 5m) = -30n - 25m;$

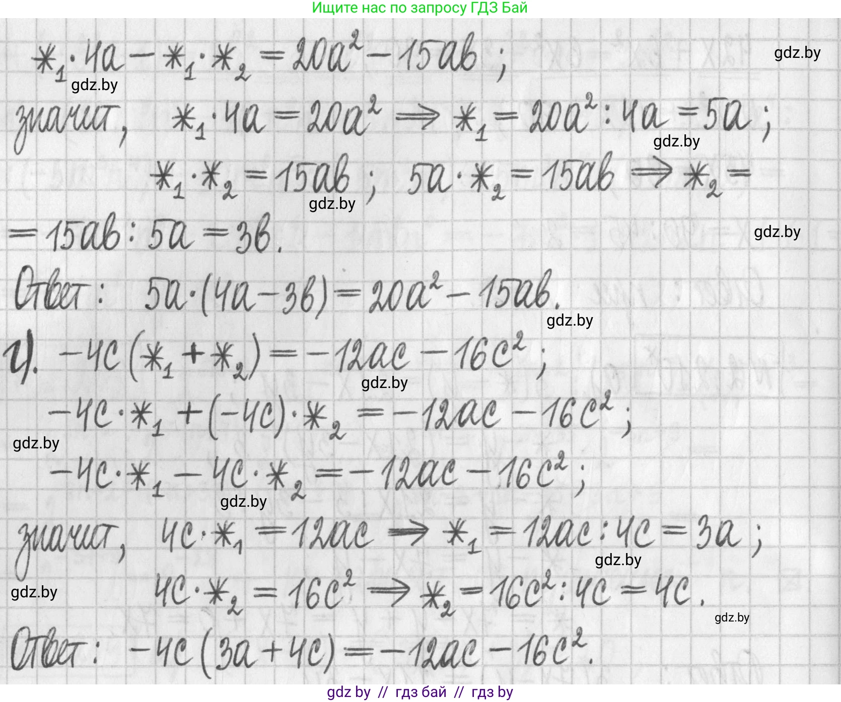
в) $* \cdot (4a - *) = 20a^2 - 15ab;$

г) $-4c(*+*) = -12ac - 16c^2.$

Решение. №2.210 (с. 96)
Алгебра, 7 класс Учебник, авторы: Арефьева Ирина Глебовна, Пирютко Ольга Николаевна, издательство Народная асвета, Минск, 2022, зелёного цвета, страница 96, номер 2.210, Решение Алгебра, 7 класс Учебник, авторы: Арефьева Ирина Глебовна, Пирютко Ольга Николаевна, издательство Народная асвета, Минск, 2022, зелёного цвета, страница 96, номер 2.210, Решение (продолжение 2)
Решение 2. №2.210 (с. 96)

а) Исходное равенство: $3(* - y) = 21x - 3y$.
Чтобы найти неизвестный член в скобках, можно разделить правую часть на 3 и прибавить $y$, либо вынести 3 за скобки в правой части.
Вынесем общий множитель 3 в правой части: $21x - 3y = 3(7x) - 3(y) = 3(7x - y)$.
Теперь равенство выглядит так: $3(* - y) = 3(7x - y)$.
Сравнивая левую и правую части, видим, что вместо знака $*$ нужно вписать $7x$.
Проверка: $3(7x - y) = 3 \cdot 7x - 3 \cdot y = 21x - 3y$. Равенство верно.
Ответ: $3(7x - y) = 21x - 3y$.

б) Исходное равенство: $* \cdot (6n + 5m) = -30n - 25m$.
Рассмотрим правую часть равенства и вынесем общий множитель за скобки. Общий множитель для $-30n$ и $-25m$ это $-5$.
$-30n - 25m = -5(6n) + (-5)(5m) = -5(6n + 5m)$.
Теперь равенство выглядит так: $* \cdot (6n + 5m) = -5(6n + 5m)$.
Сравнивая левую и правую части, видим, что вместо знака $*$ должен стоять множитель $-5$.
Проверка: $-5 \cdot (6n + 5m) = -5 \cdot 6n + (-5) \cdot 5m = -30n - 25m$. Равенство верно.
Ответ: $-5 \cdot (6n + 5m) = -30n - 25m$.

в) Исходное равенство: $* \cdot (4a - *) = 20a^2 - 15ab$.
Рассмотрим правую часть и вынесем общий множитель за скобки. Общим множителем для $20a^2$ и $-15ab$ является $5a$.
$20a^2 - 15ab = 5a \cdot 4a - 5a \cdot 3b = 5a(4a - 3b)$.
Теперь равенство выглядит так: $* \cdot (4a - *) = 5a(4a - 3b)$.
Сравнивая левую и правую части, находим недостающие члены:
Первый знак $*$ (множитель перед скобкой) — это $5a$.
Второй знак $*$ (член в скобках) — это $3b$.
Проверка: $5a(4a - 3b) = 5a \cdot 4a - 5a \cdot 3b = 20a^2 - 15ab$. Равенство верно.
Ответ: $5a(4a - 3b) = 20a^2 - 15ab$.

г) Исходное равенство: $-4c(* + *) = -12ac - 16c^2$.
Чтобы найти выражение в скобках, разделим правую часть на множитель перед скобкой, то есть на $-4c$.
$\frac{-12ac - 16c^2}{-4c} = \frac{-12ac}{-4c} + \frac{-16c^2}{-4c} = 3a + 4c$.
Значит, в скобках должно стоять выражение $(3a + 4c)$.
Таким образом, вместо знаков $*$ нужно вписать $3a$ и $4c$.
Проверка: $-4c(3a + 4c) = (-4c) \cdot 3a + (-4c) \cdot 4c = -12ac - 16c^2$. Равенство верно.
Ответ: $-4c(3a + 4c) = -12ac - 16c^2$.

Помогло решение? Оставьте отзыв в комментариях ниже.

Присоединяйтесь к Телеграм-группе @gdz_by_belarus

Присоединиться

Мы подготовили для вас ответ c подробным объяснением домашего задания по алгебре за 7 класс, для упражнения номер 2.210 расположенного на странице 96 к учебнику 2022 года издания для учащихся школ и гимназий.

Теперь на нашем сайте ГДЗ.ТОП вы всегда легко и бесплатно найдёте условие с правильным ответом на вопрос «Как решить ДЗ» и «Как сделать» задание по алгебре к упражнению №2.210 (с. 96), авторов: Арефьева (Ирина Глебовна), Пирютко (Ольга Николаевна), учебного пособия издательства Народная асвета.