Номер 2.216, страница 97 - гдз по алгебре 7 класс учебник Арефьева, Пирютко

Алгебра, 7 класс Учебник, авторы: Арефьева Ирина Глебовна, Пирютко Ольга Николаевна, издательство Народная асвета, Минск, 2022, зелёного цвета

Авторы: Арефьева И. Г., Пирютко О. Н.

Тип: Учебник

Издательство: Народная асвета

Год издания: 2022 - 2025

Цвет обложки: зелёный с графиком

ISBN: ISBN 978-985-03-3770-2

Допущено Министерством образования Республики Беларусь

Популярные ГДЗ в 7 классе

Глава 2. Выражения и их преобразования. Параграф 10. Умножение и деление многочлена на одночлен - номер 2.216, страница 97.

№2.216 (с. 97)
Условие. №2.216 (с. 97)
скриншот условия
Алгебра, 7 класс Учебник, авторы: Арефьева Ирина Глебовна, Пирютко Ольга Николаевна, издательство Народная асвета, Минск, 2022, зелёного цвета, страница 97, номер 2.216, Условие

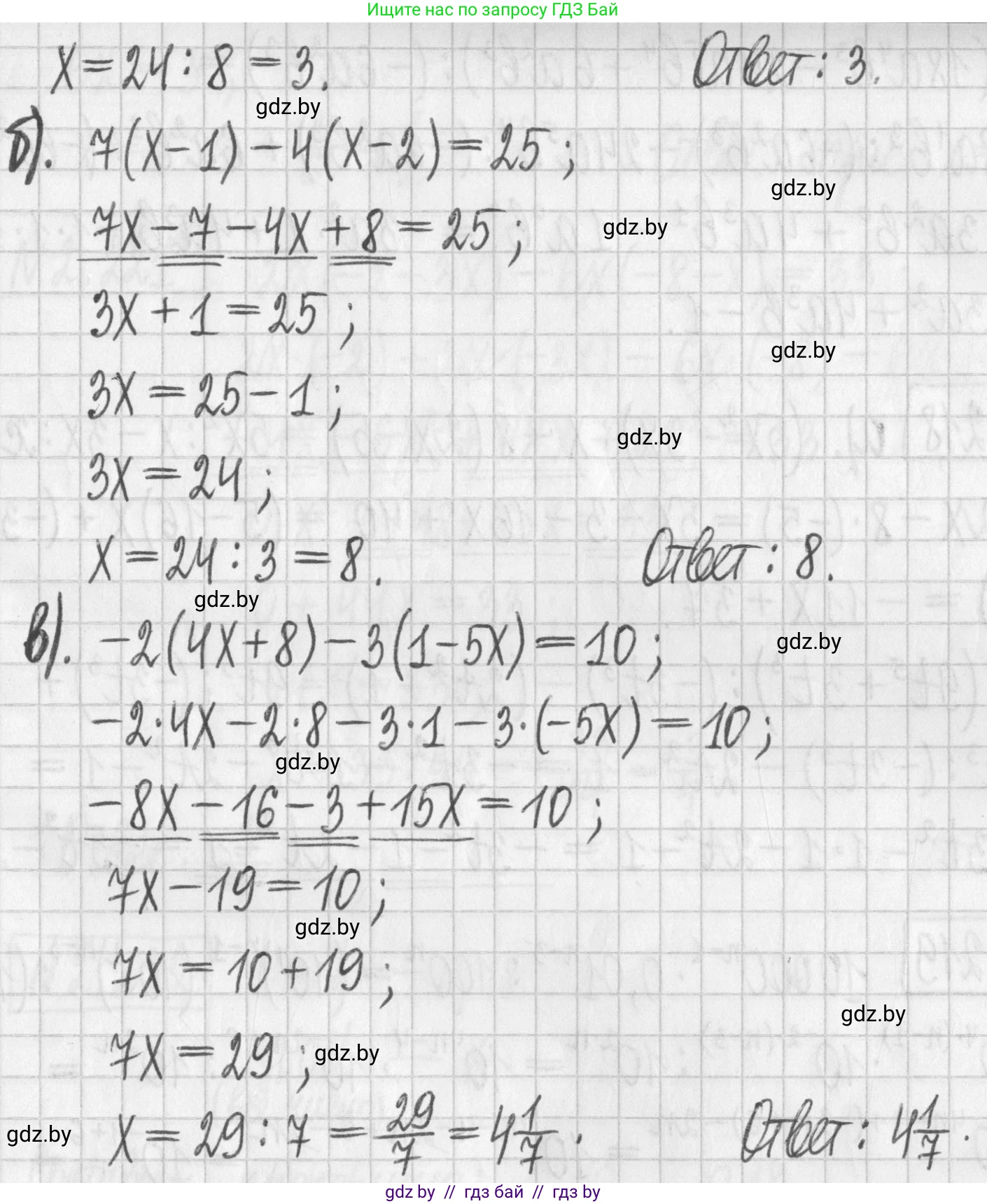
2.216. Решите уравнение, выполнив тождественные преобразования в его левой части:

