Номер 2.257, страница 103 - гдз по алгебре 7 класс учебник Арефьева, Пирютко

Алгебра, 7 класс Учебник, авторы: Арефьева Ирина Глебовна, Пирютко Ольга Николаевна, издательство Народная асвета, Минск, 2022, зелёного цвета

Авторы: Арефьева И. Г., Пирютко О. Н.

Тип: Учебник

Издательство: Народная асвета

Год издания: 2022 - 2025

Цвет обложки: зелёный с графиком

ISBN: ISBN 978-985-03-3770-2

Допущено Министерством образования Республики Беларусь

Популярные ГДЗ в 7 классе

Глава 2. Выражения и их преобразования. Параграф 11. Умножение многочленов - номер 2.257, страница 103.

№2.257 (с. 103)
Условие. №2.257 (с. 103)
скриншот условия
Алгебра, 7 класс Учебник, авторы: Арефьева Ирина Глебовна, Пирютко Ольга Николаевна, издательство Народная асвета, Минск, 2022, зелёного цвета, страница 103, номер 2.257, Условие

2.257. Упростите выражение и найдите его значение:

а) $(y-3)(y+2)-(y-1)(y-5)$ при $y=2\frac{1}{4}$;

б) $-(m+2)(9m-1)+(m+3)(9m-8)$ при $m=-3,5$.

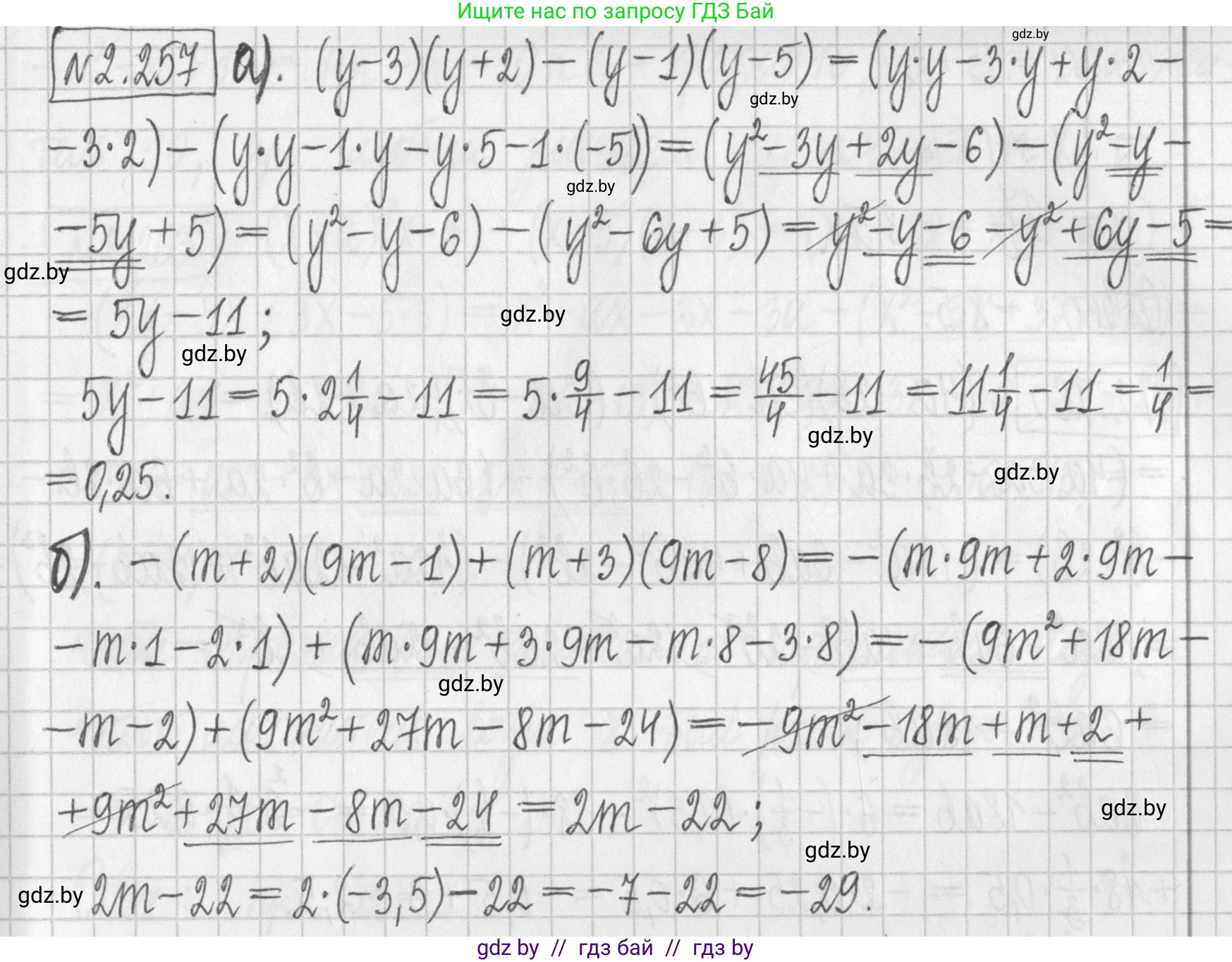
Решение. №2.257 (с. 103)
Алгебра, 7 класс Учебник, авторы: Арефьева Ирина Глебовна, Пирютко Ольга Николаевна, издательство Народная асвета, Минск, 2022, зелёного цвета, страница 103, номер 2.257, Решение
Решение 2. №2.257 (с. 103)