а) $10x - 2(x - 3) = 30;$

б) $7(x - 1) - 4(x - 2) = 25;$

в) $-2(4x + 8) - 3(1 - 5x) = 10.$

Решение. №2.216 (с. 97)
Алгебра, 7 класс Учебник, авторы: Арефьева Ирина Глебовна, Пирютко Ольга Николаевна, издательство Народная асвета, Минск, 2022, зелёного цвета, страница 97, номер 2.216, Решение Алгебра, 7 класс Учебник, авторы: Арефьева Ирина Глебовна, Пирютко Ольга Николаевна, издательство Народная асвета, Минск, 2022, зелёного цвета, страница 97, номер 2.216, Решение (продолжение 2)
Решение 2. №2.216 (с. 97)

а) $10x - 2(x - 3) = 30$

Сначала выполним тождественные преобразования в левой части уравнения. Для этого раскроем скобки, умножив -2 на каждый член в скобках:

$10x - 2 \cdot x - 2 \cdot (-3) = 30$

$10x - 2x + 6 = 30$

Теперь приведем подобные слагаемые (члены с переменной $x$):

$(10 - 2)x + 6 = 30$

$8x + 6 = 30$

Далее решаем получившееся линейное уравнение. Перенесем 6 в правую часть уравнения, изменив знак на противоположный:

$8x = 30 - 6$

$8x = 24$

Чтобы найти $x$, разделим обе части уравнения на 8:

$x = \frac{24}{8}$

$x = 3$

Ответ: 3

б) $7(x - 1) - 4(x - 2) = 25$

Выполним тождественные преобразования в левой части: раскроем обе скобки.

$7 \cdot x - 7 \cdot 1 - 4 \cdot x - 4 \cdot (-2) = 25$

$7x - 7 - 4x + 8 = 25$

Приведем подобные слагаемые: сгруппируем члены с $x$ и свободные члены.

$(7x - 4x) + (-7 + 8) = 25$

$3x + 1 = 25$

Теперь решим уравнение. Перенесем 1 в правую часть с противоположным знаком:

$3x = 25 - 1$

$3x = 24$

Разделим обе части уравнения на 3, чтобы найти $x$:

$x = \frac{24}{3}$

$x = 8$

Ответ: 8

в) $-2(4x + 8) - 3(1 - 5x) = 10$

Начнем с преобразования левой части уравнения, раскрыв скобки:

$-2 \cdot 4x - 2 \cdot 8 - 3 \cdot 1 - 3 \cdot (-5x) = 10$

$-8x - 16 - 3 + 15x = 10$

Сгруппируем и приведем подобные слагаемые:

$(-8x + 15x) + (-16 - 3) = 10$

$7x - 19 = 10$

Теперь решаем получившееся уравнение. Перенесем -19 в правую часть, изменив знак:

$7x = 10 + 19$

$7x = 29$

Найдем $x$, разделив обе части на 7:

$x = \frac{29}{7}$

Так как мы получили неправильную дробь, выделим из нее целую часть:

$29 \div 7 = 4$ (остаток $1$)

$x = 4\frac{1}{7}$

Ответ: $4\frac{1}{7}$

Помогло решение? Оставьте отзыв в комментариях ниже.

Присоединяйтесь к Телеграм-группе @gdz_by_belarus

Присоединиться

Мы подготовили для вас ответ c подробным объяснением домашего задания по алгебре за 7 класс, для упражнения номер 2.216 расположенного на странице 97 к учебнику 2022 года издания для учащихся школ и гимназий.

Теперь на нашем сайте ГДЗ.ТОП вы всегда легко и бесплатно найдёте условие с правильным ответом на вопрос «Как решить ДЗ» и «Как сделать» задание по алгебре к упражнению №2.216 (с. 97), авторов: Арефьева (Ирина Глебовна), Пирютко (Ольга Николаевна), учебного пособия издательства Народная асвета.