а) Упростим выражение $(y-3)(y+2) - (y-1)(y-5)$.

Сначала раскроем скобки в каждом произведении многочленов:

$(y-3)(y+2) = y \cdot y + y \cdot 2 - 3 \cdot y - 3 \cdot 2 = y^2 + 2y - 3y - 6 = y^2 - y - 6$

$(y-1)(y-5) = y \cdot y - y \cdot 5 - 1 \cdot y - 1 \cdot (-5) = y^2 - 5y - y + 5 = y^2 - 6y + 5$

Теперь подставим полученные многочлены в исходное выражение и выполним вычитание:

$(y^2 - y - 6) - (y^2 - 6y + 5) = y^2 - y - 6 - y^2 + 6y - 5$

Приведем подобные слагаемые:

$(y^2 - y^2) + (-y + 6y) + (-6 - 5) = 5y - 11$

Теперь, когда выражение упрощено, найдем его значение при $y = 2\frac{1}{4}$.

Переведем смешанное число $2\frac{1}{4}$ в неправильную дробь:

$y = 2\frac{1}{4} = \frac{2 \times 4 + 1}{4} = \frac{9}{4}$

Подставим значение $y$ в упрощенное выражение $5y - 11$:

$5 \cdot \frac{9}{4} - 11 = \frac{45}{4} - \frac{11 \cdot 4}{4} = \frac{45}{4} - \frac{44}{4} = \frac{45 - 44}{4} = \frac{1}{4}$

Ответ: $\frac{1}{4}$

б) Упростим выражение $-(m+2)(9m-1) + (m+3)(9m-8)$.

Сначала раскроем скобки в каждом произведении, учитывая знак минус перед первым произведением:

$-(m+2)(9m-1) = -(m \cdot 9m - m \cdot 1 + 2 \cdot 9m - 2 \cdot 1) = -(9m^2 - m + 18m - 2) = -(9m^2 + 17m - 2) = -9m^2 - 17m + 2$

$(m+3)(9m-8) = m \cdot 9m - m \cdot 8 + 3 \cdot 9m - 3 \cdot 8 = 9m^2 - 8m + 27m - 24 = 9m^2 + 19m - 24$

Теперь сложим полученные выражения:

$(-9m^2 - 17m + 2) + (9m^2 + 19m - 24)$

Приведем подобные слагаемые:

$(-9m^2 + 9m^2) + (-17m + 19m) + (2 - 24) = 2m - 22$

Теперь, когда выражение упрощено, найдем его значение при $m = -3,5$.

Подставим значение $m$ в упрощенное выражение $2m - 22$:

$2 \cdot (-3,5) - 22 = -7 - 22 = -29$

Ответ: $-29$

Помогло решение? Оставьте отзыв в комментариях ниже.

Присоединяйтесь к Телеграм-группе @gdz_by_belarus

Присоединиться

Мы подготовили для вас ответ c подробным объяснением домашего задания по алгебре за 7 класс, для упражнения номер 2.257 расположенного на странице 103 к учебнику 2022 года издания для учащихся школ и гимназий.

Теперь на нашем сайте ГДЗ.ТОП вы всегда легко и бесплатно найдёте условие с правильным ответом на вопрос «Как решить ДЗ» и «Как сделать» задание по алгебре к упражнению №2.257 (с. 103), авторов: Арефьева (Ирина Глебовна), Пирютко (Ольга Николаевна), учебного пособия издательства Народная асвета.